- 易迪拓培训,专注于微波、射频、天线设计工程师的培养
LRL校准法及其在微波测量中的应用
录入:edatop.com 点击:
LRL校准法及其在微波测量中的应用
廖进昆 刘仁厚
(四川大学通信工程系 成都 610065) (电子科技大学微波测试中心 成都 610054)
【摘要】 讨论了微波器件的测量问题,阐明了LRL(Line-Reflect-Line)校准法的物理模型。应用微波网络理论建立了基本方程,运用矩阵方法推导出待测件散射参量的闭定式表达式。由于利用代数消去法,去除了嵌入参量相位不确定性引入的误差,LRL法可用于微波晶体管测试夹具的去嵌入。
关键词: 微波测量; 校准; 去嵌入; 散射参量
在微波电路CAD技术蓬勃发展的同时,对微波器件的精确测量提出了相应的要求。自动网络分析仪只能测量接头可与测量口相连的部件[1],无法直接测量微波器件。微波器件必须装在一个与器件尺寸相配的夹具里才能测量,所测数据将是被测器件与测试夹具共同的结果。为得到器件的参量,必须扣除夹具的参量,这一过程称为去嵌入。
70年代中期,B.Bianco等人对测试夹具的去嵌入方法进行了理论研究[2]。由于理论与应用两方面尚不完善,很长时期未受到重视。70年代末,R.A.Speciale关于TSD(Thru-Short-Delay)的工作成为一个转折点[3,4],特别是美国NBS微波实验室的G.F.Engen和C.A.Hore把TSD推广为TRL(Thru-Reflect-Line),并用于六端口自动网络分析仪的校准[5],才使人们重新认识到B.Bianco等人工作的重要价值。在此基础上,人们于80年代末提出了LRL校准法。
1 LRL的物理模型
采用LRL去嵌入,其步骤为:1) 接入两段长度不等而特性参量相同的传输线,分别测得散射参量[S]M1和[S]M2;2) 接入一段特性参量与上述传输线一致的开路线,测得一口的反射S11OP。从三次测量可以确定传播常数γ和左右两端转换处的嵌入参量[S]L和[S]R;3) 联入DUT测得散射参量[S]M,再从[S]M中扣除前两个嵌入网络参量,便得出DUT的散射参量。其中,l1、l2是两段直通线的长度;lo是开路线的长度;ll是到DUT左参考面的线长;lr是到DUT右参考面的线长,如图1所示。

2 基本理论及推导
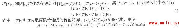
考虑传输矩阵


利用式(1)可得传播常数
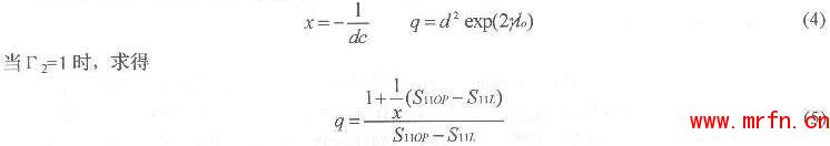
由步骤2)接入开路线,在一口测得S11,[T]lo是长度为lo的传输线的传输矩阵。
此级联网络的传输矩阵为[T]L[T]lo,令

联入DUT测得散射参量[S]M,转化为传输矩阵[T]M,有
[T]D={Dij}(i,j=1,2)是DUT的传输参量。由矩阵运算改写成以下形式

式中 [X]为4阶方阵。应用矩阵分块求逆,可得出[X]的逆矩阵,于是可得DUT的形式解为

3 去嵌入理论
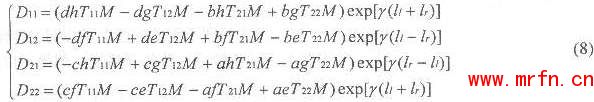
由式(8)利用式(1)的展开式消去嵌入参量,将Dij(i,j=1,2)表示为四次测量值的函数
由式(8)利用式(1)的展开式消去嵌入参量,将Dij(i,j=1,2)表示为四次测量值的函数

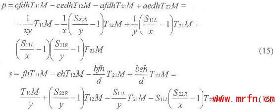
由式(8)~(14)经简单代换有


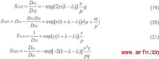
由式(9)~(18)得出DUT的散射参量为

4 结 论
从上述理论推导可以看出,LRL校准法的有效性极大地取决于转换处不连续性的重复程度。因此,对测试夹具的加工水平提出相应的要求:1) 转换处频响好;2) 机械重复精度高。此外,复传播常数γ的准确性严重影响测量结果。
感谢张其劭教授,侯露莹副教授的大力支持。
参 考 文 献
1 Curran J. Network analysis of fixtured devices. Hewlett Packard RF & Microwave measurement Symp, 1986
2 Bianco B. Lancher and microstrip characterization. IEEE Trans Instrum Meas, 1976, 25 (4):320~323
3 Franzen N R, Speciale R A. A new procedure for system calibration and error removal in automated S-parameter measurements, Proc 5thEuropean Microwave Conf, Sevenoaks, Kents England: Microwave Exhibitions and Publishers, 1975: 69~73
4 Speciale R A. A generalization of the TSD network analyzer calibration procedure, covering n-port scattering parameter measurements, affected by leakage errors. IEEE Trans MTT, 1977, 25: 1 100~1 115
5 Engen G F,Hore C A. Thru-Reflect-Line: An improved technique for calibration the dual six-port automatic network analyzer. IEEE Trans MTT, 1979, 27 (12): 987~993

