- 易迪拓培训,专注于微波、射频、天线设计工程师的培养
利用WEBENCH软件快速设计有源模拟滤波器
图4表明四阶、低通巴特沃兹滤波器的响应在带通部分为扁平。这种特性的技术术语称作“最大扁平”。之后,它会显示,过渡带的衰减速率不如切比雪夫滤波器。图5表明,相同四阶巴特沃兹滤波器的阶跃响应在时域中有一些过冲和振铃。如果滤波器阶数更高,则这种过冲也会更高。如果这种滤波器用在多路器之后,则应考虑其稳定时间。

图4:四阶、低通巴特沃斯滤波器的频率响应

图5:四阶、低通巴特沃斯滤波器的阶跃响应
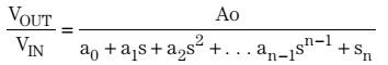
切比雪夫滤波器的传输函数与巴特沃兹滤波器类似,因为它具有所有极点,并且没有零:

图6表明,四阶、低通切比雪夫滤波器的频率响应在带通区域有0.2dB的纹波。电路设计的极点布局决定了这种纹波。总之,纹波量级的增加会降低过渡带的宽度。
理论上,2△AMAX(图1)的纹波量级可以如我们预期的那样大或者小。高纹波量级一般会带来更多的带通区域误差,但却可以实现更快的过渡带衰减。
相比巴特沃兹滤波器,过渡带衰减速率变化更剧烈。例如,为了满足0.5dB纹波的三阶切比雪夫滤波器的过渡带宽要求,要求使用一个四阶巴特沃兹滤波器。尽管使用切比雪夫滤波器时在带通区域存在振铃,但阻带没有振铃。
0.2dB纹波的四阶、低通切比雪夫滤波器的阶跃响应,存在相当程度的过冲和振铃(图6)。

图6:四阶、低通切比雪夫滤波器的阶跃响应
过冲和振铃现象是频域中相位响应的结果。我们都还记得,阶跃响应(或者方波)傅立叶分析表明,通过增加奇数谐波正弦信号可以建立方波。结果是,来自阶跃输入的高频在低频之前到达滤波器的输出端。它被称作“失真群延迟”。这种时长数秒的群延迟计算方法如下:

如何成为一名优秀的射频工程师,敬请关注: 射频工程师养成培训
上一篇:GNSS卫星导航射频前端芯片
下一篇:行驶中的连接:汽车射频通信

