- 易迪拓培训,专注于微波、射频、天线设计工程师的培养
射频结环行器的设计流程与仿真
1 引 言
铁氧体是一种在微波频段具有旋磁性质的特殊磁材料,由于他具有一系列非互易特性,可以使用他构造出环行器等一系列微波非互易器件。微波环行器已成为 信息通讯、电子对抗、航天航空等领域不可缺少的关键性器件之一。如今微波环行器的应用迅速向民用通讯、能源技术、工农医等领域扩展。
环行器具有单向传输特性,入射信号能顺利通过,反射信号由于被吸收电阻吸收而不能通过。其工作原理就是利用中心结构在射频场和外加偏置磁场之间满足一定关系时产生的谐振效应,从而获得环行效果。目前环行器大致上使用的是圆盘结,Y型结,双Y结,三角结的中心谐振导体。本文研究的对象是用于基站中,中心导体为双Y结的带线铁氧体环行器。根据设计,仿真结果在工作频带内满足隔离度大于26 dB,插损小于0.3 dB,回波损耗大于26 dB,电压驻波比小于1.14,中心导体外接半径尺寸约为5 mm,达到高性能与小型化兼顾,基本满足几乎所有GSM基站对于环行器的要求。同时本文通过把结环行器的场理论与路理论结合起来,推导出一些通用的设计公式,给出简明的设计流程,并结合计算机辅助设计给出仿真结果,对一般设计者起到一定指导意义。
2 设计过程
图1为双Y带线结环行器结构示意图。金属导体圆盘半径为R,小Y臂长度为R0,耦合角为φs宽为Ws,电长度为θs,大Y臂宽为W,耦合角为φ,铁 氧体厚度为H,金属导体厚度为t。环行器的核心是一个外加恒定磁场的铁氧体非互易结,中心导体一般可以是圆盘形、Y形、双Y形或三角形等各种形状。通过网络理论分析可证明一个匹配的无耗对称三端结就是一个环行器,用散射矩阵表示为:


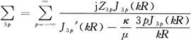
如果此非互易结是无耗的,则通过圆盘结波动方程加以正负与同相本征激励推导出圆盘双Y结的同相与正负激励阻抗本征值:

式中:

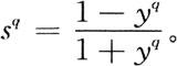
其中Z0与Z±都是纯虚数。若其归一化值在阻抗圆图上的分布以及其所对应的S本征值间的相角差互成120o,则此非互易结是环行的。这里可取其归一化的导纳本征值进行讨论,其满足环行条件时必有:
![]()
这里yq表示对应的是归一化导纳本征值,sq对应的归一化散射矩阵本征值,这样非互易结的散射参量可以通过其本征值表达

上述环行条件是所有非互易结通用的,环行性能参数为满足环行条件的理想参数。然后通过上式推导可得在基模下圆盘双Y结的环行条件,他是在结阻抗归一化情况下得到的,在两种基模的共同作用下可知第一与第二环行条件:

式中:

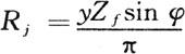
然后通过环行条件得到y值可推出结阻抗
。非互易圆盘结的结阻抗Rj的概念为,若非互易结的三端均接上阻抗为Rj的源或负载阻抗,则此非互易结是环行的。其中Zf为铁氧体带状线的特性阻抗,φ为Y臂与圆盘的耦合角。

由以上算式通过定义环行器的工作频率,选择合适的饱和磁场强度的铁氧体,然后确定外加偏置磁场,得到归一化饱和磁矩和归一化内场等磁参数。再通过双 Y结环行条件推导可得到一组参数(y;K/μ;kR)。因此,如果按这组参数来设计器件,则必然是一个理想环行器,所以环行器的设计在于仔细研究这组参 数,了解他们彼此之间有何关系,相互间怎样制约,以便合理选取获取更好的性能。
y参数为归一化的导纳参数,从上式可看出,

