- 易迪拓培训,专注于微波、射频、天线设计工程师的培养
选择微波接力通信射频波道配置方案的条件
| 选择微波接力通信射频 杨克俊 摘要:对近年来国际电联(ITU)关于微波接力通信系统射频波道配置的标准中有关波道配置方案的变化进行了研究,分析了这些变化并推导了选择波道配置方案的计算公式(即条件)。所得结果与ITU-R建议书中给出的结果一致,澄清了原公式中一些含混的地方。 Conditions satisfied for different patterns of radio-frequency channel arrangements for radio-relay systems YANG Ke-jun Abstract: In the recent years, there are many changes for the patterns of radio-frequency channel arrangements for radio-relay systems in the ITU-R RECOMMENDATIONS for the effective use of radio spectrum. In this paper we analyzed the changes and deduced the equations (i.e.conditions) used for determining different patterns of radio-frequency channel arrangements for radio-relay systems. The results are the same as it given in the ITU-R Rec. but some ambiguities in the original equations have been clarified. 1 引言 随着通信技术的飞速发展,微波接力通信得到了更广泛的应用,但是由于频谱资源的有限,频谱的利用也越来越拥挤。因此提高频谱有效利用技术的研究得到了世界各国的高度重视,目前采用的提高频谱有效利用的主要技术有:(1)新的调制技术,如增加多电平正交幅度调制(M-QAM)的调制状态数M;(2)多种业务的频段共用技术;(3)多址技术,如码分多址(CDMA);(4)数字传输体制,(5)射频波道配置技术等。本文仅就射频波道配置的方案及选择条件进行深入讨论。国际电联已经制订出一系列微波接力系统射频波道配置的较完整的标准,我国也有相应的国家标准。92年以前的标准(无论是国际标准还是国标)都只给出了两种射频波道配置方案[1,2,3],即同波道配置方案和交替波道配置方案,并给出了相应的选择不同方案的条件(即计算公式)。但为了更有效的利用频谱,从94年开始国际电联通过长期研究在国际标准中(即建议书中)把原来射频波道配置的两种方案改为三种方案[4,5],也给出了相应的选择不同方案的计算公式(即条件),这些新的计算公式与原来的完全不同。我国正在制定的国家标准[6],"1~40GHz数字微波接力系统的容量系列与波道配置"中,也采用了新的国际标准(即94年标准)及相应的新的选择不同方案的计算公式。 2 射频波道配置的三种方案 根据国际电联的建议书ITU-R F.746-1的建议,波道配置应优先以等间隔为基础,三种射频配置的方案是:(1)交替波道配置方案(图1);(2)同波道方式频带复用方案(图2)和(3)交插方式频带复用方案(图3)。图1,图2和图3分别示于下面。 |

图1 交替波道配置方案
Fig.1 Alternated Channel Arrangements

图2 同波道方式频带复用方案
Fig.2 Band Re-use in the Co-channel Mode

图3 交插方式频带复用方案
Fig.3 Band Re-use in the Interleaved Mode
| XS(MHz)—定义为在同一极化面上在同一传输方向上,相邻射频波道的中心频率间的频率间隔; YS(MHz)—定义为彼此间最近的去向和来向射频波道的中心频率间的频率间隔; ZS(MHz)—定义为最外边的那一个射频波道的中心频率和频带边缘之间的微波频率间隔;在下面和上面的间隔数值不同的情况下,ZS1称下频率间隔,ZS2称上频率间隔; DS(MHz)—定义为对每一对去向和来向射频波道的中心频率(如fi和f′i)间的频率间隔; 在上面的图中数字1,2,3,4,…和1r,2r,3r,4r,…表示"去向"波道的主波道序号,数字1′,2′,3′,4′,…和1′r,2′r,3′r,4′r,…表示"来向"波道的主波道序号。数字后面带有r的表示频带复用的波道。 3 选择射频波道配置方案的条件的推导 波道配置方案的选择在多个并列波道工作的微波接力系统中主要与交叉极化产生的干扰和邻波道产生的干扰有关。具体地说,它依赖于交叉极化鉴别率(XPD)和净滤波器鉴别率(NFD)。它们被定义为 |

图4 微波接力系统中交替波道配置时多个并列波道干扰示意图
Fig.4 Interferes Sketch Map for the Alternated Channel
Arrangements in the Radio-relay Systems
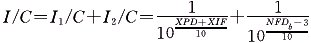
| ……,根据前面的假设2有 另外,在波道1中,中心频率是f1用垂直极化发射而用水平极化接收的功率为 式(3)表明,在没有加任何滤波的情况下,在波道2接收水平极化,只考虑波道1的影响,就等于把波道1中由垂直极化转变为水平极化的功率全部接收过来。在波道2中,加上射频(RF)、中频(MF)和基带(BB)滤波器后,同样用水平极化接收,只考虑波道1的影响,并考虑到波道1与波道2中心频率之差为 为了保证通信的可靠性,信道中必须保证有一定的信噪比,这时在波道2中由于①和②产生的干扰使其载波干扰比为 (5a)对(5a)式作变换并考虑到(2)式和(3)式有 (5b)根据XPD和NFD的定义,显然有 XPD=10log [XPD] (dB) (6b) (7a)NFDb=101og [NFD]b (dB) (7b) 式中下标b表示对于频率间隔为 因此以分贝(dB)为单位的载干比(C/I)可表示为 C/I(dB)=XPD+(NFDb-3) (dB) (8) 如果XPDmin为在所要求的时间百分比内所达到的XPD的最小值。 (C/I)min为所采用的调制方式所能接受的载干比的最小值。则为了保证要求的通信质量应该有 XPDmin+(NFDb-3)≥(C/I)min (dB) (9) 式(9)即为选择交替波道配置方案时在不考虑线路衰落和色散的情况下必须满足的条件。 3.2 同波道方式频带复用方案 图5是微波接力通信系统中同波道方式频带复用时(参见图2)多个并列波道干扰示意图。图中f1(⊥)表示波道序号为1,波道中心频率为f1,传输垂直极化波的波道;f1r(∥)表示波道序号仍为1,波道中心频率仍为f1,传输水平极化波的复用波道;其它以此类推。现在考虑对f2r(∥)波道的干扰,从图中可以看出,干扰有①、②、③、④和⑤,①表示波道f2(⊥)对波道f2r(∥)产生的干扰;②表示波道f3r(∥)对波道f2r(∥)产生的干扰;其余以此类推。显然,这五种干扰中以①、②和③为最大。 |

图5 同波道方式频带复用时多个并列波道干扰示意图
Fig.5 Interferes Sketch Map of the Band Re-use in the Co-channel Mode
| ①是同波道交叉极化干扰。显而易见有,C/I1 (dB)=XPD。通常由于降雨,多径衰落等引起的XPD恶化严重,因此必须采用交叉极化抵消措施。假定采用这种措施对XPD的改善因子为XIF(dB), 则, C/I1(dB)=XPD+XIF (10a) ②和③是相邻波道同极化干扰。相当于式(8)中的XPD=0。 则有,C/I2(dB)=NFDb-3 (10b) 综合考虑①、②和③的影响,并考虑到干扰功率相加的原则,首先确定总干扰功率。 对于情况①,相对于载波的干扰功率计算为, 同样,对于情况②和③有, 总干扰功率为, 则总的载干比为, (13)同前要满足通信要求,必须有 即 (dB) (14b)(14b)式就是选择同波道方式频带复用方案时在不考虑线路衰落和色散的情况下要满足的条件。 3.3 交插方式频带复用方案 图6是微波接力通信系统中交插方式频带复用时(参见图3)多个并列波道干扰示意图。图中f1(⊥)表示波道序号为1,波道中心频率为f1,传输垂直极化波的波道;f1r(∥)表示波道序号仍为1,波道中心频率为f1r |

图6 交插方式频带复用时多个并列波道干扰示意图
Fig.6 Interferes Sketch Map for the Band Re-use in the Interleaved Mode
| ①和②是对称的交替波道交叉极化干扰,其分析方法及结果与3.1节相似,参照式(8)有, C/I1(dB)=XPD+(NFDb-3) (15a) ③和④是对称的邻波道同极化干扰,其结果参照式(10b)并考虑到相邻波道间隔为XS,则有, C/I2(dB)=NFDa-3 (15b) 综合考虑①、②、③和④的影响,参照上节分析,则总的载干比为, (16)同前要满足通信要求,必须有 载干比(dB)≥(C/I)min (dB) (17a) 即 (dB) (17b)(17b)式就是选择交插方式频带复用方案时在不考虑线路衰落和色散的情况下要满足的条件。 4 讨论与结论 在上面分析中得出的(9)、(14b)和(17b)式分别是选择交替波道配置方案,同波道方式频带复用方案和交插方式频带复用方案的条件(即计算公式)。这与ITU-R F.746-1建议书中给出的结果是一致的。但应当指出,与式(9)相应的原公式中的NFD应为NFDb,与(14b)和(17b)相应的原公式中的XPD应为XPDmin。 作者单位:国家无线电频谱管理研究所, 西安市慈恩路8号 710061 作者简介:杨克俊 男,研究员,毕业于西安电子科技大学,电子学会高级会员,电波传播分会委员,国家科技进步一等奖获得者,享受政府特殊津贴专家,现从事无线电频谱管理中的电波传播研究。 参考文献 [1]ITU-R F.746建议.微波接力系统的射频波道配置.国际电信联盟,1992-CCIR建议,RF系列,固定业务,日内瓦. 收稿日期:1998-09-16 |

(5a)
(5b)
(7a)
(13)
(dB) (14b)
(dB) (17b)