- 易迪拓培训,专注于微波、射频、天线设计工程师的培养
串扰和反射影响有多大?教你信号完整性分析
录入:edatop.com 点击:
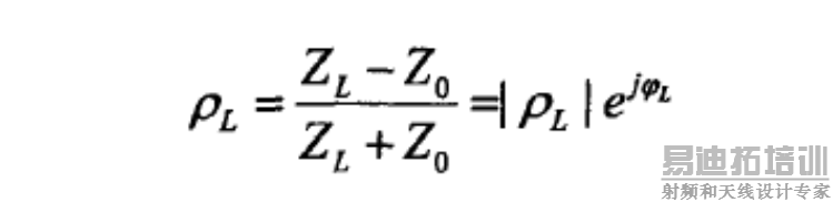
后续的反射率按照反射系数公式进行计算:

源端的反射率,是根据源端阻抗(25欧姆)和传输线阻抗(50欧姆)根据反射系数公式计算为-0.33;
终端的反射率,是根据终端阻抗(无穷大)和传输线阻抗(50欧姆)根据反射系数公式计算为1;
我们按照每次反射的幅度和延时,在最初的脉冲波形上进行叠加就得到了这个波形,这也就是为什么,阻抗不匹配造成信号完整性不好的原因。

由于连接的存在、器件管脚、走线宽度变化、走线拐弯、过孔会使得阻抗不得不变化。所以反射也就不可避免。

电压后者电流有变化,自然就会往外辐射电磁波。

串扰是指当信号在传输线上传播时,因电磁耦合对相邻的传输线产生的不期望
的电压噪声。
串扰是由电磁耦合引起的,耦合分为容性耦合和感性耦合两种。
容性耦合是由于干扰源(Aggressor)上的电压变化在被干扰对象(Victim)上
引起感应电流从而导致的电磁干扰;而感性耦合则是由于干扰源上的电流变化产生的磁场在被干扰对象上引起感应电压从而导致的电磁干扰。因此,信号通过一导体时会在相邻的导体上引起两类不同的噪声信号:容性耦合信号和感性耦合信号。
感性耦合:

容性耦合:


来源:信号完整性
如何成为一名优秀的射频工程师,敬请关注: 射频工程师养成培训
上一篇:经典模拟电路,值得珍藏
下一篇:开关电源经典问答集锦,太实用了

