- 易迪拓培训,专注于微波、射频、天线设计工程师的培养
微型电网功率调节系统的四象限运行动态特性研究
摘要:本文主要研究一个与城市供电并联的微型电网在功率调节系统四象限运行条件下的动态特性,以城市供电系统、微电源、功率调节系统、静态负载、以及其他系统组件组成的系统为研究对象。首先建立系统组件的数学模型,利用Matlab/Simulink的SimPowerSystems模块进行模拟分析。结果表明:此功率调节系统能在不影响其他组件的情况下进行四象限输出控制,且该微型电网系统运行稳定,各电源运行也符合预期,为功率调节系统的设计提供重要参考。
微型电网是将一定区域内的负载与微型电源整合成可控制的系统以提供电力给用户。微型电网技术主要包括微汽轮机、燃料电池、风力机、太阳能光电、储能技术等,其特点包括即插即用、规模可变、余热发电、可在孤立和并联运行间平稳转换。此外,微型电网应能提供设备即插即用的功能,即系统内模块可任意变动位置而不需调整任何监测参数与保护设定阈值。微型电网孤立运行时,因可再生能源机组系统内大都含有变频器,除传统的过电流保护方式和保护协调观念需要调整外,分散式电源控制、电力潮流控制以及系统扰动下的卸载控制等,均需作相应的调整[1-2]。
本文主要研究一个与城市供电并联的微型电网在功率调节系统四象限运行条件下的动态特性,通过数学模型构建微型电网系统的系统结构模型、系统组件模型,然后利用MATLAB的SimPowerSystems模块对各模型进行动态特性模拟,所得结果可作为功率调节系统设计与应用的重要参考[3]。

1 微型电网系统的数学模型
1.1 状态空间表示法
状态空间法是利用一组首阶微分方程构建系统组件及整个系统的动态模型,此法可将组件模块化后进一步加以连接,如此可使研究的系统结构具有弹性且多元化。利用状态空间法,系统组件可表示为[4-5]:
(1)
式中,[x]是n维状态参数矩阵, [u]是m维输入矩阵,[A]、[B]分别为nxn维系数矩阵和nxm维控制矩阵,p 是微分算子。

假设与城市供电系统并联的微型电网由一套容量为68kW的微型汽轮机系统,一套容量为32kW的太阳能发电系统,一套容量为98kW的功率调节系统,静态负载以及其他组件构成。其中微型汽轮机系统由微型汽轮机、永磁式发电机、转换器和控制机构组成;太阳能系统由太阳能光板、转换器和控制机构组成;功率调节系统由蓄电池、转换器和控制机构组成。在一定程度上,各系统中的转换器和控制机构都是相似的。两组静态负载功率均为27.5kW,外加一组选择性负载,功率为19kW。图1为系统组件功率潮流,图中各组件的实功与虚功关系可表示为:
(2)
功率调节系统的四象限运行动态特性为:
(3)
式中,PMG,QMG为微型电网的实功率与虚功率,PMGT1,QMGT1为MPS的实功率与虚功率,PPV1,QPV1为PVPS的实功率与虚功率,PPCS,QPCS为PCS的实功率与虚功率,PL1,PL2,PL3,QL1,QL2,QL3为SL的实功率 与虚功率。
2 系统组件的数学模型
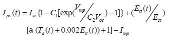
2.1 太阳光电系统模型

太阳能光电系统由许多太阳能电池经过串联或并联组成,太阳能电池由多个P-N结半导体组成,将光能转化成电能。如图2所示 ,用一个电流源表示太阳能模块的等效电路,其中电流源Iph为太阳能板经光照后产生的电流,Rs和RSH为材料内部的等效串联和并联电阻,Ipv,Vpv表示光电板输出的电流和电压,RL为外加负载。一般情况下,为简化分析将 Rs和RSH忽略不计,太阳能电池输出电流、电压的关系为[6-7]:
(4)
(5)
(6)
式中,Ipv,Isc分别为太阳能电池输出电流和短路电流,Voc,Vmp,Imp分别为太阳能电池开路电压,最大功率处的电压及电流,Ett,Est为太阳能日照强度和参考强度,α,β为太阳能电池温度系数和电压温度系数, Ta为环境温度[8]。
对于大部分微电网系统,风力发电与太阳能发电系统均具适和最大功率点追踪的控制策略。根据典型太阳能电池P-V曲线,最大功率追踪根据功率与电压的变化斜率来调整电压以追踪最大功率点。当dP/dVp>0时,电压Vp增加,当dP/dVp<0时,电压vp减少。图3为据此准则设计最大功率追踪控制器结构。<>

2.2 功率调节系统模型
本文使用的功率调节系统搭建在一个低压转换平台上,通过弹性与高模组化的电力电子结构提供较宽的频带特性。通过功率调节系统的宽频特性强化和提高智能电网的性能、品质及可靠度。本功率调节系统根据系统需求调节控制实功率和虚功率。在市网停电条件下,设定系统孤岛运行模式或关闭系统,继续为负载供电。当市电恢复供电后,功率调节系统重新并联,允许无缝连接到市电。而图4为一个功率调节系统实功率与虚功率控制策略示意图,包括转换器、直流连接界面、市电与耦合单元以及需量控制器。在此控制模式下,为设定值,通过这两个设定值,可使功率调节系统达到四象运行。微型电网在 固定功率模式下, 可由式(2),(3)求得。

2.3 微汽轮机模型
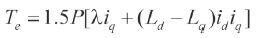
微型汽轮机模型与汽轮机模型相似,模块结构包括汽轮机和控制系统。控制系统包括速度控制、温度控制、加速度控制和燃料控制系统。通过改变汽轮机速度控制参数,并控制原动机稳定运转,使汽轮机在设定参数下运行。温度控制可预防原动机超温,当温度过高时温度控制传输信号至燃料系统降低燃料输入。加速度控制是当原动机启动或加速到额定转速时,传送控制信号至燃料系统使转速不会持续上升,燃料控制系统主要控制输送至汽轮机燃料的多少。
本文来源于中国科技核心期刊《电子产品世界》2016年第1期第60页,欢迎您写论文时引用,并注明出处。
汽轮机等效模型包括温度控制、速度控制、加速度控制以及燃料控制等四个主要控制系统。根据转速误差,通过比较速度控制信号、加速度控制信号及温度控制信号,选择最小值作为燃料控制信号,最后通过燃料控制系统控制输入燃料量。汽轮机一方面输出 ,另一方面产生废热,并通过温度控制系统得到温度控制信号。

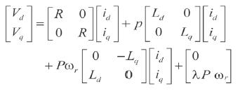
2.4 永磁发电机模型
永磁发电机常用于交流发电系统,如微汽轮机、风力发电机等。永磁体发电机原理与同步发电机原理相似,不同之处在于使用永磁体代替同步发电机的激励系统,并具有消除碳刷或滑环的好处。永磁体发电机动态方程可表示为:
(7)
(8)
式中Vd,Vq为d轴和q轴电压,id,iq为d轴和q轴电流,Ld,Lq为d轴和q轴漏电感,R为定子侧电阻,ωr为转子角速度,λ为永磁体磁通量,P为极。
3 动态特性模拟
3.1 SimPowerSystems模块
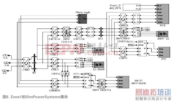
与市电并联的微型电网SimPowerSystems模块结构如图5所示,Zone1的SimPowerSystems模块如图6所示。
3.2 模拟顺序
图7为模拟时序图,0秒时所有系统组件均连接到系统,此时PCS在第Ⅰ象限运行,实功率为正,虚功率也为正。10~15秒时PCS运行在第Ⅳ象限,实功率为正,虚功率为负。15~25秒时PCS运行在第Ⅲ象限,实功率为负,虚功率为负。25~30秒时PCS运行在第Ⅱ象限,实功率为负,虚功率也为正。

3.3 模拟结果
图7为系统四象限参数运行模拟的时序图,图7(a)和图7(c)为具有相同功率输出的两条汇流排,差别在于69kV汇流排提供了较多的实功率给变压器。图7(g)为微型电网实功率在-90kW和30kW之间的变化情况,其值等于微电源、功率调节系统、以及负载功率的总和。图7(e)为在设定从输出变成输入时功率调节系统的实功率。图7(i)和图7(k)的实功率均为常数,这是因为这些组件的实功率并未受到功率调节系统即系统输出功率变动的影响。图7(b)和图7(d)为具有相同虚功率输出的两条汇流排,差别在于69kV汇流排提供了较多的虚功率给变压器。图7(h)为微型电网虚功率在-50kVAR 与 50kVAR之间的变化情况,其值等于微电源、功率调节系统、以及负载功率的总和。图7(f) 为在设定从输出变成输入时功率调节系统的虚功率。图7(j)和图7(l)的虚功率几乎为常数,这是因为这些组件的虚功率并未受到功率调节系统即系统输出功率变动的影响。

4 结论
本文探讨了一个与市电并联的微型电网系统在功率调节系统四象限运行情况下的动态特性。研究结果表明该功率调节系统能在不影响其他系统组件的情况下进行四象限输出控制;此微电网系统也能稳定运行,各种微型电源运行形态与预计完全符合,为功率调节系统设计与应用提供重要参考。
参考文献:
[1]J. Stevens. Development of sources and a test-bed for CERTS microgrid testing [J]. IEEE Power Engineering Society General Meeting, 2004, (2):2032-2033
[2]S. Krishnamurthy, T.M. Jahns, and R.H. Lasseter, The operation of diesel gensets in a CERTS microgrid, IEEE Power Engineering Society General Meeting Conversion and Delivery of Electrical Energy in the 21st Century, 2008
[3]I.J. Balaguer, Q. Lei, S. Yang, U. Supatti, F.Z. Peng, Control for Grid-Connected and Intentional Islanding Operations of Distributed Power Generation, IEEE Transactions on Industrial Electronics, 2011, 58(1):147-157
[4]周念成, 闫立伟, 王强钢. 光伏发电在微电网中接入及动态特性研究[J]. 电力系统保护与控制, 2010, 38(14): 119-127
[5]张超, 王章权, 蒋燕君, 等. 无差拍控制在光伏并网发电系统中的应用[J]. 电力电子技术, 2007, 41(7): 3-5
[6]J.A. Gow, C.D. Manning. Development of a Photovoltaic Array Model for Use in Power Electronics Simulation Studies [J]. IEEE Proceedings on Electric Power Application, 1999, 146(2): 193-200
[7]M.G. Villalva, J.R. Gazoli, E.R. Filho. Comprehensive Approach to Modeling and Simulation of Photovoltaic Arrays [J]. IEEE Transactions on Power Electronics, 2009, 24(5): 1198-2008
[8]L. Fangrui, D. Shanxu, L. Fei, L. Bangyin, K. Yong. A Variable Step Size INC MPPT Method for PV Systems [J]. IEEE Transactions on Industrial Electronics, 2008, (55): 2622-28
本文来源于中国科技核心期刊《电子产品世界》2016年第1期第60页,欢迎您写论文时引用,并注明出处。
射频工程师养成培训教程套装,助您快速成为一名优秀射频工程师...

