- 易迪拓培训,专注于微波、射频、天线设计工程师的培养
无线充电器技术和解决方案
摘要:在移动消费电子市场,无线功率传输越来越普遍。使用此技术,最终用户可方便地对其移动电话或其他便携设备中的电池充电。它也为设计人员提供了一种开发新型移动设备的新方式。无线充电联盟(WPC)发布了一种称为“Qi”的世界无线功率传输标准。它定义电感耦合类型以及功率发射器和功率接收器操作。本文将讨论基本无线功率传输理论;将简要介绍WPC的无线充电标准;并将提供分立式无线充电器解决方案。
基本理论
基于电感功率的无线功率传输的基本理论非常简单。众所周知,交变电场将产生磁场,而交变磁场也将产生电场。在发射器上,直流电已转换为交流电,并且产生交变电场。在接收器上,线圈获取交变磁场的电源,并将交流电转换为直流电用于输出负载。
发射器线圈和接收器线圈是分开的,具有大漏电感和小耦合因数,因此传输效率极低。要提高传输效率,必须采用补偿电路。常见方法是在发射器端和接收器端同时放置补偿电容,与发射器线圈和接收器线圈形成谐振电路以改进功率传输。图1显示两个补偿电路方法的拓扑。通常,电容放在传输端与发射器线圈形成串联谐振电路,而在接收器端有两种具有不同拓扑的结构类型。一种是与接收器线圈形成串联谐振电路的电容,另一种是与接收器线圈形成并联谐振电路的电容。
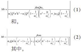
电压传递函数如下所示,


Cp和Lp是发射器端发射器线圈的串联电容值和电感值,而Cs和Ls是接收器端接收器线圈的串联或并联电容值及其串联电感值。M是互感。ω0 是谐振频率。ωn是标准化工作频率。n是两个线圈电感的比率。Q是品质因数。K是耦合因数。α是发射器串联电容和接收器电容的比率。R是输出负载。
等式(2)中未考虑线圈的串联电阻。如果更改电路模型,如图2,将改变串联谐振电路的电压传递函数,如下所示。



并联谐振电路上的等式与之类似。
有一些参数对无线充电器系统产生影响。在无线充电器应用中,多数系统接收器中使用串联谐振电路,因此我们仅讨论以下这种电路。
[p]品质因数
在等式(6)中,Q称为品质因数。发射器线圈或输出电阻改变会影响Q值。在无线充电器系统中,工作点设置在谐振频率上。发射器谐振频率和接收器谐振频率始终相同。因此谐振频率上的电压传递函数值(ωn=1)就是我们感兴趣的。图3 说明系统电压传递函数相对于Q值改变。

从该图中我们可以看出,当Q值变小时,谐振频率点的电压传递函数曲线变化更明显。在这种情况下,电压传递函数对频率极为敏感,无法轻松地将输出保持稳定。另一方面,当Q值变大时,谐振频率的曲线变化变慢,但电压传递函数变得极低。要获得相同的输出电压,我们必须在发射器上施加更大的输入电压和电流,而这会显著降低效率。因此我们需要仔细选择合适的Q值。和往常一样,范围为4至6之间。
耦合因数
在等式(7)中,k称为耦合因数。正如我们所知,发射器产生磁通量。到达接收器的磁通量越多,线圈耦合的越好。耦合因数用于测量此耦合度。耦合因数值介于0和1之间,其中0是指发射器线圈和接收器线圈是独立的,而1是指它们完美耦合。当线圈完美耦合时,发射器线圈产生的磁通量全部被接收器线圈收集。
图4显示耦合因数如何影响电压传递函数曲线。从该图中,可以发现有一个k值,其中电压传递函数达到峰值,这表示实现了最大性能。因此良好耦合的线圈对于获得更佳的系统性能至关重要。

WPC无线充电器标准
为设立一个称为“Qi”的短距离移动设备无线功率传输标准,创建了无线充电联盟。WPC标准定义低功率无线设备中的电感耦合工作方法以及功率发射器和接收器之间的通信协议。它还定义从发射器到接收器传输的最大功率为5W,发射器线圈与接收器线圈之间的典型距离为5mm。基本系统原理图如图5所示。依据WPC标准工作的任何设备都可与任何其他符合WPC标准的设备配合使用。在Qi标准V1.1中,添加了异物检测(FOD)功能。

功率发射器
WPC标准中有三种功率发射器类型:导向定位、具有移动线圈的自由定位以及具有线圈矩阵的自由定位如图6中所示。

使用导向定位,接收器线圈中心必须与发射器线圈中心对齐。否则,传输功率和传输效率将显著降低。因此,发射器线圈和接收器线圈中使用了两个磁体以便对准和会聚磁力线。
自由定位是较好的发射器类型,因为它使最终用户能够方便地进行无线充电。有两个子类型来实现此功能。一个是移动发射器线圈,另一个是发射器线圈矩阵。在第一种类型中,当接收器放在发射器表面时,发射器通过移动线圈与接收器线圈对齐,然后传输功率。在第二种类型中,发射器线圈由线圈矩阵形成。当接收器放在发射器上时,将会激活接收器线圈周围的一个或多个线圈,并向接收器传输功率。
功率发射器有一个DC或AC块,例如,一个半桥连接至串联谐振电路。Cp和Lp参数及输入电压因发射器不同而异。DC至AC开关的工作频率在110kHz时为正常,为控制功率可能会变为205kHz。谐振回路也用于优化功率传输。
功率发射器也有一个通信块以解调接收器的功率传输控制信息。其由电压或电流检测电路形成。
功率接收器
功率接收器通常是便携设备,其硬件设计比发射器更简化。通常包括四个部件:功率提取块、全桥整流电路、电压调节块和通信控制块。
功率提取块由包括接收器线圈(Ls)和串联谐振电容(Cs)的串联谐振电路组成。谐振电路用于优化功率接收。并联电容提供并联谐振电路用于检测接收器。
全桥整流器用作AC至DC电路,将接收波转换为稳定电压。电压调节块为DC至DC电路,将较高的接收电压转换为负载所需的电压。通信控制块用于将功率控制信息(如控制错误包)传输至功率发射器,以调节功率传输操作点或功率发射器的其他状态。
开放的沟通
在WPC标准中定义的发射器和接收器之间的通信为单向通信。通信方向是从接收器到发射器。功率接收器通过更改其阻抗(如电阻或电容)调节功率量,此操作将导致发射器线圈电流或线圈电压定期改变。发射器可检测线圈电流或线圈电压变化,用于解调通信信息。该标准定义发射器线圈电流幅度的最小幅度差,或逻辑高电平和逻辑低电平之间的线圈电压。分别为15mA和200mV。
WPC标准还定义通信中的数据格式。在每次数据传输中,将传输一个数据包。一个数据包由一个用于位同步的前同步码(11位以上1)、指明数据包类型的一字节消息头、消息信息(1~27字节)和一个检验和字节组成。一个数据字节为11位串行格式。此格式由一个位起始位、八个数据位、一个校验位和一个位停止位组成。起始位为零。数据位的顺序从最低有效位开始。校验位为奇数,停止位为一。数据位采用差分双相码编码,其速度为2Kbps。数据格式如图7所示。

功率传输系统控制
从功率发射器到功率接收器的功率传输包括WPC标准中定义的四个阶段。它们是选择阶段、Ping阶段、标识和配置阶段以及功率传输阶段。各阶段之间的关系如图8所示。
选择
在此阶段,功率发射器检测其表面上是放置物体还是移除。功率发射器可通过许多方法实现此功能。如果功率发射器检测到一个或多个物体,它应尝试找到这些物体并区分潜在功率接收器和异物。在某种情况下,功率发射器应尝试选择一个主单元和一个功率接收器用于功率传输。如果功率发射器选择一个主单元和一个功率接收器,则应进入Ping阶段。另一方面,如果功率传输器未识别潜在功率接收器或时间超时,则将进入待机工作模式。
[p]Ping
在Ping阶段,功率发射器应执行数字Ping。它检查潜在功率接收器是否为功率接收器或功率接收器是否需要功率传输。因此功率发射器为主线圈供电时间最长达65ms。功率接收器必须在此时间内通过负载调制回应。完成此操作后,系统将进入下一阶段,即标识和配置阶段。如果未完成,系统应返回上一阶段,即选择阶段。
标识和配置
在标识和配置阶段,功率发射器应能识别功率接收器,而功率接收器应传输配置信息,如功率接收器的基本设备标识符、功率接收器应提供给其整流器输出、功率发射器的最大功率量。功率发射器接收此信息并调节工作点,然后进入功率传输阶段。如果功率发射器因任何原因无法从功率接收器正确接收识别和配置信息,如功率接收器无法发送数据包或功率发射器无法解调正确信息,功率发射器应返回上一阶段,即选择阶段。
功率传输
在功率传输阶段,功率发射器将向功率接收器提供持续功率,并响应从功率接收器接收的控制数据,调节功率传输工作点。在功率传输阶段,功率发射器应监控功率传输参数。如果任何参数超出限制,将中止功率传输并返回选择阶段。最后,从功率接收器接收了终止传输数据包时,功率发射器将终止功率传输。例如,当电池满电时,功率接收器无需再对电池充电。它应将终止功率传输数据包信息发送至功率发射器,以终止功率传输。然后,系统将返回选择阶段。它将保持在前三个阶段,直到功率发射器上放置新的功率接收器或更改了配置信息。
分立式无线充电器解决方案
我们可以轻松设计一个具有一些分立式设备的无线充电器系统,其与以上所示的Qi标准兼容。图9显示其中一个无线充电器分立式解决方案。

在发射器端,微控制器单元(MCU)用于控制发射器的整个功能。MCU生成脉宽调制(PWM)波以驱动栅极驱动器。PWM的频率和占空比由MCU控制。MCU根据从接收器接收的错误控制数据包控制这两个参数。FAN73932为半桥栅极驱动器,它将接收的矩形波转换为两个非重叠信号,以驱动低端和高端MOSFET。DC至AC功能由此设备和两个N-MOSFET实现。发射器线圈由AC波驱动。串联电容用于与发射器线圈形成一个串联谐振电路,以实现更好的功率传输性能。功率可以此方式传输。FAN8303为DC-DC转换器,为MCU电源提供5V电压。另一部分为通信部分。电容用于从线圈获取电压,并将此电压发送至MCU ADC以获取通信信息。我们也可使用感测电阻和电压放大器来检查发射器线圈的电流变化。
在接收器端,也采用MCU来控制接收器的所有操作。具有接收器线圈的串联谐振电路由电容构成。当接收器线圈放在发射器线圈上时,我们可在此串联谐振电路的末端获得AC电压。AC至DC功能由具有两个N-MOSFET和两个二极管的全桥整流器实现。DC电压在此电路输出端获取。该电压可通过调节器电容使其稳定。此电压通过DC-DC转换器(FAN8303)传输,在FAN8303设备的输出端获取稳定的5V,用于MCU电源。MCU上电时,它控制两个MOSFET,以便与发射器通信。整个无线系统采用此方式配置。MCU将在完成正确配置后打开输出开关。输出电压也可用于对便携设备充电。充电电流和输出电压由MCU监控,以了解何时需要终止充电。
在软件方面,图10显示无线充电器发射器和接收器的简要流程图。

通过此类无线充电器系统,系统可获取5W充电电源,效率约为69%。
射频工程师养成培训教程套装,助您快速成为一名优秀射频工程师...
天线设计工程师培训课程套装,资深专家授课,让天线设计不再难...
上一篇:三极管9013管脚
以及参数
下一篇:基于PWM的微型高压电源设计

