- 易迪拓培训,专注于微波、射频、天线设计工程师的培养
高阻器件低频噪声测试技术与应用研究--高阻样品噪声测试解决方案
这便是系统工作的限制条件,在所要考察的频谱范围内,当R x和S vn为常量时,R t的值越大越好,这样等式右边越小,待测信号频谱与背景频谱的差异越大,转折频谱也越大,观察到的低频有色噪声信号频宽就越大。从(3-8)式我们还可以看出,样品的噪声越大越好,这样等式左边越大,待测信号频谱与背景频谱的差异越大。对于一些很特殊的小噪声高阻样品,必须增大R t的阻值。
只有在知道高阻器件噪声量级的情况下,才能对系统所能够测得的阻值上限进行预测,但是国内外这方面数据极少,现在仅根据已有的一篇文献的数据进行推算:测得的10G厚膜电阻的噪声为:
![]()
![]()
代入(3-8)式得;所需的R t约为1010Ω由此可见,对于像BJT或DC-DC转换器等噪声极大或者是含有RTS噪声的高阻器件我们可以容易的找到合适的高阻值绕线电阻。但是如果需要采用本测试方法测试更高阻值的高阻器件,可采用以下措施:
①专门订做高阻值绕线电阻。
②将测试系统中的隔离电阻R t放入低温系统(液氮或液氦)中。
③提高样品上的偏压,来激发更加明显的低频噪声。
3.2.2 高阻样品电流噪声测试方案设计
从2.2.2节的分析中我们已经知道当被测器件的电阻极大时,应当首选电流噪声测试技术。因此在测试电容、MOS这些等效阻值在高阻器件阻值范围内相对较高的器件时,采用电流噪声测试技术更加合理。本电流噪声测试技术的基本原理是利用锁相放大器的传输函数获取功能来还原被电流放大器衰减的信号高频部分,从而在不降低放大倍数的情况下实现展宽频带。
3.2.2.1测试技术介绍
图3.14是本研究设计的新的高阻器件低频电流噪声测试电路的基本原理图。

本测试方法首先需要用电流放大器按照传统方法测得被高频部分被衰减的低频噪声信号,然后再通过放大器传输函数求得的归一化函数来还原信号。
3.2.2.2测试技术原理分析
本测试方法中并没有对电流放大器进行什么特殊改进,而只是使用了其典型功能,因此同样存在图3.3中所描述的信号通频带过窄的问题。展宽频带的关键是利用放大器在特定放大倍数下的传输函数曲线来还原信号,将原本被放大器无法正常放大而衰减的信号高频部分还原。
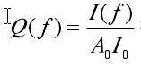
传输函数的获取是利用锁相放大器能测得某一特定频率下信号的功能。对锁相放大器进行编程扫频,就可以求得在不同频率点下的信号幅度,从而得到放大器对频率不同但是幅度相同的信号的响应,即放大器的幅频特性曲线特定频率下信号的功能。对锁I ( f )。
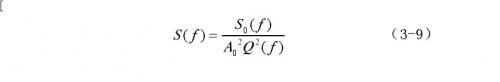
最后通过公式

得到归一化函数Q(f)式中A0放大倍数。然后通过下式得到还原后频带展宽至原来放大器高频截止频率的10倍至100倍之间的功率谱密度S(f):

该系统涉及到多个仪器和计算机的协同工作,并且要求多个设备之间能够实现数据传输。软件由本实验室自行开发,开发主平台为Labview,同时利用了Labview和C语言的混合编程、Labview和Matalab的混合编程以实现多种功能。
该软件系统可以实现数据时域到频域的转换、曲线拟合、根据数据筛选样品、自动生成测试报告等多种功能。拟合分为直线拟合及曲线拟合两种方式,可以通过拟合计算噪声信息的白噪声幅度,1/f噪声幅度,转折频率,1/f噪声指数因子γ等参数。


