- 易迪拓培训,专注于微波、射频、天线设计工程师的培养
关于基于FPGA平台的手持式频谱分析仪的实现原理
三、设计方案
根据工作原理,频谱分析仪大致可分为模拟式和数字式两大类,本设计是数字式频谱分析仪,该分析仪先将所采集的信号通过一个低通滤波器进行滤波,然后将经滤波处理的模拟信号进行采样量化,再通过放大器放大后送入Atlys Spartan@-6 FPGA 开发套件中进行数字信号处理,用快速傅立叶变换的方法求得信号的频谱。该该谱分析仪的工作原理框图如图1所示。

图1 基于快速傅立叶变换的数字频谱分析仪工作原理框图
四、方案论证:
1、FFT原理:
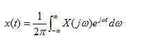
傅里叶变换就是信号的时域描述与频域描述的某种变换关系。对于某一模拟非周期信号,存在着以下的傅里叶变换对
(1)
(2)
式(2)叫做傅里叶逆变换式。式(1)称为傅里叶变换式,即函数
是
的傅里叶变换或傅里叶积分,函数
反映了非周期信号
的频谱。
一个信号的傅里叶变换,其实质就是把该信号分解成许多不同频率的正弦波之和。通过傅里叶变换可以得到信号的各种频率成分,得到信号的频谱。
式(1)是对频率域而言的,它可以看作是时间函数
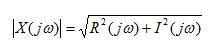
在频率域上的表示,频率域上所包含的信息和时间域上所包含的信息完全相同,唯一的差别只是形式不同而已。通常,
是一个复函数,即:
(3)
和
分别为实部和虚部,则幅度谱(即通常所说的频谱)
表示为
(4)
因此,频谱分析仪的幅度谱(即通常所说的频谱)可以通过(4)式得到。
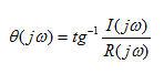
相位函数
表示为
(5)
该式反映了信号的相频特性。
在本设计中所使用的FFT处理模块是有xilinx公司所提供的Atlys Spartan®-6 FPGA 开发套件,该板卡是新一代Xilinx FPGA学习板卡,不仅适合VHDL以及Verilog HDL代码等传统领域学习,还可用于新一代的SOPC领域学习。开发板以Spartan-6系列的XC6SLX9-TQ144芯片为核心,供电、下载与调试都通过板卡自身的USB接口完成,扩展了LED、GPIO、UART以及USB-JTAG电路,结构如图2所示。此外,S6 CARD通过USB线完成板卡供电和调试,便于使用。该板卡结构图如下所示:

其主要外设如下所列:
Xilinx XC6SLX9-TQG144 FPGA; 自带USB调试与供电电路(无需下载线和电源),CY7C68013、XC2C256; 32M SPI FLASH M25P32; MAX3232串口; 50MHz晶振; 按键、LED、拨码开关

