- 易迪拓培训,专注于微波、射频、天线设计工程师的培养
一种宽带射频功率放大器的匹配电路设计
阻抗变换器和阻抗匹配网络已经成为射频电路以及最大功率传输系统中的基本部件。为了使宽带射频功率放大器的输入、输出达到最佳的功率匹配,匹配电路的设计成为射频功率放大器的重要任务。要实现宽带内的最大功率传输,匹配电路设计非常困难。本文设计的同轴变换器电路就能实现高效率的电路匹配。同轴变换器具有功率容量大、频带宽和屏蔽好的特性,广泛应用于VHF/UHF波段。常见的同轴变换器有1:4和1:9阻抗变换,如图1所示。但是实际应用中,线阻抗与负载不匹配时,它们的阻抗变换不再简单看作1:4或1:9.本文通过建立模型,提出一种简化分析方法。

1 同轴变换器模型
同轴变换器有三个重要参数:阻抗变换比、特征阻抗和电长度。这里用电长度是为了分析方便。当同轴线的介质和长度一定时,电长度就是频率的函数,可以不必考虑频率。
1.1理想模型
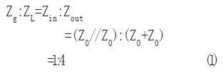
理想的1:4变换器的输入、输出阻抗都匹配,每根同轴线的输入、输出阻抗等于其特征阻抗Z0,其等效模型如图2所示。

其源阻抗Zg与ZL负载阻抗变换比为:

图2和公式(1)表明:变换器的阻抗变换比等于输入阻抗与输出阻抗之比。
同轴变换器的输入阻抗等于同轴线的输入阻抗并联,输出阻抗等于同轴线的输出阻抗串联。
1.2通用模型
由于特征阻抗是实数,而源阻抗与负载阻抗一般都是复数,所以,就不能简单的用变换比来计算。阻抗匹配就是输入阻抗等于源阻抗的共轭,实现功率的最大传输。特征阻抗为Z0,电长度为E的无耗同轴线接复阻抗的电路如图3所示。

由于源阻抗与同轴线特征不匹配,电路的反射系数就不是负载反射系数。
由于同轴线是无耗的,进入同轴线的功率就等于负载消耗的功率。那就可以把电路简化只有一个负载Zin,又因为Zg与Zin都是复数且串联,就可以把Zg中的虚部等效到Zin中,最后得到反射系数为:

其中:
当反射系数为零时,功率可以无反射的传输,这时阻抗实现完全匹配。
由公式(2),反射系数为零可以等效为分子为零,即:

其中:

当E为90o时,可得:
由于特征阻抗为实数,ZLZg*为实数时,方程才有解或才能完全匹配。当ZL和Zg为实数时,就是常用的λ/4阻抗变换。
当E不等于900,利用实部与虚部都等于零得方程组:

整理化简得:

公式(3)说明,不是任意两个复阻抗都可以完全匹配,必须满足特征阻抗为正实数;可以并联或串联电抗元件,使两个不可能完全匹配的复阻抗完全匹配。
通用模型是结合理想模型和同轴线分析建立,如图4所示。把1:N同轴变换器等效一根同轴线,利用同轴线的分析结果,更容易获得特征阻抗和电长度参数。

特别对于利用同轴变换器设计的匹配电路,可以简化设计步骤,减少工作量。
2 宽带匹配电路的设计
通过对同轴变换器的分析,可以通过调谐特征阻抗和电长度完成阻抗匹配。
但是实际同轴线的特征阻抗是有一定规格的,不是任意的,而且电长度又是随频率变化的,所以采用同轴变换器和集总元件联合实现宽带匹配的方式。
2.1.集总元件匹配电路
复阻抗可以用电阻与电抗串联表示,也可以用电阻与电抗并联表示,这两种表示的等效电路如图5所示。

它们都是指同一个复数,其转换关系为:

公式4表明,电阻并联电抗可以减小其复阻抗的实部,再串联电抗抵消其虚部,就可以实现Rp到RS阻抗匹配。所需的电抗值可以通过表达式4计算,且Xp与XS取不同性质
如何成为一名优秀的射频工程师,敬请关注: 射频工程师养成培训
上一篇:安立现推出具备信号跟踪源的手持式频谱分析仪
下一篇:安捷伦推出6GHz信号发生器

