- 易迪拓培训,专注于微波、射频、天线设计工程师的培养
掌握现代无线电应用的噪声功率比测量方法
数字系统的理论NPR
在推导一个理想的n位ADC的理论NPR过程中,几年来科学家撰写了若干论文(例如,参考文献5、6和7)。参考文献6最完整,并证明对一致性分布噪声和高斯噪声这两者的推导。然而,高斯噪声与NPR测试的关系比较密切。推导不困难,但是,涉及一些偏积分。因为限幅噪声成分不具备收敛形式的解,所以,必须采用数值方法来实际计算理论NPR的数字。
对于10、12、14和16位ADC的理论曲线如图2所示。为了避免混淆,掌握术语Vo、σ、k和RMS加载电平(-20log10k)的定义只非常重要的。
至关重要的是明白:这些曲线是基于一个理想的ADC,其中,唯一的噪声就是量化噪声和限幅噪声。实际上,实际的性能电平将小于理论值,这依赖于被测试的特殊ADC。

图2. 对10、12、14和16位ADC的理论NPR
ADC输入范围是双极性的,且为±VO满刻度(因此即是2VO峰-峰值)。输入RMS噪声为σ,且噪声加载因子k(也称为振幅因数)被定义为VO/σ。因此,数值k是理论的峰值信号与RMS噪声的比率,其中,k被表示为数值比率。此外,至关重要的是注意:一个峰值为VO的信号意味着一个峰-峰为2VO的满刻度输入。这可能就是一个令人混淆的地方。另外一种陈述的方式是:由v(t) = VO sinωt给出的满刻度正弦波严格地充满ADC的输出范围。这就是VO被称为峰值幅度的原因。
k的倒数是RMS噪声与峰值信号之比,且RMS噪声加载电平被定义为以dB表示的1/k:

对NPR的理论推导可以分为两个部分。第一部分一个理想的n位ADC的理论量化噪声功率。第二部分推导因ADC的限制行为引起的限幅噪声功率。总的噪声功率是两噪声功率之和。完整的误差波形显示的两个区域如图3所示。
该理论以若干假设为基础。第一,量化噪声与输入信号不相关。倘若信号幅度为至少几个LSB且ADC的分辨率至少为6位,那么,这个假设是成立的。第二,采样率是输入噪声带宽的两倍。第三,ADC作为超量程信号的理想限幅器。这三条假设对于大多数实际系统都是成立的,且由此导出相对直截了当的解。

图3. 理想ADC的误差波形
量化噪声成分(表示为产生噪声功率的实际量化噪声电压的平方)已被证明为(例如,见参考文献2):

其中,q是LSB的权重。应该注意的是:这是在整个乃奎斯特带宽(直流到fs/2)上所测得的量化噪声功率。如果信号带宽被减小,在已减少的带宽中的噪声也成比例地减少,且必须添加修正因子(在本文稍后讨论)。
继续推导我们知道,q =2VO/2n。因此,从方程2:

然而, k = VO/σ, 因此,VO= kσ,并在方程3中替代V0,得出:

现在,参见图3来推导限幅噪声功率,NC。
限幅噪声功率由下列通用的方程给出:

从图3B,

其中,P(x)是高斯概率密度函数,且由下式给出:

把VO = kσ代入,方程8与方程7合并,得出:

积分的最终结果得出:

其中,N(k)是归一化分布函数:

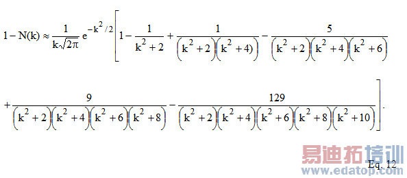
为了计算目的,函数[1 " N(k)]可以由下列表示式近似:

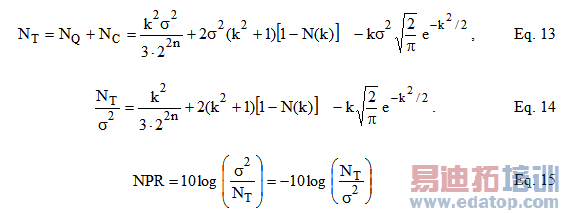
通过把方程4和方程10相加,现在可以计算总的噪声NT:

图4显示了NPR的理论峰值以及分辨率在8到10位之间的ADC的相应k值。垂直轴为NPR(根据方程15,以dB表示)。水平轴是关于峰值信号电平(σ/VO,以dB表示)的高斯加载电平。

图4
此外,至关重要的是记住:这是当输入信号噪声占据整个乃奎斯特带宽(直流到fs/2)时获得的NPR。对于过采样的情形,信号带宽BW小于fs/2;修正因子为10log10[fs/(2BW)],通常被称为处理增益,必须被叠加到在方程15中给出的NPR:

在多通道高频通信系统中,各个通道之间存在很少或没有相位相关性,NPR可以被用于测量由大量独立通道引起的失真和噪声,类似于一个FDM系统。带阻滤波器被放置在噪声源和ADC之间,FFT输出被用于取代模拟接收器。对于AD9229 12位 65-MSPS ADC,带阻滤波器的带宽被设置为大约500 kHz到2 MHz,如图5所示。采样率为65MSPS,阻带的中心是18MHz,并且NPR是阻带的“深度”。理想的ADC将仅仅产生理想的量化噪声值,然而,由于存在因ADC不完善引起的附加噪声和交调失真,实际的量化噪声值存在附加的噪声成分。
利用数字方法进行NPR测量要求FFT具有足够的采样点数。以确保在滤波器阻带内至少有25到50个采样点。在阻带的带宽和FFT的长度之间显然需要折衷。然而,阻带带宽比噪声带宽的不应该宽大约10%,否则,测试结果可能无效。
在图5所示AD9229的例子中,FFT的长度为16,384,从而给予65 MSPS/16,384 = 3.97 kHz的频率分辨率。因为带阻滤波器的带宽近似为阻带底部的1MHz,大约有250个采样点落在阻带内。由于对中心频率、宽度和阻带抑制比存在特殊的要求,一般要求采用定制带阻滤波器以实现在ADC上的NPR测试。
利用仅仅一个简单的滤波器和宽带噪声源来达到良好的测量结果是困难的。宽带高斯噪声发生器―如NoiseCom DNG7500―是可用的,从而允许用户根据他们的应用形成噪声。利用高斯噪声形成的发生器和带阻滤波器的组合,使这个测试便于实现。然后,因为仅仅有限数量的采样点落在阻带内,为了减小多次迭代引起的NPR偏差,必须对若干FFT的结果取平均。在图5中的数据显示了对5个独立FFT运算获得的NPR结果的平均值。
NPR应该在整个噪声带宽的若干不同频点进行测量,因此,需要若干带阻滤波器。在较高频率会出现一些退化,这种情况非常类似于在其它ADC交流规范中的退化,如SNR和SFDR。

图5. AD9229 12位, 65-MSPS ADC NPR 测量 60.8 dB (62.7 dB 理论值)。
我们已经说明了如何利用NPR在标准的FDM系统中提取语音通道带宽为4KHz的多通道系统的噪声和交调失真的特征。NPR也能被用于确定最优化的信号电平,以给出最大的动态范围。这个65年前提出的概念在今天的现代多通道无线系统中依然有用。带宽和通道间隔更大,但是,相同的概念仍然适用。在许多情形下,当测试你的系统的动态范围时(参考文献7),NPR是对复杂的多音调测试的一种良好近似,且具体表达许多应用的特殊功能。
对于宽带应用来说,尽管到目前为止单音或双音正弦信号是测试ADC的最流行的方法,但是,NPR测试利用高斯输入来模拟一个宽带多音信号,从而提供一种方便的测试方法,因此,不必生成大量的单音正弦波。
英文原文地址
参考文献
1. B.D. Holbrook and J.T. Dixon, "Loading Rating Theory for Multi-Channel Amplifiers," Bell System Technical Journal, Vol. 18, pp. 624-6?4, October 1939.
2. W.R. Bennett, "Spectra of Quantized Signals," Bell System Technical Journal, Vol. 27, pp. 446-472, July 1948.
3. W.R. Bennett, H.E Curtis, and S.O. Rice, "Interchannel Interference in FM and PM Systems under Noises Loading Conditions," Bell System Technical Journal , Vol. 34, pp. 601-636, May 1955.
4. M.J. Tant, The White Noise Book, Marconi Instruments, July 1974.
5. G.A. Gray and G. W. Zeoli, "Quanization and Saturation Noise due to A/D Conversion", IEEE Trans. Aerospace and Electronic Systems, January 1971, pp. 222-223.
6. Fred H. Irons, "The Noise Power Ratio " Theory and ADC Testing," IEEE Transactions on Instrumentation and Measurement, Vol 49, No. 3, June 2000, pp. 659-665.
7. IEEE Std. 1241-2000, IEEE Standard for Terminology and Test Methods for Analog-to-Digital Converters, IEEE, 2001, ISBN 0-7381-2724-8.
如何成为一名优秀的射频工程师,敬请关注: 射频工程师养成培训
上一篇:下一代手机设计中将集成什么样的功能?
下一篇:移动电视的发展趋势及技术挑战

