- 易迪拓培训,专注于微波、射频、天线设计工程师的培养
一种用于白光LED驱动的电荷泵电路设计
0 引 言
目前用于白光驱动的升压型电路主要有电感型DC-DC电路和电荷泵电路。电感型DC-DC电路存在EMI等问题,而电荷泵电路结构简单,EMI较小,得到了广泛的应用。
白光LED驱动的电荷泵主要有两种类型:电压模式和电流模式。相对于电压模式可能造成每个LED亮度不匹配的缺点,电流模式每路单独输出恒定电流,使亮度可以较好地匹配,而且不需要外围平衡电阻,大大节省了空间。
本文设计了一种用于白光LED驱动的电流型电荷泵电路。采用1.5倍压升压,比传统的2倍压升压模式提高了效率,并采用数字调光方式,可提供32级灰度输出,满足不同场合的要求。系统结构如图1所示。主要可分为以下部分:带隙基准电路,软启动电路,振荡器,1.5倍压电荷泵,数字调光模块。当EN/SET端输入高电平时,芯片启动,Vin经过1.5倍压电荷泵升压,使输出电压稳定在5 V,如果EN/SET端输入一串脉冲后置高电平,则数字调光模块可记录下脉冲个数,然后转换成不同的输出电流,实现调光功能。

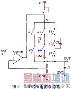
1 1.5 倍压电荷泵原理
1.1 基本原理
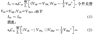
1.5倍压电荷泵 原理如图2所示,其基本控制思想如下:OSC通过驱动电路,控制S1~S7的导通与关断。时序如下:第一时刻,开通S1、S4、S6,Vin对电容C1充电,C2短接,使VC1=V1,VC2=0;第二时刻,关闭S1、S4、S6,开通S2、S3、S5、S7,C1对C2充电,使VC1=VC2=1/2 V1,最后加上V1对C3充电,周而复始,VCUT经过电阻分压,与基准电压做比较,控制上端MOS管的导通电阻,改变充电回路的RC充电常数,最终使输出稳定在5 V。图3为控制脉冲时序图,其中D1为S1的驱动信号,低有效;D2为S4、S6的驱动信号,高有效;D3为S2、S3、S5、S7的驱动信号,低有效。为了防止时钟馈通,驱动电路中包含了非交叠时钟电路。


1.2 实际电路设计
整个开关管网络由5个PMOS管S1、S2、S3、S5、S7及2个NMOS管S4、S6组成,如图4所示。以P管S1和N管S4为例,计算开关管的宽长比。根据版图设计规则的要求,单个管子的宽长比W/L可以设定为2.8μm/0.6μm。假设S1的宽长比为x(W/L),S4的宽长比为y(W/L)。本设计采用CSMC0.6 μm工艺,根据工艺及设计要求,V1=3.3 V,unCOX=50μA/V2 VTHN=0.7 V,|VTHP|=1 V,2up=un,因为


其它管子的宽长比也可以同理求得。由于流过开关管的电流比较大,开关管的宽长比很大,一般采用晶体管并联的形式,在版图上通常以waffle的结构实现。
如果开关管的衬底未与源端相接,则会产生衬底偏置效应,使开关管产生阈值损失,导致电荷泵电压无法升至设定值。如图4所示,开关管S1、S3、S4、S5、S6的源漏端能比较容易的判断出来,S2、S7的两端电压高低未定,因此如果处理不妥当,会引起衬底偏置效应,本设计采用了一种方式,比较好地解决了这个问题。通过一个比较器对V1和Vout进行比较,如果Vout>V1,则让S2、S7的衬底端接Vout端,如果Vout


2 调光功能实现
越来越多应用场合希望白光LED驱动器能够支持LED光亮度的调节。目前调光技术主要有两种:PWM调光、数字调光。PWM(脉宽调制)调光方式是一种利用宽、窄不同的数字式脉冲,反复开关白光LED驱动器来改变输出电流,从而调节白光LED的亮度。但需要一个专用PWM口,同时会产生人耳听得见的噪声。本设计采用一种新型的数字调光技术。相比PWM控制有明显的优点:将时序信号存储在内部的寄存器中,使数据寄存器输出一连串的控制信号,如果需要改变白光LED的亮度,则重新通过EN/SET对ROM进行修改即可,不需要一直给EN/SET连续的PWM信号来控制白光LED的亮度,这个特性大大减轻了微处理器的负担,也减少了噪声。
其工作原理如下,EN/SET的第一个上升沿脉冲开启IC并且初始化设置LED电流到最低的549 μA。当最终的时钟序列输入为想得到的亮度级别时,EN/SET引脚维持高电平来维持装置输出电流在程序设置的级别。当EN/SET引脚置低TOFF=480μs以后,装置关闭。整个调光模块可分为四大部分:延时控制,计数器,ROM,恒流源。
(1) ROM与恒流源
白光LED的亮度和通过它的电流成正比。本设计采用并联恒流源的方式,最大输出为20 mA,亮度分为32个等级。如图7所示。ROM总共为8块,组成32×8 bit容量。恒流源由PMOS管组成,由电荷泵输出的5 V电源供电,每个恒流源icell电流为19.6μA。恒流源具有使能端,根据ROM中的数据决定该恒流源是否有效,其中ROM输出"0"为该恒流源有效,"1"为该恒流源无效。

以第5级亮度为例,如图8所示,EN/SET端输入5个脉冲后保持高电平,经过减数计数器计数输出Q4~Q0数据为"11011",ROM输出×7~×0数据为"11110100",即×3,×1,×0所接恒流源有效。输出电流为:
icell×32+icell×8+icell×4=0.863 mA
表1列出了32级调光×7~×0的数据及对应输出电流。

数字调光部分的仿真波形如图9所示,32个脉冲为一个循环。

(2) 数字延时
本设计设置了如下功能,如果EN端输入低电平时间超过480 us,则装置关闭。其原理如图10所示,其中IN为EN进行脉冲整形后得到的波形,时序与EN相同。IN端输入高电平时,PMOS管M3导通,VDD对C1进行充电,使NMOS管M5导通,施密特触发器输入被拉低,OUT端输出低电平,芯片正常工作。当IN端输入低电平时,M3截止,C1通过电流源M2进行放电,使M5截止,施密特触发器输入被拉高,OUT端输出高电平。放电时问由C1的电容值和放电电流决定。仿真波形如图11所示。在IN端输入低电平超过478 μs后,OUT端输处高电平,使芯片关闭。


3 振荡器
本文设计一个600 kHz定频率电流控制振荡器,原理如图12,首先假设Q端为"0",则PMOS管M1导通,电流源通过M1向C1充电,同时PMOS管M3导通,R1无效,此时比较器反相端电压VTH=VDD-R2I3,等C1两端电压略大于VTH时,比较器输出高电平,使Q端变为"1",C1通过NMOS管M2进行放电,同时M3截止,R1与R2串联,此时比较器反相端电压VTL=VDD-(R1+R2)I3,等到C1两端电压略小于VTL时,比较器输出又发生翻转,周而复始。波形通过4个反相器的整形,输出600 kHz的方波。设I1为充电电流,I2为放电电流,T1为充电周期,T2为放电周期,则振荡器的频率为:

调节充放电电流,使I1=I2=IC,则振荡频率可表示为:![]()
式中:IC为充放电电流。图13为振荡器输出及C1电容上的电压仿真波形。
该电荷泵还包括带隙基准电路,温度保护电路,软启动电路等等,限于篇幅,在此不作累述。

4 结 论
本文设计了一个用于白光LED驱动的电流型电荷泵,周边只使用3个小的陶瓷电容器,可驱动4个白光LED,单路最大输出电流20 mA。与电压型电荷泵相比,不同LED之间亮度匹配较好,由于不需要镇流电阻,因此节省了面积。电路采用1.5×分数倍频模式,效率可达93%。具有32级数字调光功能,可以满足不同需要。根据CSMC 0.6 μm工艺,通过Cadence Spectre软件进行了仿真,仿真结果表明,该电路满足设计要求,具有较广阔的应用前景。
射频工程师养成培训教程套装,助您快速成为一名优秀射频工程师...
天线设计工程师培训课程套装,资深专家授课,让天线设计不再难...
上一篇:突破新兴高效能电源要求上的限制
下一篇:2007年及以后的电源驱动系统集成

