- 易迪拓培训,专注于微波、射频、天线设计工程师的培养
1200VIGBT―性能优化的新一代功率半导体器件
这三款优化的芯片是:Inom=10-300A,具备快速开关性能,可用于低功率模块的IGBT4-T4;Inom=150-1000A具备较好的开关性能和导通特性,可用于中等功率模块的IGBT4-E4; Inom>900A,具备软化开关性能,可用于高功率模块的IGBT4-P4。本文主要介绍低功率和中功率版本的芯片。
衡量新一代芯片开发是否成功的两个标准当然是看其能否达到较低的静态和动态损耗。但IGBT4技术还有另一个优点,它将芯片的最高允许工作温度提高了25℃,达到Tvjop=150℃。表1对比了新型IGBT4和其上一代IGBT3的电性能。

表1:英飞凌IGBT3和 IGBT4的比较。
新一代1200V IGBT4功率半导体的最高工作温度可达Tvjop=150℃,而上一代IGBT3的工作温度最高只能到125℃。150℃的最高工作温度是由英飞凌在其第三代600V功率半导体中首次实现的。允许器件达到这一更高的工作温度,就有可能允许器件在同样的散热条件下通过全温操作达到更高的输出功率。
此外,从图1也可以看出,组装技术的优化也对功率循环(power cycling)有显著改善。这就确保产品至少能达到同样的功率循环预期寿命,同时由于提高工作温度而达到更高的输出电流,或者用户可以选择保持输出功率,但延长产品的使用寿命。

图1: 1200V标准模块的功率循环可靠度与ton≈ 1s、I≈Inom下采用IGBT4技术的EconoPACK模块的典型使用寿命图。
IGBT的性能
然而,仅仅降低损耗还不够,器件本身的开关特性也是一个很重要的因素。
由于IGBT3系列的软化度(softness)已经足以满足几乎所有低功率和中等功率应用,所以IGBT4开发的另一个目标就是使其软化度可以与相应的IGBT3系列产品相媲美。
图2给出了开关损耗与外部闸电阻的函数关系。其中,关断损耗在很宽的闸电阻范围内都与Rg无关,这是由IGBT的固有开关造成的。

图2:关断损耗与闸电阻的关系(Tvj=125℃, Vce=600V, Ic=300A, L=30nH)。
杂散电感与电流梯度一起影响导通和关断时的电压特性:dv=L*di/dt,因此如果L更大,关断时的过压就会更大,从而导致如表2所示的更大损耗。

表2:Tj=125℃下 300A/600V中等功率IGBT4-E4 的损耗与杂散电感的关系。
不仅关断损耗,IGBT的软化度也对闸电阻相当敏感。在标称电流条件下对开关性能进行比较,它是DC母线电压(link voltage)的函数,如图3和图4所示。

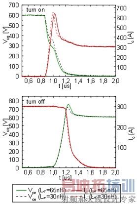
图3:Tj=25℃; L=30nH下低功率300A IGBT的关断情况。

图4:Tj=25℃; L=65nH下中等功率300A IGBT的关断情况。
从软化度来说,IGBT4-T4比低功率的IGBT3-T3芯片稍软,IGBT-E4也比中等功率的IGBT3-E3稍软。这两个系列的设计目标就是E系列的产品要明显软于T系列。因此,我们可能以更高的DC母线电压关断一款E4芯片和/或将其连接到更大的电感上。
更重要的是,增大L可以加快关断过程。因此,被测300A IGBT4-E4在DC母线杂散电感为65nH,DC母线电压为900V时所表现出的软开关特性无疑就更可靠(图4)。图5所示为增大电感如何导致在电流增大的边缘处产生电压降。

图5:Tj=125℃ 下300A中等功率IGBT4芯片的开关特性与杂散电感的关系。
在为一种特殊的应用选择一款最佳的IGBT时,还必须考虑二极管的特性与杂散电感的关系。上述例子中所用的射极控制高效二极管的开关损耗与软化度都表现得与增大的杂散电感几乎无关,射极控制高效二极管的技术基础是成熟的射极控制技术。
然而,如果母线电压较高,杂散电感也变大,那么就有必要在导通时通过增大外部导通闸电阻来降低开关速度,以便实现软化的二极管开关。但外部闸电阻增大会导致导通损耗增大。而杂散电感的增大会降低IGBT和二极管的软化度,这也为所有IGBT模块的进一步优化提供了可能。
[p] 利用IPOSIM得到的计算结果
为了评估这些新元件在逆变器模式下的工作情况,我们用计算工具IPOSIM对其损耗特性进行了计算。IPOSIM 只需要静态、动态损耗,热数据和环境温度即可计算。方案之一是计算最大可能的RMS电流与结温和开关频率的函数关系。图6所给出的62mm半桥IGBT模块的计算结果显示,直接与上一代产品相比,125℃下新系列的芯片得到了更大的输出电流。而且,若能让芯片工作在应用允许的更高结温150℃下,那么同一器件的输出电流还有可能提高17%。

图6:IPOSIM吸热Rth= 0,1K/W; Tambient= 40℃; cos()= 0,8下计算得到的 300A半桥模块的最大RMS输出电流与600V DC母线电压开关频率的关系。
接下来,我们通过进一步的计算比较了新老两代器件。首先,我们计算了E3器件在125℃结温和8kHz开关频率下的最大Irms。接着,我们研究了同一个逆变器在使用所有其他芯片版本时的输出电流。图7所示为我们总结的结果。E4模块的损耗约比E3低3%,与T3相当。而T4的损耗则比E4降低了约3%。

图7:IRMS=214,2A, Rth(heatsink) =0,1K/W; f=8kHz; Tambient=40℃; cos()= 0,8下300A IGBT与射极控制高效二极管共同使用时计算得到的损耗和温度结果。
本文小结
我们对新一代功率半导体器件进行了优化,并通过将工作温度提高到Tvjop=150℃来提高逆变器的输出功率。在Tvjop=125℃下,新一代英飞凌IGBT器件比其前一代产品的总损耗降低了多达6% 。这就意味着提高结温确实会进一步增大逆变器的盈余。
此外,对组装技术的优化又进一步确保了器件的使用寿命预期不变,同时由于工作温度提高而多获得了约17%的输出电流,或可由客户选择保持输出功率不变而延长器件的使用寿命。
新一代半导体器件将采用新型封装。有了这些改良,新一代IGBT4将为各类应用提供一种极佳的选择。
作者:Wilhelm Rusche
销售工程师
info.power@infineon.com
英飞凌技术公司
射频工程师养成培训教程套装,助您快速成为一名优秀射频工程师...

