- 易迪拓培训,专注于微波、射频、天线设计工程师的培养
超宽带雷达信号电路的设计与实现
雷达是对远距离目标进行无线电探测、定位、测轨和识别的电子设备,无论对军用还是对民用,都占据重要位置。雷达技术的迅速发展,促使雷达性能不断提高,就雷达信号而言,已由传统的模拟技术向数字技术方向发展。传统的雷达信号只有连续波和矩形包络射频脉冲两种形式,技术虽然成熟,但采用此种信号的雷达,目标参数的测量能力和精度均受到限制,远不能适应现代雷达发展的要求[1]。基于这一点,本文采用DDS+PLL+混频器+滤波器技术,设计一种具有宽频带、高稳定度和快速跳变的超宽带雷达信号[2]。这种超宽带雷达信号的实现,对提高现有雷达的性能以及研制新一代高性能雷达都具有重要意义。
1 总体方案的拟定
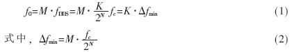
超宽带雷达信号电路方框图如图1所示。它的基本原理是利用参考源DDS[3~4]的微小频率变化激励锁相环输出频率f0的大范围变化,具体公式如下:

本文以产生160MHz~650MHz的超宽带信号为例,输入的较低频率由DDS产生,输出的较高频率由DDS+PLL+混频器产生,即用 3.3MHz的DDS输出信号激励PLL,产生1160MHz~1650MHz信号。该信号与1000MHz本振混频即可产生160MHz~650MHz 信号(其中N=32,M=360)。
2 单元电路的选择、设计与仿真
锁相环由Qualcomm公司新推出的高性能数字锁相环芯片Q3236、压控振荡器Q3500C-0916T和抑制滤波器组成,混频器采用HP公司的IAM-81008。放大器中的反馈放大器采用微波单片集成放大器,选用HP公司的INA-02186硅双极MMIC反馈放大器;而线性放大器选用 MC10H115,是四个用于整形且通过长线传输不同信号的放大器。本地振荡器采用一个晶振倍频源,倍频至1000MHz,为降低倍频源的输出杂散分量,在输出端进行滤波,以得到频谱纯净的本振源信号。为了缩短频率合成器频率的转换时间,在锁相环路基础上外加快速捕获电路。快速捕获电路是采用频率数字变换辅助捕获方法获得捕获的。
图1中的环路滤波器采用带预积分的有源积分滤波器[1],如图2所示。


就阻带衰减的陡度而言,以椭圆函数滤波器最好,所以抑制滤波器选择椭圆函数滤波器。在本电路中,参考输入频率为10MHz,参考分频比为3,故鉴频鉴相器输出为3.33MHz。为降低整个频率综合器的杂散噪声和相位噪声,设计时考虑到从0~1.2MHz的范围内衰减不大于0.2dB,而3MHz以上的范围衰减大于60dB,最后设计的抑制滤波器如图3所示。其幅频特性如图4所示。

为了达到超带宽,160MHz~650MHz带通滤波器采用电容耦合的节点耦合滤波器[5]进行设计,所设计的滤波器电路如图5所示。

对所设计的带通滤波器用PSPICE进行仿真,其幅频特性(V(R2))如图6所示。

3 系统的连线与测试
在完成上述单元电路器件的选择和设计以后,用PROTEL对电路的PCB板图进行具体布局和布线。在布线的过程中要注意电源的供电、器件的接地和耦合器件间的屏蔽。最后对所设计的超宽带雷达信号产生电路的信号产生结果进行仿真。其仿真结果如图7所示。
通过对系统的测试结果进行分析,电路最终产生的结果达到了预期的信号形式和工作频率范围内的各项指标要求。
超宽带高稳定雷达信号产生电路对提高现有雷达的性能以及研制新一代高性能雷达都具有非常重要的意义。它不仅增强雷达的反干扰能力,有效地对付导弹辐 射,而且由于其相对带宽和绝对带宽都比较宽,在雷达成像、雷达目标识别、雷达低仰角跟踪等方面都有重要的应用;它是新一代雷达的关键技术,具有广泛的应用 前景。
参考文献
1 费元春. The Generating Technology of Wideband Radar Signals.北京:国防工业出版社,2002
2 Win M I,sScholtI R A. Ultra-wide Bandwidth Time-hopping Spread-spectrum Impulse.Radio for Wireless.Multi-pleaccess.Communications IEEE, 2000; 48(4):679~689
3 李玉景,李玉美.一种高性能DDS芯片的原理与应 用.雷达与对抗,2004(2)
4 第二届DDS技术与应用研讨论文集[C], 合肥:2001
5 Arther B. Williams. Electronic Filter Design Handbook.北京: 电子工业出版社,1986
如何成为一名优秀的射频工程师,敬请关注: 射频工程师养成培训
上一篇:毫米波通信将成为主流
下一篇:大唐移动一体化卫星授时系统解决方案

