- 易迪拓培训,专注于微波、射频、天线设计工程师的培养
十分透彻的电容去耦原理解释
电容器此时表现为电感性,因此“高频时电容不再是电容”,而呈现为电感。当时,
,
此时容性阻抗矢量与感性阻抗之差为 0,电容的总阻抗最小,表现为纯电阻特性。该频率点就是电容的自谐振频率。自谐振频率点是区分电容是容性还是感性的分界点,高于谐振频率时,“电容不再是电容”,因此退耦作用将下降。因此,实际电容器都有一定的工作频率范围,只有在其工作频率范围内,电容才具有很好的退耦作用,使用电容进行电源退耦时要特别关注这一点。寄生电感(等效串联电感)是电容器在高于自谐振频率点之后退耦功能被消弱的根本原因。图 5 显示了一个实际的 0805 封装 0.1uF 陶瓷电容,其阻抗随频率变化的曲线。

图 5 电容阻抗特性

电容的自谐振频率值和它的电容值及等效串联电感值有关,使用时可查看器件手册,了解该项参数,确定电容的有效频率范围。下面列出了 AVX 生产的陶瓷电容不同封装的各项参数值。
电容的等效串联电感和生产工艺和封装尺寸有关,同一个厂家的同种封装尺寸的电容,其等效串联电感基本相同。通常小封装的电容等效串联电感更低,宽体封装的电容比窄体封装的电容有更低的等效串联电感。
既然电容可以看成 RLC 串联电路,因此也会存在品质因数,即 Q 值,这也是在使用电容时的一个重要参数。
电路在谐振时容抗等于感抗,所以电容和电感上两端的电压有效值必然相等,电容上的电压有效值 UC=I*1/ωC=U/ωCR=QU,品质因数 Q=1/ωCR,这里 I 是电路的总电流。电感上的电压有效值 UL=ωLI=ωL*U/R=QU,品质因数 Q=ωL/R。因为:UC=UL 所以 Q=1/ωCR=ωL/R。
电容上的电压与外加信号电压 U 之比 UC/U=(I*1/ωC)/RI=1/ωCR=Q。电感上的电压与外加信号电压 U 之比 UL/U=ωLI/RI=ωL/R=Q。从上面分析可见,电路的品质因数越高,电感或电容上的电压比外加电压越高。

图 6 Q 值的影响
Q值影响电路的频率选择性。当电路处于谐振频率时,有最大的电流,偏离谐振频率时总电流减小。我们用 I/I0 表示通过电容的电流与谐振电流的比值,即相对变化率。 表示频率偏离谐振频率程度。图 6 显示了 I/I0 与ω/ω0关系曲线。这里有三条曲线,对应三个不同的 Q 值,其中有 Q1>Q2>Q3。从图中可看出当外加信号频率 ω 偏离电路的谐振频率 ω0时,I/I0 均小于 1。Q 值越高在一定的频偏下电流下降得越快,其谐振曲线越尖锐。也就是说电路的选择性是由电路的品质因素 Q 所决定的,Q 值越高选择性越好。
在电路板上会放置一些大的电容,通常是坦电容或电解电容。这类电容有很低的 ESL,但是 ESR 很高,因此 Q 值很低,具有很宽的有效频率范围,非常适合板级电源滤波。
当电容安装到电路板上后,还会引入额外的寄生参数,从而引起谐振频率的偏移。充分理解电容的自谐振频率和安装谐振频率非常重要,在计算系统参数时,实际使用的是安装谐振频率,而不是自谐振频率,因为我们关注的是电容安装到电路板上之后的表现。
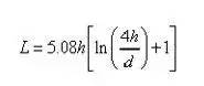
电容在电路板上的安装通常包括一小段从焊盘拉出的引出线,两个或更多的过孔。我们知道,不论引线还是过孔都存在寄生电感。寄生电感是我们主要关注的重要参数,因为它对电容的特性影响最大。电容安装后,可以对其周围一小片区域有效去耦,这涉及到去耦半径问题,本文后面还要详细讲述。现在我们考察这样一种情况,电容要对距离它 2 厘米处的一点去耦,这时寄生电感包括哪几部分。首先,电容自身存在寄生电感。从电容到达需要去耦区域的路径上包括焊盘、一小段引出线、过孔、2 厘米长的电源及地平面,这几个部分都存在寄生电感。相比较而言,过孔的寄生电感较大。可以用公式近似计算一个过孔的寄生电感有多大。
公式为

其中:L 是过孔的寄生电感,单位是 nH。h 为过孔的长度,和板厚有关,单位是英寸。d为过孔的直径,单位是英寸。下面就计算一个常见的过孔的寄生电感,看看有多大,以便有一个感性认识。设过孔的长度为 63mil(对应电路板的厚度 1.6 毫米,这一厚度的电路板很常见),过孔直径 8mil,根据上面公式得:

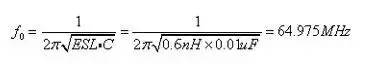
这一寄生电感比很多小封装电容自身的寄生电感要大,必须考虑它的影响。过孔的直径越大,寄生电感越小。过孔长度越长,电感越大。下面我们就以一个 0805 封装 0.01uF 电容为例,计算安装前后谐振频率的变化。参数如下:容值:C=0.01uF。电容自身等效串联电感:ESL=0.6 nH。安装后增加的寄生电感:Lmount=1.5nH。
电容的自谐振频率:

安装后的总寄生电感:0.6+1.5=2.1nH。注意,实际上安装一个电容至少要两个过孔,寄生电感是串联的,如果只用两个过孔,则过孔引入的寄生电感就有 3nH。但是在电容的每一端都并联几个过孔,可以有效减小总的寄生电感量,这和安装方法有关。
安装后的谐振频率为:

可见,安装后电容的谐振频率发生了很大的偏移,使得小电容的高频去耦特性被消弱。在进行电路参数设计时,应以这个安装后的谐振频率计算,因为这才是电容在电路板上的实际表现。
安装电感对电容的去耦特性产生很大影响,应尽量减小。实际上,如何最大程度的减小安装后的寄生电感,是一个非常重要的问题。
这一节就来讲讲另一种方法,从电源系统的角度进行去耦设计。该方法本着这样一个原则:在感兴趣的频率范围内,使整个电源分配系统阻抗最低。其方法仍然是使用去耦电容。
电源去耦涉及到很多问题:总的电容量多大才能满足要求?如何确定这个值?选择那些电容值?放多少个电容?选什么材质的电容?电容如何安装到电路板上?电容放置距离有什么要求?下面分别介绍。
-------------------------
目标阻抗(Target Impedance)定义为:

该定义可解释为:能满足负载最大瞬态电流供应,且电压变化不超过最大容许波动范围的情况下,电源系统自身阻抗的最大值。超过这一阻抗值,电源波动将超过容许范围。如果你对阻抗和电压波动的关系不清楚的话,请回顾“电容退耦的两种解释”一节。
对目标阻抗有两点需要说明:
1、目标阻抗是电源系统的瞬态阻抗,是对快速变化的电流表现出来的一种阻抗特性。
2、目标阻抗和一定宽度的频段有关。在感兴趣的整个频率范围内,电源阻抗都不能超过这个值。阻抗是电阻、电感和电容共同作用的结果,因此必然与频率有关。感兴趣的整个频率范围有多大?这和负载对瞬态电流的要求有关。顾名思义,瞬态电流是指在极短时间内电源必须提供的电流。如果把这个电流看做信号的话,相当于一个阶跃信号,具有很宽的频谱,这一频谱范围就是我们感兴趣的频率范围。
如果暂时不理解上述两点,没关系,继续看完本文后面的部分,你就明白了。
-------------------------
有两种方法确定所需的电容量。第一种方法利用电源驱动的负载计算电容量。这种方法没有考虑 ESL 及 ESR 的影响,因此很不精确,但是对理解电容量的选择有好处。第二种方法就是利用目标阻抗(Target Impedance)来计算总电容量,这是业界通用的方法,得到了广泛验证。你可以先用这种方法来计算,然后做局部微调,能达到很好的效果,如何进行局部微调,是一个更高级的话题。下面分别介绍两种方法。
方法一:利用电源驱动的负载计算电容量
设负载(容性)为 30pF,要在 2ns 内从 0V 驱动到 3.3V,瞬态电流为:

如果共有 36 个这样的负载需要驱动,则瞬态电流为:36*49.5mA=1.782A。假设容许电压波动为:3.3*2.5%=82.5 mV,所需电容量为C=I*dt/dv=1.782A*2ns/0.0825V=43.2nF
说明:所加的电容实际上作为抑制电压波纹的储能元件,该电容必须在2ns 内为负载提供1.782A 的电流,同时电压下降不能超过 82.5 mV,因此电容值应根据 82.5 mV 来计算。记住:电容放电给负载提供电流,其本身电压也会下降,但是电压下降的量不能超过 82.5mV(容许的电压波纹)。这种计算没什么实际意义,之所以放在这里说一下,是为了让大家对去耦原理认识更深。
如何成为一名优秀的射频工程师,敬请关注: 射频工程师养成培训
上一篇:电容电感在射频电路的作用
下一篇:画PCB时,一些非常好的布线技巧

