- 易迪拓培训,专注于微波、射频、天线设计工程师的培养
雷达抗干扰技术研究
相位选择:相位选择时,必须考虑所接收的有用信号和无线电干扰信号相位-频率特性的差别。这种选择是用相位自动频率微调系统来实现的,它可以完全抑制与基准信号相位正交的干扰,并且可以大大减小宽带噪声干扰在接收机输出端的功率。在相位选择时,宽带噪声干扰影响的削弱,是由于噪声干扰中包含有相位与基准信号相同和正交的分量。
2.4.2抗欺骗性干扰
当雷达遭遇欺骗干扰时,雷达接收机应当采取特殊的抗干扰措施。对抗距离欺骗干扰时,常用记忆波门法、幅度鉴别、用速度代替距离变化率法、重频捷变以及脉冲前沿跟踪法;对抗速度欺骗干扰时,也有记忆波门法、用距离变化率代替速度法、变发射脉冲周期法;对抗角度欺骗干扰则可采用隐蔽锥扫体制、单脉冲测角体制。
脉冲前沿跟踪是利用雷达目标回波脉冲信号的前沿信息,实现对目标的跟踪(通常指的是距离跟踪)。为了保护运动平台本身,如飞机,在运动平台上载有自卫用的回答式干扰机施放的自卫干扰脉冲与平台本身的雷达回波脉冲大部分重叠,而由于回答式干扰机在接收到雷达探测脉冲(此时已开始出现回波脉冲)到发射回答式干扰脉冲时不可避免的机内延迟(大约为50~200ns)的存在,不能完全掩盖回波脉冲形成的回波脉冲前沿暴露。所谓脉冲前沿跟踪,就是利用这一暴露于回答式干扰脉冲之前的回波脉冲前沿实现对目标距离跟踪,从而对抗距离回答式干扰的。
2.4.3常见信号处理方法在抗干扰方面的作用
积累:用积累技术抗噪声干扰的原理,是充分利用信号和噪声之间在时间特性和相位特性上的区别,来完成在噪声背景中对信号的检测。相参积累同时利用了信号的幅度和相位信息,信噪比提高较多。理想的相参积累,信噪比可以提高N倍(N为积累的脉冲数),但技术上实现比较困难。非相参积累只利用了信号的幅度信息,而完全损失了相位信息,因此效果比相参积累差些。
相关:相关是搜索、跟踪、制导或引信系统处在恶劣工作环境时采用的一种检测处理技术。它的依据是:收到的数据和它经过一定延迟以后的数据之间的联系或相关性(自相关),收到的数据与本机参考数据之间的联系或相关性(互相关),以及信号的其他任意组合之间的联系或相关性。其目的在于改善受干扰的雷达系统正常工作的能力,或开发利用自然干扰和敌方辐射信号的资源。
恒虚警处理(CFAR):现代雷达广泛采用恒虚警处理,其主要功能就是对云雨、气象杂波、地(海)杂波进行归一化处理,以提高雷达在各种干扰情况下的检测能力。雷达采用恒虚警处理,特别是采用两道门限[6]处理的方案,具有抗强噪声干扰、改善雷达显示背景和提高雷达信号处理的能力。
动目标显示(MTI):MTI是多普勒处理的一种类型,它可以在固定杂波中检测出动目标,其基本原理是利用目标和杂波的相对径向移动而产生的不同多普勒频率来滤除杂波。
干扰源寻的(HOJ):用于导弹制导接收机的抗干扰技术,它把由目标发出的干扰信号作为制导信号,也称为被动跟踪干扰源。采用干扰源寻的方式使敌方不敢轻易施放干扰,是一种最积极的抗干扰方式。
被动测距:常用的被动测距方法有角速度测距、一部雷达或同其他雷达配合的三角测距方法、根据接收的回波信号强度增加的速率随1R2(R为目标距离)变化测距等。
除了上述的技术抗干扰措施,在实战中采用数字信号处理电路,能够灵活选择和改变参数,可以提高雷达的可靠性,减轻重量、缩小体积、降低成本。采用新体制雷达,如频率捷变雷达、噪声雷达、无源雷达、红外雷达、激光雷达等,也是抗干扰的有效措施。
3.雷达抗干扰的度量
3.1压制系数
压制系数K'J是衡量雷达对某一种压制性干扰对抗能力的通用标准。它是指干扰对雷达实施有效压制时,所需最小功率PJmin和雷达发射功率Pav之比。如果忽略功率的传输损耗及极化损失,K'J可表示为:

式中,σ目标的等效反射面积;RJ为干扰机距离;R为目标距离;KJ1为雷达检测单个信号所需最小信干比;BJ为干扰带宽;GJ为干扰机发射增益;T0为雷达信号总的积累时间;Gt为雷达发射增益;g=Ar/ArJ,其中Ar为雷达接收天线的有效接收面积,Arj为雷达天线在干扰方向的有效接收面积;Lt雷达发射损耗因子;Li为雷达非相参积累损失因子。
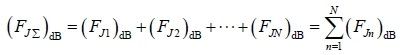
3.2抗干扰因子(EIF)
抗干扰因子FJ用来衡量各种抗压制性干扰措施的效果,它是指雷达采取抗干扰措施后信干比提高的倍数。如果雷达对某一种干扰有N种对抗措施,则总的抗干扰因子FJΣ为:

3.3雷达的相对自卫距离
当信干比为KJ1时,雷达与目标之间的距离称为自卫距离RJ0。而雷达的相对自卫距离,指的是雷达自卫距离RJ0与雷达所要求的作用距离Rm0的比值R"J0。它是能全面反映雷达抗压制性干扰的标准。设(Pav)e=Pav/Lt为雷达的有效发射功率,T0e=T0/Li为雷达的有效积累时间,雷达的有效发射能量为Ee,Ee=(Pav)eT0e,则R"J0可表示为:

式中PJ1为干扰功率密度。
3.4抗欺骗性干扰概率
雷达抗欺骗性干扰概率,是指雷达不被欺骗性干扰欺骗的概率,它是衡量雷达抗欺骗性干扰能力的标准。设侦察设备侦察出雷达信号的概率为p1,干扰机模拟雷达信号的概率为p2,雷达不能识别干扰信号的概率为p3,则雷达不被欺骗性干扰所干扰的概率为

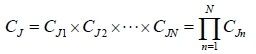
在多种欺骗性干扰同时作用时,雷达总的抗欺骗干扰的概率CJ为抗各种欺骗性干扰概率之积,可由下式表示:

4.结论
当前,电子技术的发展促使雷达干扰与抗干扰之间的对抗更加激烈。雷达的抗干扰需要对雷达各分系统采取合适的抗干扰措施才能提高雷达的整体抗干扰能力。同时,抗干扰技术需要与适当的战术相结合才能发挥更佳的效能。
如何成为一名优秀的射频工程师,敬请关注: 射频工程师养成培训
上一篇:4G,安捷伦测试测量大会引领行业创新
下一篇:闪亮太赫兹源

