- 易迪拓培训,专注于微波、射频、天线设计工程师的培养
关于基于FPGA平台的手持式频谱分析仪的实现原理
2、滤波器原理
系统从传感器拾取的信号中,出来系统所需要的信息外,往往还包括许多噪声以及其他与被测量无关的信号,所以在先期的电路中加入具有频率选择作用的滤波器,对所采集的信号进行滤波。
按照所处理信号的形式的不同,滤波器可分为模拟与数字两大类。此外,滤波器的三种频带在全频带中分布位置不同,可实现对不同频率信号的选择,依此,滤波器可分为四种不同的基本类型:低通滤波器、高通滤波器、带通滤波器、带阻滤波器。另外根据滤波器中采用的元器件可以分为:LC无源滤波器、由特殊元件构成的滤波器、RC无源滤波器、RC有源滤波器。
在本设计中,所要采集的信号是交流电中的50HZ的频率,直接对所要采集的信号进行滤波,所以所选用的滤波器是模拟低通滤波器,而且,如果在电路中引入具有能量放大作用的有源器件,如电子管、晶体管、运算放大器等,补充损失的能量,可使RC网络像LC网络一样,获得良好的频率选择特性。所以最终所选择的滤波器是模拟低通RC有源滤波器。
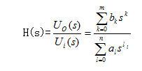
模拟滤波电路的基本形式为现行四段网络,其特性可有传递函数表示如下:
定义为输出与输入信号电压(或电流)的拉普拉斯变化之比。该式中s=σ+jω为拉普拉斯变量,各系数
是由网络结构与元件参数值决定的常数。根据现行网络稳定性分析条件的要求,分母中各系数均应为正,并要求n≥m,n称为网络阶数,也即滤波器的阶数,反应电路的复杂程度。
在传递函数中,令拉普拉斯变量s=jω,可以得到频率特性函数H(jω):
H(jω)=
=
,
频率特性H(jω)是一个复函数,它的
A(ω)=
的幅值称为幅频特性。
=
称为相频特性。
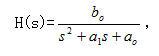
在本设计中选用的是二阶滤波器,其传递函数的一般形式为:
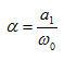
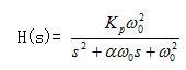
,令
对应固有频率,
对应通带增益,
对应阻尼系数,将传递函数的一般形式改写为规范的形式
,其幅频特性与相频特性分别为:
A(ω)=
,
不同
值下二阶低通滤波器的幅频特性和相频特性如下图所示:

本设计中二阶低通滤波器的设计平台所使用的是microchip半导体公司所提供的滤波器设计平台。


