- 易迪拓培训,专注于微波、射频、天线设计工程师的培养
怎样利用实用的方法构建C类功率放大器
宽带C类功率放大器(PA)在某些通信频带中是有用的。虽然现已被集成进Agilent-EEsof的先进设计系统(ADS)仿真软件中,Touchstone曾一度是用于开发和优化这种功率放大器阻抗匹配网络的强有力工具。随后的是一种展示如何为选定RF晶体管提取优化输入和输出大信号阻抗、用单端口网络建模其行为然后在整个要求频带内开发工作于50欧姆系统阻抗网络的设计方法。为确认该方法的有效性,设计了一个从225到 400 MHz间功率增益是10dB的10W功率放大器。
设计宽带微波PA是一项充满挑战性工作。RF功率器件参数随信号电平及频率的改变而变化,这使得获得优化的阻抗匹配很困难。可使用多种技术以表征功率器件行为。表征得越完整完善,所用的模型通常就越复杂。
大信号充电控制晶体管模型和改进的Ebers-Moll模型是早期使用的为RF功率晶体管建模的模型。在一个近似的PA设计中,还应用了大信号S参数。但因测量这些大信号S参数很困难,该技术用处有限。采用数值分析的计算机模拟也被用于预测C类功率放大器的行为。虽然该方法能得出精确结果,但采用该方法设计C类功率放大器是个冗长而晦涩的过程。幸运地是,在1970年代中期发展起来的谐波均衡设计方法极大简化了非线性电路和大信号功率放大器的设计。该技术的一个基本限制是其复杂性及解决电路问题所需的需用专业数学方法完成的大量数?运算。
源于RF功率晶体管的非线性特征,一个完整的双端口器件模型并非设计输入和输出匹配网络的上佳选择。在本文中,采用的是单端口阻抗模型以表征优化负载及该功率器件的源终止。在RF器件数据手册中,一般在RF功率晶体管工作频段内的几个频点上给出优化负载和大信号源阻抗8。RF器件的有效输入和输出阻抗可被表述为这些优化终止的共轭变化。
可借助负载牵引(load-pull)调谐器通过测量该器件在整个相关频带内的优化负载和源阻抗对RF功率晶体管特性进行表征。如图1所示,它要求一个单端口表述以预测这些阻抗从低频带端(FL)到高频带端(fH)间的复杂共轭变化。在此例中,Zout = Z*OL ,Zin = Z*s;其中,ZOL是优化负载阻抗,Zs是源负载阻抗。图2表示了该建模后的阻抗网络的两种可能拓扑结构。全部损耗集中于一个电阻,该电阻终止了一个电感-电容(LC)两端口网络。
![]() |
![]() |
可利用一个解析综合程式来实现能与在高低频两端测试到的阻抗数据相匹适的单端口网络。但可通过如下方法代替此冗乏枯涩的工作——可利用类似Touchstone(现ADS)等模拟软件以优化建模网络的电路元素以预测相关全频带范围内的性能。
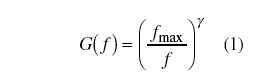
若晶体管在一个宽的频率范围内以共轭方式匹配,则随着频率的增加,可获得的最大增益将以6dB/倍频的负斜率滚降。用于补偿晶体管的功率增益随频率变异的技术之一是有选择地反射功率增益相对较高的频带低端的一些功率。但该技术导致的受控失匹毕竟会削弱低频带输入的电压驻波比(VSWR)。RF晶体管的近似功率增益由下式给出:
![]() |
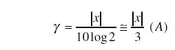
其中:fmax=最大振荡频率;γ=一个与增益变化相关的常数,由下式表示:
![]() |
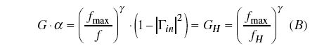
其中:x =以dB/倍频表示的斜率。由输入反射引起的匹配网络发射损耗由下式给出:
![]() |
其中:Γin=输入端的反射系数。
为得到一款在整个相关频带具有常数Gα的产品,
![]() |
其中:GH =高频带侧fH的增益。
![]() |
利用Touchstone的优化能力,可根据模型方程3设计输入匹配网络。
推荐的宽带C类 PA计算机设计方法可被归纳为如下的系统步骤:
1. 为得到所需的输出功率、增益和电源电压,从器件数据手册中在要求的频带内选用大信号输入和输出阻抗(Zin和Z*OL)。
2. 利用数值内插和外推技术扩展阻抗数据采样点。当确定器件在频率fL、fo和fH的终端阻抗时,这是一项有用技术。
3.选用合适的单端口网络拓扑在整个频段为上述终端阻抗建模,并用Touchstone优化其要素值。
4.在设计好建模电路后,分别在建模电路和源及50欧姆负载终端间插入输入和输出匹配网络。通过一个大致的图形设计程式,可对匹配网络的元素进行初始估值。
5.对输入和输出匹配网络实施优化以实现期望的输入和输出匹配。输出匹配网络设计成可实现共轭匹配并能在整个频带为晶体管输出提供阻抗ZOL。另一方面,输入匹配网络设计成能在fL 到 fH间得到平坦的增益。通过选择性地在较低频率实施误配,可达到上述结果。将不同采样频率带入方程3可对输入反射系数进行估算并将其存储在外部数据文件中。然后对输入匹配网络进行优化以在整个频带对计算出的输入反射系数进行建模。
6.在保持所要求频率响应的前提下,基于实际情况,用Touchstone的调谐器窗对匹配网络的元素进行调制。
为验证上述程式的有效性,设计和搭建了一个PA电路。该C类 PA在225到400 MHz内具有10W输出功率,最小功率增益是10dB。因零偏置发射-基结结构兼具高效和结构简单的特点,所以,C类采用该结构。因具有优异的可靠性和耐用性,所以摩托罗拉/飞思卡尔的MRF321 UHF功率晶体管被选用。MRF321在400MHz具有10W RF功率,工作在28V。
输入和输出匹配网络的设计从在器件数据手册中选择输入和输出阻抗(Zin和Z*OL)开始,然后在整个相关频段插入这些数据(可借助Touchstone完成)。表中显示的是插入在225 MHz到400 MHz频带内这些阻抗的样本值。图4显示的是输入匹配网络的图形设计。
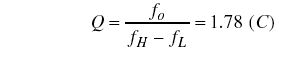
中心频率(312.5 MHz)的输入阻抗位于点A。设计目标是当从点A移向图表的中心时,不超过常数Q规定的范围。其中:
![]() |
图4显示,低品质因数(Q)宽带匹配网络电路可通过多个L部分实现。匹配电路包括三个低通L型部分和一个旁路电容(C4)以补偿输入阻抗Zin的感应电抗。
![]() |
![]() |
但该网络具有一种包括两个低通部分(L5–C5和L6–C6)、一个高通元件(C7)的带通拓扑结构。旁路电感(L4)用于将晶体管的输出电容中和掉。因在此例中,输出阻抗水平更高,所以,输出匹配电路的增益带宽约束比输入匹配电路简单。该网络的梯形形式在谐波抑制中有用。
计算机建模程式以设计可预测从fL到fH间的Zin和Zout的建模网络开始。通过Touchstone对这些网络进行设计和优化。图6显示的是这些网络的最终优化电路元素值。
![]() |
对输入匹配网络实施优化以表征由方程3给出的输入端反射系数,以补偿MRF321晶体管的6dB/倍频的增益频率斜率。可向作者索取优化输入匹配网络所需的Touchstone电路文件。这些所需的输入反射系数值被保存成一外部文件(GMRF321.S1P)。为控制整个频带的输入VSWR,添加了两个分别由L7、C8和R1及L8、C9和R2组成的补偿网络。另一方面,对输出匹配网络进行优化以在整个工作频带内,为晶体管集电极提供优化的负载阻抗ZOL。添加了一个与L4串行的补偿网络以改进匹配要求。图7表示的是最终的优化功率放大器电路。
该功率放大器的正确建构,以正确为匹配网络选择元件开始。利用安捷伦(www.agilent.com)的HP 8510B向量网络分析仪测量和调设全部元件。除陶瓷固定电位器外,为了调整还采用了微调电容器。所有电感都是由20和22 AWG烤漆线手工绕制的。用于绝缘DC电路的RF扼流器(choke)制成低Q型。
电路做在一块10.8×8cm的双面PCB上,所用的是一种1.2mm厚的环氧玻璃PCB材料。
![]() |
选用环氧玻璃是因其随处可买且便宜。电路做在上面,而覆铜底层做地平面。为得到良好的电路稳定性,将一个铁磁珠与基极扼流器串接在一起以抑制低频振荡。然后将该电路装在一个11×9×3cm大小的外壳以将功率放大器与外部干扰信号绝缘。该外壳与一个合适的散热器固定在一起。在输入和输出端采用BNC接头用于信号输送。为DC偏置在壳体上装接了一个旁路(feed-through)电容器。RF晶体管的底衬用一个合适的螺钉与散热器固定在一起。图8表示的是作为从225到400 MHz间频率的函数的输出功率。
![]() |
功率增益是9.5±1dB。但,并没试图对该特性进行经验调整。调整微调电容使在高低频两端有相同的峰值增益能得到更好的宽带工作效果。若这样做,一个三端口循环器应被放在功率放大器的输入端以保护输入功率放大器免受在该过程中因VSWR衰减可能产生的反射功率影响。在工作频带内,发现二级谐波水平比基本信号功率低16到20dB。














