求解拉普拉斯方程
录入:edatop.com 阅读:
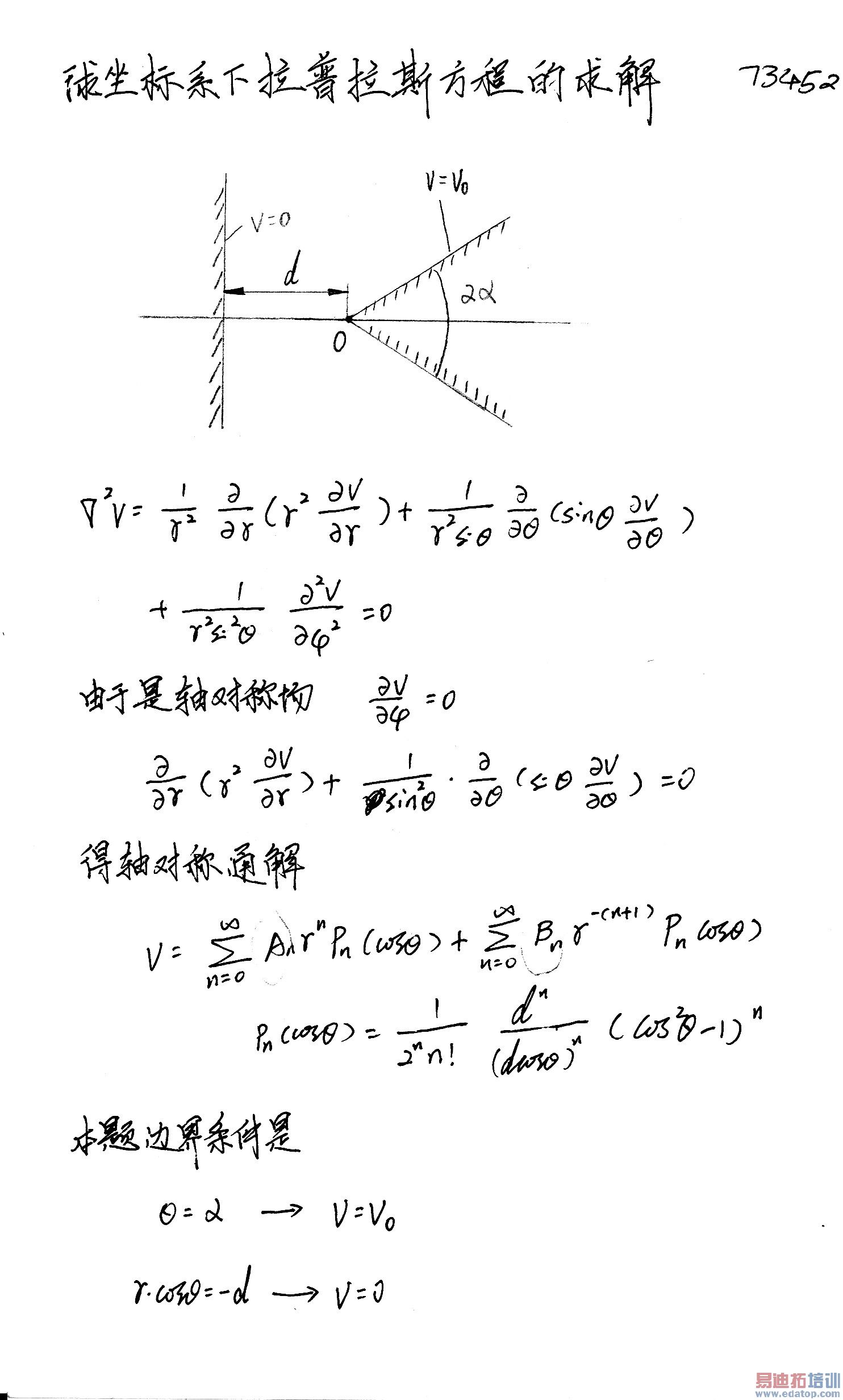
我在求解一个静电场的时候,需要解一个球坐标系下的二维拉普拉斯方程。现在已经查出了通解的表达式。但是在把两个边界条件带入来确定两个系数的时候,不会解了。没能够找出相应的系数。
请大侠指点指点。
问题在附件中
bow
请大侠指点指点。
问题在附件中
bow
<电磁场数学方法>上有
具体我也忘记了,刚才找了一下书,也找不到了
申明:网友回复良莠不齐,仅供参考。如需专业解答,请学习本站推出的微波射频专业培训课程。
上一篇:feed mechanism是指什么?
下一篇:共基极s参数的变换方法

