- 易迪拓培训,专注于微波、射频、天线设计工程师的培养
接收机中的射频前端设计技术
一、前言
现代民用及军用设施使用电子设备繁多,电磁环境复杂,相互干扰严重。一般地,车、船和飞机上的通信设备收发机都集成在一起。以短波通信设备为例,发射机的残余信号在接收机输入端产生的电平达120dBµV(即13dBm)或更高。而接收机所需接收的微弱信号电平可能仅-6~0dBµV(即-117~-113dBm)。因此,要求接收机处理的信号动态范围高达120~126dB。另外,高电平干扰信号与所接收信号频率仅相距数十千赫,所以,高电平干扰信号和它们在接收机中产生的互调产物会严重影响接收机的输出信噪比。为了降低这种影响,就要求接收机具有以下性质:
· 高选择性,接收机的动态范围尽可能要大;
· 高线性,在信道滤波之前,降低带外高电平干扰信号在信道滤波器通带内产生的互调产物;
· 极低的本振相位噪声,以免邻近的干扰信号将本振噪声转换到接收机信道带宽内。
作为接收机重要组成部分的接收机射频前端是接收机动态性能的关键部件,它工作于中频放大器之前。诸如动态范围、互调失真、-1dB压缩点和三阶互调截获点等,都与接收机前端的性能有直接关系。本文以下将介绍接收机中的射频前端设计技术。
二、射频前端的几种结构
1、最简单的射频前端结构
接收机前端电路有几种不同的结构。图1示出了一种最简单的形式。这种结构无射频放大器,在带通滤波器之后,只有混频器和本机振荡器。带通滤波器的输入来自天线,其输出经过混频器到达中频放大器进行后续处理。

图1 简单射频前端结构
这种结构的主要特点是:第一,在实现中所需成本比其它结构少;第二,避免由于处理无用的能量而消耗混频器的动态范围。
带通滤波器具有良好的前向性能(在通频带范围内)和良好的反向隔离性能。这样可以防止本振信号能量辐射到天线,进而避免天线辐射这些信号能量。带通滤波器有三个主要任务:
· 限制输入信号的带宽以使互调失真最小;
· 削弱乱真响应,主要是镜象频率和1/2-中频频率问题;
· 抑制本机振荡器辐射到天线的能量。
2、稍微复杂的前端结构
第二种前端结构如图2所示。这种结构使用了一个射频放大器。该射频放大器的增益较低--一般低于20dB。高于20dB的增益可能会使系统稳定性受到损害,并且不能达到互调截获点。

图2 使用射频放大器的前端结构
射频放大器的目的是隔离混频器,同时在混频之前将信号放大。这种放大可以补偿混频器和带通滤波器中的损耗。射频放大器的主要特点是改进了混频器/本机振荡器电路与天线电路之间的隔离。
3、更完善的前端结构
第三种结构如图3。与上述两种结构相似,该结构也有混频器和本机振荡器电路,或者是包含混频器和本机振荡器的转换器。该结构与前一种结构的不同之处是增加了一个带通滤波器。

图3 更复杂的前端结构
两个滤波器可以有同样的中心频率,但这并不是最好的设计方法。一般将第二个滤波器的频率调至镜象频率,该频率是射频加上或减去2倍的中频,并与射频信号分别位于本振频率的两边。这样,该镜象频率与射频信号一样,在混频器中经过同样处理,因此可以作为有效信号在系统通过。
第二个带通滤波器也能削弱接收机的其它乱真响应和直接中频提取。此外,还削弱了在射频放大器中产生的噪声,防止噪声到达混频器。
同时,第二个带通滤波器抑制了在射频放大器中产生的第二谐波能量,从而改进了接收机的二阶互调截获点。
在高频范围,该滤波器没有反向响应。主要原因是混频器对于接收机频率的奇数阶谐波几乎没有响应,因此它们可以通过系统。
射频带通滤波器的性质由第一中频和本振信号的注入端共同决定。如果选择低端注入,某些乱真信号可能在射频信号的低端产生。
在高端注入恰恰相反:所有的乱真信号会处于射频信号的高端。在插入损耗和滤波器的选择之间通常应该做权衡,以利于减少第一个带通滤波器的插入损耗,但是在第二个带通滤波器中可能效益不大。
三、影响射频前端性能的因素
1、混频器/本机振荡器性能
第一个混频器的性能对于接收机的性能至关重要。它是一个非线性设备,而且,还要使用本机振荡器系统中最高电平的射频信号。因此,它需要有非常高的互调截获点。
单设备有源混频器价格便宜,但是它们性能最差。一般来说,无源、双均衡混频器的性能最好。它们通常有最高的互调截获点,而且相对其它某些混频器设计来讲,有更好的噪声均衡特性。表1列出了混频器性能参数和受之影响的接收机性质。
表1 混频器性质对接收机性能的影响
| 三阶互调截获点 二阶互调截获点 噪声均衡 本振与射频隔离 射频与中频隔离 转换损耗 | 互调失真 1/2中频响应 灵敏度和调幅噪声抑制 天线辐射的本振能量 直接中频提取 灵敏度 |
有时,在混频器和本机振荡器之间的接口上还有第三个带通滤波器。这个本振滤波器用于削弱宽带噪声和本振频率附近的谐波,而这些谐波会降低混频器的二阶互调截获点。
在接收机内所使用的混频器电路类型都需要仔细权衡。无源混频器比有源混频器有更好的互调失真性能。然而它们不能提供任何转换增益,事实上是有损耗的设备。
有源混频器对本振功率的要求较低,但其噪声性能不如无源混频器。而且,在高温状态下,有源混频器的三阶互调截获点性能会降低。
在混频器中频输入和中频放大器之间通常放置一个双工器网络。这个双工器网络会吸收一些频率,同时让其它频率通过。双工器网络必须是非反射性的,且为本振频率的若干倍。否则,那些频率会被反射回混频器,导致性能降低。
对于接收机临近信道的选择,本机振荡器的单边带相噪性能是很重要的。宽带噪声经常影响接收机的灵敏度。
本振信号是混频器中启动变换的大信号,能够产生自身的谐波。因此,本振信号应该尽可能纯净以防止接收机中的乱真响应。
本机振荡器必须能正常工作,而不受温度和电源电压变化的影响。如果接收机遭受机械震动或碰撞,其输出也应保持稳定。
2、噪声性能
所有的无线电截获都是对系统的信噪比(SNR)的一系列处理。鉴于此,混频器、本机振荡器、带通滤波器和射频放大器产生的噪声应该降至最小。
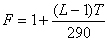
对于无源、有损耗的器件,例如滤波器或某些混频器,噪声因数由下式给出:
……(1)
其中,F是器件的噪声因数,L是器件的损耗(1/G),T是器件的绝对温度,单位是K。某些双均衡混频器可以有稍高一点的噪声因数。
决定系统的噪声因数的Friis方程是:
……(2)
其中,F是等效的噪声因数,F1、F2、F3是第1、2、3分级的噪声因数,FN是第n分级的增益,G1、G2、G3是第1、2、3分级的增益,GN-1是第N-1分级的增益。
接收机的整体噪声因数由系统内各分级的噪声性能共同决定。
3、乱真响应
乱真响应是一种不希望出现的响应。在超外差接收机中,这些毛刺在混频器阶段中产生。多数接收机毛刺都是接收机外差的结果,有以下等式:
F1F = mFRF ± nFLO……(3)
其中,F1F是中频,FRF是射频,FLO是本振频率,m和n是整数。
通过在方程(3)中解FRF,可得到两个可能产生毛刺的射频频率。也就是:
……(4)
以及
……(5)
最常见的毛刺有:
· 镜象频率
· 1/2中频
· 直接中频提取
· 若干倍的本振频率
· 本振乱真频率
· 第二混频器毛刺(只在双向转换接收机中)
在全双工无线电接收机中,即同时也作为发射机使用的接收机,必须要考虑到两个额外的响应:全双工镜象和半双工镜象。定义如下:
全双工镜象=Fr-△f ……(6)
半双工镜象= Fr+△f/2 ……(7)
这里的Fr是发射机频率,△f是发射机频率和接收机频率之差。
4、互调截获点
互调截获点是电路线性度的量测。通过它,可以从输入信号电平计算出互调失真电平。互调截获点影响信号的动态范围,互调截获点越高,信号的动态范围越小;反之,互调截获点越低,信号动态范围越大。在理论上,互调截获点有n阶,但一般起主要作用的是二阶和三阶互调截获点。见图4,互调截获点表示的是一个输入振幅,在该点上,所需基本频率与不希望信号的输出振幅相等。

图4 无线电接收机的n阶互调截获点
二阶互调截获点:
二阶互调截获点(SOIP)取决于信号的二阶产物,而且基本电平提高1dB,SOIP则提高2dB。
混频器的1/2中频响应可以从二阶互调截获点预测出。1/2中频互调截获点取决于射频信号和本振信号的第二谐波,两者都是内部产生的(2FRF±2FLO)。1/2中频抑制由下式给出:
(IP2-S-C)/2 ……(8)
其中,IP2是二阶互调截获点,S是接收机灵敏度,单位为dBm,C是捕获率或同频道抑制,单位为dB。
例如,假设接收机的二阶互调截获点为45dBm,灵敏度为-120dBm。如果同频道抑制为6dB,则半中频抑制为:
(45 dBm +120 dBm -6 dBm)/2=159/2=79.5 dBm
三阶互调截获点:
在三阶互调截获点(TOIP)上,基本信号和三阶产物在振幅上是相等的。基本信号每提高1dB,TOIP则提高3 dB。
TOIP主要反映接收机的互调失真性能。接收机的互调性能定义为接收机灵敏度和信号电平两者之间的的差,单位为dB,它足以产生特定的干扰电平。从下式可以计算出其值:
IM=(2IP3-2S-C)/3……(9)
这里的IM是互调失真率,单位为dB,IP3是TOIP,S是接收机灵敏度,单位为dBm,C是捕获率或同信道抑制,单位为dB。
方程(9)只包括一个载波的情况。然而,实际应用的接收机要处理很多载波。对于2F1-F2和2F1+F2来说,谐波的数量是n(n+1),n为当前载波的数量。若是三重脉冲,对于F1+F2-F3情况,需要处理的谐波数量为n(n-1)(n-2)/2。
n阶互调截获点:
如果已知接收机中的信号的输入电平,就可以利用下式计算出n阶互调截获点的值:
IPN=(nPA-PIMN)/(n-1)(10)
其中,IPN是n阶互调截获点,n是互调截获点的阶,PA是接收机输入信号功率电平,PIMN是IMD信号的功率电平。
5、射频放大器
射频放大器对于混频器的性能会产生不利的影响,从而,对整个接收机性能产生影响。可以使用很多方法来消除这些影响。
第一种方法是使用一个高功率器件,使其工作在最大范围内。然而,这种方法需要权衡噪声性能。
第二,降低进入器件的信号电平。在某些情况下,可以使用衰减器来实现。此时,必须要采取措施来均衡灵敏度的要求。
第三,降低分级增益。此外,需要考虑噪声和SNR。
第四,在放大器中使用负反馈。
第五,提高射频放大器的灵敏度。较窄的带通与较宽的带宽相比,产生的噪声更小。
第六种方法是使用推拉式放大器,因为它们可以清除偶次谐波--奇次谐波不受影响--从而可以释放掉偶次谐波占用的混频器动态范围。
四、小结
接收机射频前端对接收机的动态性能起决定性作用。本文首先对接收机射频前端的重要性做了简单说明,随后详细叙述了射频前端可能采用的几种结构,最后对影响其性能的各种因素进行了详细的分析。
作者:张云飞、孙景斌、曾继东
参考文献:
[1]Joe Carr:Designing Front-Ends,Electronics world,January,2001.
[2]袁朝京:数字接收机设计,《电讯技术》,1998.1。

