- Ò×µÏÍØÅàѵ,רעÓÚ΢²¨¡¢É䯵¡¢ÌìÏßÉè¼Æ¹¤³ÌʦµÄÅàÑø
RFIDϵͳ˫Ƶ΢´øÌìÏßµÄÉè¼Æ
0 Òý ÑÔ
ÉäÆµÊ¶±ð(Radio Frequency Indentification)ÊÇÒ»ÖÖͨ¹ýÎÞÏßÉ䯵·½Ê½½øÐзǽӴ¥µÄË«ÏòÊý¾ÝͨÐÅ£¬¶ÔÄ¿±ê¼ÓÒÔʶ±ð²¢»ñÈ¡Ïà¹ØÊý¾ÝµÄ×Ô¶¯Ê¶±ð¼¼Êõ¡£ÏÖÔÚRFIDÒÑ¾ÉøÍ¸µ½ÈËÃÇÈÕ³£Éú»îµÄ¸÷¸öÁìÓò£¬³ÉΪһÖÖ³£¼ûµÄ¼¼Êõ£¬ÆäÓ¦ÓðüÀ¨ÎïÁ÷¡¢×ʲú¹ÜÀí¡¢ÈËԱÎûµÈ¡£RFIDϵͳµÄ»ù±¾×é³É°üÀ¨¶ÁдÆ÷ºÍµç×Ó±êÇ©Á½²¿·Ö¡£¶ÁдÆ÷ ÌìÏß ºÍµç×Ó±êÇ© ÌìÏß ÊÇʵÏÖ¶ÁдÆ÷Óëµç×Ó±êǩͨÐŵĿռäÎïÀí½Ó¿Ú¡£¹¤×÷ƵÂÊÊÇRFIDϵͳ×îÖØÒªµÄÐÔÄܲÎÊý£¬Öйú¹«²¼µÄUHFƵ¶ÎÖÐRFIDƵÂÊ·¶Î§Îª 840¡«845 MHzºÍ920¡«925 MHzÁ½¸öƵ¶Î¡£
΢´ø ÌìÏß ÒÔÆäÆÊÃæ±¡¡¢Ìå»ýС¡¢³É±¾µÍµÈÓÅµã¶ø±»¹ã·ºÓ¦ÓÃÓÚÎÞÏßͨÐÅϵͳ¡£ÎªÂú×ã¶ÁдÆ÷ ÌìÏß ¹¤×÷ÓÚ840¡«845 MHzºÍ920¡«925 MHzÁ½¸öƵ¶ÎµÄÒªÇó£¬Èç¹ûÖ±½Ó²ÉÓÃ΢´ø ÌìÏß Éè¼Æ£¬Ôò´æÔÚ×Å ÌìÏß µÄƵ´ø±È½ÏÕ£¬²»ÄÜÂú×ãÁ½¸öƵ¶ÎÒªÇóµÄȱµã¡£Ò»ÖÖеÄÉè¼ÆË¼Â·ÊÇÉè¼ÆÒ»¿î˫Ƶ´øÎ¢´ø ÌìÏß £¬Ê¹ÆäÁ½¸öƵ´ø·Ö±ð¸²¸Ç840¡«845 MHzºÍ920¡«925 MHzÁ½¸öƵ¶Î¡£ÕâÑù×öµÄºÃ´¦ÊǼÈÂú×ãÁË˫Ƶ¶ÎµÄÒªÇó£¬ÓÖÔÚÒ»¶¨³Ì¶ÈÉϹýÂËÁËÁ½Æµ¶Î¼äµÄ¸ÉÈźÍÔëÉù½øÈë¶ÁдÆ÷µÄ½ÓÊÕϵͳ¡£
ÕâÀï²ÉÓöàгÕñµÄ·½·¨£¬Í¨¹ý΢´ø ÌìÏß µÄ½á¹¹Éè¼Æ£¬ÊµÏÖÁË˫Ƶ¶ÎµÄ¸²¸Ç¡£ÔÚÕâÖÖ˼·Ï£¬²ÉÓÃEÐÎ ÌìÏß Óëµ¹F ÌìÏß (IFA)Ïà½áºÏµÄÉè¼Æ£¬ÊµÏÖÁËÒ»Öֵͺó°ê˫Ƶ΢´ø ÌìÏß ¡£ ÌìÏß Ð³ÕñÔÚ850 MHzºÍ920 MHz´¦£¬VSWR=1£®09£¬´ø¿í(VSWR<2)Âú×ãÆµ¶Î¸²¸ÇµÄÒªÇ󡣸à ÌìÏß ÖÆ×÷ÔÚ2 mmºñµÄFR4»ù°åÉÏ£¬²»½ö¾ßÓÐСµÄ³ß´ç£¬¶øÇÒ±ãÓÚµ÷У¬Ò×ÓÚÖÆ×÷¡£
1 µ¹FÐÎÏߺÍEÐÎ ÌìÏß
1£®1 µ¹FÐÎ ÌìÏß ¼ò½é
µäÐ͵ĵ¹F ÌìÏß (IFA)ÊÇÓÉÒ»¸ö·ÅÔÚµØÃæÉϵľØÐÎÆ½Ãæµ¥Ôª£¬Ò»¸öÓëµØÆ½ÐеĶÌÂ·Ãæ»òÕß¶Ì·ÕëºÍÒ»¸öÀ¡µçµ¥Ôª¹¹³ÉµÄ£¬Èçͼ1Ëùʾ¡£IFA±¾ÖÊÉÏÊÇÒ»¸öż¼«×ӵıäÐΣ¬Í¨¹ý½«Å¼¼«×ÓµÄÉÏÃæ²¿·ÖÏòÏÂÍäÕÛµ½ÓëµØÃæÆ½ÐУ¬ÕâÑù¿ÉÒÔ¼õС ÌìÏß µÄ¸ß¶È£¬µ«ÊÇÓëµØÃæÆ½ÐеIJ¿·ÖÈ´¶Ô ÌìÏß ÒýÈëÁËÈÝ¿¹¡£Òò´Ë£¬ÔÚ ÌìÏß ½á¹¹ÖÐÒýÈë¸ÐÐԵĶÌÂ·Ãæ»òÕß¶Ì·ÕëÀ´²¹³¥Õⲿ·ÖÈÝÐÔÊDZØÒªµÄ¡£IFA ÌìÏß µÄµØÃæ¾ßÓÐÖØÒª×÷Óã¬ÒòΪµ±IFAÌùƬ¾ßÓеçÁ÷ʱ£¬½«ÒýÆðµØÃæµçÁ÷µÄ¼¤Àø£¬×îÖյij¡ÊÇÓÉIFAÌùƬµçÁ÷ºÍËüÔÚµØÃæµÄ¾µÏñµçÁ÷¹²Í¬Ðγɵġ£Õâ¾ÍÊÇIFA ÌìÏß µÄ¹¤×÷ÔÀí¡£

Óɳ¤ÎªLµÄÖÕ¶Ë¿ªÂ·Ïߺͳ¤ÎªSµÄÖն˶Ì·Ïß²¢Áª¶ø³ÉµÄ¹²Ãæµ¹FÐÎ ÌìÏß (PIFA)£¬Æä½á¹¹Èçͼ2Ëùʾ¡£´«ÊäÏßµÄÏß¿íd¡¶Hʱ£¬´«ÊäÏßµÄ×迹Z0¿ÉÒÔ±íʾΪ£º

ʽ(1)ÖУºξ=120πΪ¿ÕÆøÖв¨×迹¡£¸ù¾Ý´«ÊäÏßÀíÂÛ£¬ÊäÈë×迹Ϊ£º

ʽ(2)ÖУºβΪ´«²¥³£Êý¡£¸ù¾Ýʽ(2)¿ÉÒÔ·Ö±ð¼ÆËã¶ÔÓÚ³¤ÎªLµÄÖÕ¶Ë¿ªÂ·Ïߺͳ¤ÎªSµÄÖն˶Ì·Ïߵĵ翹£¬·Ö±ðΪ£º

µ±ºöÂÔËðºÄʱ£¬ ÌìÏß µÄÊäÈëµç×輴Ϊ·øÉäµç×è¡£¸ù¾ÝÎÄÏ×[8]£¬ÔòÓУº

µ±³¤¶ÈL=λ£¯4ʱ£¬ÓÉʽ(6)¿ÉÒԵõ½ ÌìÏß µÄÊäÈëµç¿¹Îª0£¬ ÌìÏß ´¦ÓÚгÕñ״̬£¬´Ëʱ£º

´Óʽ(7)¿ÉÒÔ¿´µ½£¬ ÌìÏß µÄÊäÈë×迹Ϊ´¿µç×裬ÇÒ½ö½öÓë ÌìÏß µÄ¸ß¶ÈHÓйء£´ÓÒÔÉϵÄÍÆµ¼¿ÉÒÔ¿´µ½£¬¶ÔÓÚIPFAµÄµ÷½Ú£¬¿ÉÒÔͨ¹ýµ÷Õû³¤¶ÈLÀ´µ÷½Ú ÌìÏß µÄÊäÈë×迹£¬Ê¹Ö®³Ê´¿µç×裻֮ºó¿ÉÒÔͨ¹ýµ÷½Ú ÌìÏß µÄ¸ß¶ÈHÀ´¸Ä±ä ÌìÏß µÄÊäÈë×迹£¬Ê¹Ö®Óë50 ΩͬÖáÏßµÄÀ¡ÏßÏàÆ¥Åä¡£
1£®2 EÐÎ ÌìÏß
EÐÎ ÌìÏß ÊÇÔÚÆÕͨ΢´øÌùƬµ¥ÔªµÄ»ù´¡ÉÏ¿ªÁ˶þ¸öƽÐв۶øÐγɵġ£²ÛµÄλÖÃÒÔÀ¡µçµã¶Ô³Æ¡£Í¨¹ýµ÷Õû²ÛµÄλÖᢳ¤¶ÈºÍ¿í¶È£¬¿ÉÒÔÓÐЧµØÌá¸ß΢´ø ÌìÏß µÄ´ø¿í¡£¸ù¾ÝÎÄÏ×[8]£¬ÆÕͨµÄ΢´øÌùƬ ÌìÏß ¿ÉÒÔµÈЧΪһ¸ö¼òµ¥µÄLCгÕñ»ØÂ·£¬LºÍCµÄÖµÓɵçÁ÷ÔÚµ¼Ìå±íÃæÁ÷¾µÄ³¤¶È¾ö¶¨£¬¶øEÐÎ΢´ø ÌìÏß ÓÉÓÚ¿ª²Û¶øÊ¹ ÌìÏß ´ÓÒ»¸öµ¥Ð³ÕñµÄLC»ØÂ·±ä³É˫гÕñLC»ØÂ·¡£ÕâÁ½¸öгÕñ»ØÂ·ñîºÏÔÚÒ»Æð£¬¼´¿ÉʵÏÖÆµ´øµÄÕ¹¿í¡£
2 ÌìÏß Éè¼ÆÓë·ÂÕæ
¸ù¾ÝÒÔÉÏÔÀí£¬ÕâÀォEÐÎ ÌìÏß ÓëIFA ÌìÏß Ïà½áºÏʵÏÖÁË˫Ƶ΢´ø ÌìÏß £¬Èçͼ3Ëùʾ¡£¸ù¾ÝÎÄÏ×[9£¬10]£¬ÓУº

ʽÖУºWΪ ÌìÏß µÄ¿í¶È£»cΪ¹âËÙ£»fΪ¹¤×÷ƵÂÊ£»εrΪ½éÖÊÏà¶Ô½éµç³£Êý¡£

ÌìÏß µÄ³¤¶ÈÒ»°ã²ÎÕÕλg£¯2ȡֵ£¬λgΪ½éÖÊÖеIJ¨³¤£¬ÓУº

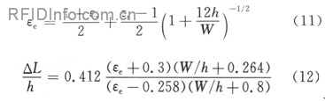
ʽ(10)ÖУ¬ÓÐЧ½éµç³£ÊýºÍ¡÷L¿ÉÒÔ¸ù¾ÝÒÔϹ«Ê½¼ÆË㣺

ʽÖУºεeΪÓÐЧ½éµç³£Êý£»hΪ½éÖÊ»ù°åºñ¶È¡£
¸ù¾Ýʽ(8)¡«(12)¿ÉÒÔ¹ÀËã³ö ÌìÏß µÄ³ß´çWºÍL¡£È»ºó£¬ÔÚ»ùÓÚFDTDµÄ£®Ansoft HFSS 10£®0ÉϽ¨Ä££¬·ÂÕæÓÅ»¯£¬µÃµ½Í¼3ËùʾµÄ ÌìÏß Ä£ÐÍ¡£·ÂÕæ½á¹ûÈçͼ4Ëùʾ¡£ ÌìÏß µÄ½á¹¹²ÎÊýÈç±í1Ëùʾ¡£

´Óͼ3¿ÉÒÔ¿´µ½£¬¸Ã΢´ø ÌìÏß ÊÇÓÉEÐÎ ÌìÏß Óë¹²ÃæIFA¹²Í¬¹¹³ÉµÄ£¬ ÌìÏß Ó¡Ë¢ÔÚºñ¶ÈΪ2 mm£¬Ïà¶Ô½éµç³£ÊýΪ4£®6µÄFR4»ù°åÉÏ£¬ ÌìÏß ÒýÈëÁ˸ÐÐÔ¶Ì·ÕëÀ´µÖÏûÈÝÐÔ¡£ÔÚµ÷ÊÔÖз¢ÏÖ ÌìÏß µÄÐÔÄܶÔÒÔϲÎÊýÌØ±ðÃô¸Ð£º²ÛµÄ¿í¶È¶ÔµÚ¶þгÕñµãÓ°Ïì±È½Ï´ó£¬ÆäÓ°ÏìÖ÷ÒªÌåÏÖÔÚгÕñÉî¶ÈÉÏ£¬¶ø²»²úÉúƵƫ£»¶Ì·ÕëµÄλÖöԵÚһгÕñµãÓ°Ïì±È½Ï´ó£¬ÆäÓ°ÏìÖ÷ÒªÌåÏÖÔÚгÕñÉî¶ÈÉÏ£¬¶ø²»²úÉúƵƫ£»²ÛÖ®¼äµÄ¾àÀëÔ½½ü£¬Ð³ÕñƵÂÊÔ½´ó£¬¶ø¶ÔгÕñÉî¶ÈµÄÓ°ÏìÈ´Éõ΢¡£
´Óͼ4(a)¿ÉÒÔ¿´µ½£¬ ÌìÏß Ð³ÕñÔÚ850 MHz£¬920 MHz¡£Ð³Õñµã´¦VSWR=1£®09£¬´ø¿í(VSWR<2)840¡«860 MHzºÍ910¡«930 MHz£¬ÍêÈ«Âú×ãUHFÖйúƵ¶ÎµÄÒªÇó¡£´Óͼ4(b)¡«(e)µÄ·½Ïòͼ¿ÉÒÔ¿´µ½£¬ÎÞÂÛÊÇÔÚ850 MHz»¹ÊÇÔÚ920 MHz£¬ ÌìÏß µÄºó°ê¾ù±È½ÏС£¬´Ó¶øÊµÏÖÁ˸à ÌìÏß ¸ßµÄǰºóÒÖÖÆ±È¡£
3 ½á Óï
ÔÚ´ËÕë¶ÔUHFƵ¶ÎRFID¶ÁдÆ÷ ÌìÏß ¼æÈÝ840¡«845 MHzºÍ920¡«925 MHz˫Ƶ¶ÎµÄÒªÇóÉè¼ÆÁËÒ»¿îÐÂÓ±µÄ˫Ƶ΢´ø ÌìÏß ¡£·ÂÕæºÍ²âÊÔ½á¹û±íÃ÷£¬ÕâÖÖ ÌìÏß Ð³ÕñÔÚ850 MHzºÍ920 MHzÁ½¸öƵµã£¬Á½¸öгÕñµã´¦´ø¿í(VSWR<2)Âú×㸲¸Ç840¡«845 MHzºÍ920¡«925 MHz˫Ƶ¶ÎµÄÒªÇó£¬ÇÒ¾ßÓнϵ͵ĺó°ê¡£
13.56MHz NFCÌìÏߣ¬13.56MHz RFIDÌìÏßÉè¼ÆÅàѵ¿Î³ÌÌ××°£¬ÈÃÌìÏßÉè¼Æ²»ÔÙÄÑ
ÉÏһƪ£º»ùÓÚRFID¼°GISϵͳµÄ×ʲú¹ÜÀíϵͳ·½°¸
ÏÂһƪ£ºÇ³ÎöRFIDË¿ÍøÓ¡Ë¢¼¼Êõ


