- 易迪拓培训,专注于微波、射频、天线设计工程师的培养
零中频接收机的技术挑战及解决方案
录入:edatop.com 点击:
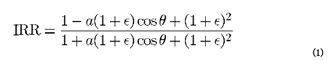
镜像滤波器和选择滤波器的平衡设计也可采用镜像抑制架构,如图二所示的Hartley(1)和 Weaver(2)拓扑架构,在A点和B点的输出是相同极性的有用信号和极性相反的镜像信号,这样通过后面的加法器,镜像信号就可以被抵消掉,从而达到简化镜像滤波器的设计,但是这种架构由于相位和幅度不平衡,其镜像信号没有办法完全抑制,如证明(6),镜像抑制比IIR。

E指相对的电压幅度差,指相位差,如果 E和θ足够小,式(1)可以简化为(2)。

这里θ是弧度,如果E=5%,θ=5度,IIR约为26dB,如果要达到60dB的IIR,需要θ低于0.1度,这是非常难以实现的,通常这种架构可以做到30-40dB的镜像抑制(7),所以,即使采用这种架构,镜像抑制滤波器和信道选择仍然需要仔细设计。

图二: Hartley和Weaver镜像抑制架构
如何成为一名优秀的射频工程师,敬请关注: 射频工程师养成培训
上一篇:M2M通信技术植入智能手机平台
下一篇:应对4G时代智能手机天线设计挑战

