HFSS中一个公式的物理意义
录入:edatop.com 阅读:
在ansoft HFSS中,Y表示的是容抗。在一个例子中
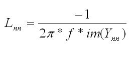
当计算完成后,输出一个变量是用以下的公式表示的:
这个公式中Lnn表示的是什么意义呢?
哪位大侠知道,望不吝赐教。
当计算完成后,输出一个变量是用以下的公式表示的:
这个公式中Lnn表示的是什么意义呢?
哪位大侠知道,望不吝赐教。
没有前后文如何理解?
看不明白为什么加负号,容抗不就是-j/(wC)吗?
申明:网友回复良莠不齐,仅供参考。如需专业解答,请学习本站推出的微波射频专业培训课程。

