有空的过来看看这个怎么推到来的
录入:edatop.com 阅读:
以前推过这个公式的,这会儿看到了想推推,温故而知新,居然推不出来! 大家指点一下!
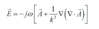
这个怎么从麦克斯韦结合标量电位和矢量磁位推导过来,我转了一圈没转过来!只能得到前面一个,后面那个怎么来的,还有下面第三个又是怎么来的!



这个怎么从麦克斯韦结合标量电位和矢量磁位推导过来,我转了一圈没转过来!只能得到前面一个,后面那个怎么来的,还有下面第三个又是怎么来的!



我也想知道这个是什么啊
这是麦克斯韦推导过来的。

剩下的就是带入麦克斯韦方程就行啦
真相是这样子的......

真相是这样子的......

申明:网友回复良莠不齐,仅供参考。如需专业解答,请学习本站推出的微波射频专业培训课程。
上一篇:添加线圈的时候new coil和new coil segment的区别是什么呢?怎么用呢
下一篇:ads仿真功分器的s参数图像的问题

