- 易迪拓培训,专注于微波、射频、天线设计工程师的培养
基于PIC16F877A的混沌信号发生器的设计
录入:edatop.com 点击:
混沌科学得到广泛研究应该得益于20世纪60年代洛伦兹(Lorenz)的"蝴蝶效应"。混沌信号具有初值敏感性、内随机性、遍历性和有界性等特点,近几年得到深入的研究和探索,并开始广泛应用于信号处理、保密通信、生物医学等领域,特别是在医疗器械的应用,有着重大的突破。科学研究表明:生物体是一个高度的非线性系统,而非线性系统的运动通常表现出混沌现象,人体的生理活动呈现众多的混沌现象。所以,研究混沌信号源的产生对生物医学的研究有着极其重要的意义。
1 混沌信号产生的数学建模与仿真
1.1 混沌信号系统数学模型的选用
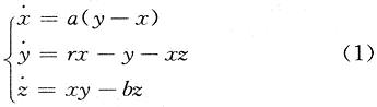
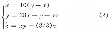
该设计中,考虑到人体生理活动本身也是一个混沌系统,主要是要产生一个具有混沌特性的信号源,来调节人体的生理活动,因此,该设计采用最经典的Lorenz混沌模型来产生信号。其数学模型如式(1)所示。当σ=10,b=8/3,r=28时系统进入混沌状态。此时Lorenz方程可表示为式(2)。
Simulink是Matlab软件的一个附加组件,为用户提供了一个建模和仿真的工作平台,它采用模块组合的方法来创建动态系统的计算机模型,其重要的特点是快速、准确。对于比较复杂的非线性系统,效果更为明显。其用户交互接口是基于Windows的模型化图形输入,即用户只需要知道这些模块的输入/输出和模块的功而不必考察模块内部是如何实现的,通过对这些基本模块的调用,再将它们接起来就可以构成所需要的系统模型(以.mdl文件进行存取),进而进行仿真与分析。在Matlab/Simulink环境下创建仿真模型,如图1所示,运行仿真后,可得混沌系统时域波形以及相轨迹图仿真结果,如图2所示。
基于最经典的Lorenz混沌方程,用输出电压U,W代替Lorenz混沌系统中的两个变量x,z;利用单片机PIC16F877A软件编程方法产生二路数字混沌信号,再经D/A转换成模拟混沌信号、电压放大后与低频信号混频、调制,再进行功率放大,从而得到可应用于生物医学的混沌信号源。具体框图如图3所示。
混沌信号的产生方法很多,可以利用模拟元件进行产生模拟混沌信号,也可用采用单片机或DSP等芯片,利用软件方法产生数字混沌信号。由于数字方法具有保密性好、电路简单、信号产生稳定等优点,加上PIC单片机的硬件系统设计简洁,指令系统设计精练,故该电路采用PIC16F877A单片机作为主芯片,电路如图4所示。系统时钟采用标准的4 MHz的晶体振荡方式XT,复位电路采用MCLR外接低电平信号进行人工复位,单片机I/O端口B和C分别输出混沌数字信号。
由于混沌信号要与低频音乐信号进行混频、AM调制,故数字混沌信号必须进行数/模转换,电路中采用DAC0832进行D/A转换,如图5所示。
2.3 电压放大电路
由于PIC产生的信号比较微弱,必须进行电压放大,采用LM386进行电流一电压转换和电压放大,如图6所示。信号通过U5实现电流一电压转换电路,通过RP2电位器进行取样,然后经U6进行电压放大,输出送至后一级电路。
[p]
2.4 调制电路
由于音乐旋律本身也是一种混沌信号,该设计主要是利用从PIC16F877A产生的混沌高频信号和音乐语音信号、极低频信号进行调制,得到混沌音乐信号,送至调制器作为医疗器械的信号源,推动输出装置。
2.5 功率放大电路
调制后的信号功率比较小,必须经过功率放大以驱动负载,可以采用三极管或CMOS场效应管进行功率放大。
3 基于PIC16F877A的混沌信号源的软件设计
PIC16F877A芯片的主程序流程如图7所示。
4 混沌信号发生器的调试效果
为了验证混沌信号源输出信号的正确性,根据混沌信号发生器电路板的布线结果进行元件安装、调试,用信号器进行观察。将音乐信号、极低频信号加载到混频器,与PIC16F877A产生的混沌信号进行混频,送至调制器进行调制,经功率放大后,调制混沌信号U的输出结果(u-t)如图8所示。从输出结果可以看出信号明显具有混沌特性。这说明,输出的混沌调制信号是正确的。
混沌是继相对论、量子力学之后的20世纪的第三次革命,近几年得到广泛的应用。研究混沌信号的产生、基本特征以及在生物医学的应用将会成为未来主要的前沿研究方向,包括心脏混沌控制、脑电信号混沌控制等,而所有这些研究均是基于非线性混沌信号和生物体混沌态的控制,有待人们进一步探索、发展。 (发布者:chiying)
1 混沌信号产生的数学建模与仿真
1.1 混沌信号系统数学模型的选用
该设计中,考虑到人体生理活动本身也是一个混沌系统,主要是要产生一个具有混沌特性的信号源,来调节人体的生理活动,因此,该设计采用最经典的Lorenz混沌模型来产生信号。其数学模型如式(1)所示。当σ=10,b=8/3,r=28时系统进入混沌状态。此时Lorenz方程可表示为式(2)。


Simulink是Matlab软件的一个附加组件,为用户提供了一个建模和仿真的工作平台,它采用模块组合的方法来创建动态系统的计算机模型,其重要的特点是快速、准确。对于比较复杂的非线性系统,效果更为明显。其用户交互接口是基于Windows的模型化图形输入,即用户只需要知道这些模块的输入/输出和模块的功而不必考察模块内部是如何实现的,通过对这些基本模块的调用,再将它们接起来就可以构成所需要的系统模型(以.mdl文件进行存取),进而进行仿真与分析。在Matlab/Simulink环境下创建仿真模型,如图1所示,运行仿真后,可得混沌系统时域波形以及相轨迹图仿真结果,如图2所示。


基于最经典的Lorenz混沌方程,用输出电压U,W代替Lorenz混沌系统中的两个变量x,z;利用单片机PIC16F877A软件编程方法产生二路数字混沌信号,再经D/A转换成模拟混沌信号、电压放大后与低频信号混频、调制,再进行功率放大,从而得到可应用于生物医学的混沌信号源。具体框图如图3所示。

混沌信号的产生方法很多,可以利用模拟元件进行产生模拟混沌信号,也可用采用单片机或DSP等芯片,利用软件方法产生数字混沌信号。由于数字方法具有保密性好、电路简单、信号产生稳定等优点,加上PIC单片机的硬件系统设计简洁,指令系统设计精练,故该电路采用PIC16F877A单片机作为主芯片,电路如图4所示。系统时钟采用标准的4 MHz的晶体振荡方式XT,复位电路采用MCLR外接低电平信号进行人工复位,单片机I/O端口B和C分别输出混沌数字信号。

由于混沌信号要与低频音乐信号进行混频、AM调制,故数字混沌信号必须进行数/模转换,电路中采用DAC0832进行D/A转换,如图5所示。

2.3 电压放大电路
由于PIC产生的信号比较微弱,必须进行电压放大,采用LM386进行电流一电压转换和电压放大,如图6所示。信号通过U5实现电流一电压转换电路,通过RP2电位器进行取样,然后经U6进行电压放大,输出送至后一级电路。

[p]
2.4 调制电路
由于音乐旋律本身也是一种混沌信号,该设计主要是利用从PIC16F877A产生的混沌高频信号和音乐语音信号、极低频信号进行调制,得到混沌音乐信号,送至调制器作为医疗器械的信号源,推动输出装置。
2.5 功率放大电路
调制后的信号功率比较小,必须经过功率放大以驱动负载,可以采用三极管或CMOS场效应管进行功率放大。
3 基于PIC16F877A的混沌信号源的软件设计
PIC16F877A芯片的主程序流程如图7所示。

4 混沌信号发生器的调试效果
为了验证混沌信号源输出信号的正确性,根据混沌信号发生器电路板的布线结果进行元件安装、调试,用信号器进行观察。将音乐信号、极低频信号加载到混频器,与PIC16F877A产生的混沌信号进行混频,送至调制器进行调制,经功率放大后,调制混沌信号U的输出结果(u-t)如图8所示。从输出结果可以看出信号明显具有混沌特性。这说明,输出的混沌调制信号是正确的。

混沌是继相对论、量子力学之后的20世纪的第三次革命,近几年得到广泛的应用。研究混沌信号的产生、基本特征以及在生物医学的应用将会成为未来主要的前沿研究方向,包括心脏混沌控制、脑电信号混沌控制等,而所有这些研究均是基于非线性混沌信号和生物体混沌态的控制,有待人们进一步探索、发展。 (发布者:chiying)
射频工程师养成培训教程套装,助您快速成为一名优秀射频工程师...
天线设计工程师培训课程套装,资深专家授课,让天线设计不再难...
上一篇:中大尺寸液晶电视AC-DC电源架构及最新LED背光方案
下一篇:适合小型风力发电系统电流和电压测量的微型化隔离放大器
射频和天线工程师培训课程详情>>

