- 易迪拓培训,专注于微波、射频、天线设计工程师的培养
高性能中频采样系统的设计与实现
中频采样广泛应用于软件无线电、数字中频接收机、基站系统等通信领域。高性能的中频采样系统往往要求具备高信噪比、灵活可变的采样频率,支持高速高精度采样。根据以上要求。这里设计并实现了一种高性能中频采样系统。
1 系统总体设计
图1为中频采样系统总体设计框图。由图1可知,该系统主要由驱动电路、A/D转换电路、时钟电路3部分组成。

1.1 驱动电路
信号A/D转换前往往需要进行以下处理:1)放大或衰减,使输入信号的电平与A/D转换器的所需电平相吻合;2)直流补偿或电平转换,通过补偿提高或降低直流电平使之符合A/D转换器的工作电平;3)滤波。滤除信号杂波使频带宽度符合A/D转换器的要求。采用运算放大器设计的驱动电路可以很好的完成上述处理。
使用运算放大器作A/D转换器的接口还可作为缓存。大部分的A/D转换器并不能获得与输入电压范围相符合的输入信号,只有极少的情况下是相符的,这时需要在输入信号与A/D转换器之间加入一个缓存运放,这样可以解决以下问题:1)阻抗匹配,信号源往往并不是该系统设计所需的低阻抗,A/D转换器的输入将影响信号源。通常运算放大器缓存具有高输入阻抗,因此它不会对信号源产生影响。另外其低输出阻抗有益于A/D转换器的驱动;2)减小容性负载的影响。大多数的A/D转换器除在输入端具有电阻特性外,还具有电容效应。因此需要额外的补偿电路.通常用电阻或电容。运算放大器的低输出阻抗特性使其解决上述问题;3)将单端信号转换为差分信号,许多A/D转换器使用差分输入,而大多数信号是单端的。运算放大器可以完成这一转换。
1.2 A/D转换电路
A/D转换器的性能指标主要分为静态参数和动态参数2种。静态参数是指A/D转换电路在低频或直流下的性能参数,而动态参数则是指中频或射频信号输入时的性能参数。对于中频采样系统来说,由于输入信号频率较高,其动态特性对反映电路的性能具有更大意义。重要的动态特性指标包括:信噪比RSN、无杂散动态范围SFDR、有效比特位ENOB、积分非线性INL、微分非线性DNL等。
一个高性能的中频采样系统对噪声性能的要求很高,A/D转换器的噪声来源通常有:A/D转换器失真和量化噪声,A/D转换器等价输入噪声,内部抽样保持电路的孔径抖动,不良的接地和退耦设计,外部驱动放大器的噪声,不良的布局和信号走线设计,采样时钟噪声,外部电源噪声。针对以上噪声来源,该系统设计采用以下方法,力求减小噪声的引入:所有芯片的电源部分都采用钽电解电容与大面积,低阻抗的地层相退耦,用于去除低频噪声;使用铁氧体磁珠去除电源的高频噪声;模拟地与数字地分离。A/D转换电路如图2所示。

点击看原图
1.3 时钟电路
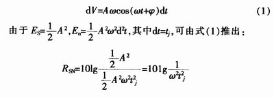
中频采样系统的时钟抖动会对系统性能产生很大影响,并且随着输入信号频率的增加,这种影响越来越明显。设输入信号V=Asin(ωt+ψ),采样时钟抖动为dt,信号能量为Es,噪声能量为En,则有:


式(2)是在假设信号为正弦信号输入的基础上推导出来的。而对于任意信号,都可以看成是单频(正弦)信号的组合,所以,式(2)具有通用性。因此,在已知输入信号频率fin及采样时钟抖动tj的情况下,A/D转换器的信噪比被要求限制在-201g2πfintj以下,该信噪比与采样时钟fs无关,却与输入信号的频率fin相关。
2 系统硬件设计
2.1 A/D转换电路设计
采用AD9445作为A/D转换电路的核心器件.该器件是一款适用于中频采样的14位,单片集成A/D转换器。它采用3.3 V和5.0 V双电源供电,支持差分信号的时钟输入,支持CMOS、LVDS 2种数据输出格式。其重要引脚功能如下:DCS MODE:时钟占空周期稳定器控制引脚,该引脚为低电平时可以起到稳定时钟周期占空比的作用。
OUTPUT MODE:将输出数据电平选择为CMOS电平,或者LVDS电平,为了获取更高的性能,采用LVDS电平。
DFS:数据格式选择。可以将输出数据格式设置为二进制补码或者偏置二级制格式。
VREF:配置该引脚可设置其内部参考电压。
SENCE:配合VREF引脚完成内部参考电压的设置。
REFT,REFB:差分参考输出引脚。
VIN+,VIN-:输入电压引脚。
CLK+,CLK-:采样时钟输入引脚。
D0~D13:输出引脚。
DC0:数据时钟输出引脚。
目前,主流中频采样A/D转换器都采用差分信号输入。差分信号能有效地去除共模噪声。提高系统的抗噪声性能。这里采用LVDS模式的差分信号输入。电路设计如图2所示。经过调试。本系统在输入中频单频信号频率为40 MHz的情况下。信噪比可达77.4 dB,其频谱如图3所示。

2.2 A/D转换器前端运放电路
该系统设计采用AD8352型超低失真差分中频放大器作为A/D转换器的驱动器件。其电路设计如图4所示。

通过设置电阻RG的大小,可调节AD8352的放大倍数,其范围为:3~25 dB。CD和RD用于消除失真。通过前端的变压器,可以将单端信号转换为差分信号,为AD8352提供差分信号,使其具有更高的性能。
2.3 采样时钟电路
AD9445的采样时钟必须是一个高质量,超低相位噪声的时钟源。根据上述理论分析可知,时钟抖动会对A/D转换器的性能造成很大影响:
![]()
假设一个中频输入信号的频率为70 MHz。采样时钟的抖动为1 ps,则RSN=-201g(2πx70x106x10-12)=67.13 dB。结果说明,时钟的抖动已经将A/D转换器的信噪比限制在67.13 dB以下。在输入70 MHz时。如果使用一个高抖动的时钟源,则RSN性能很容易被降低3~4 dB。这里采用高性能时钟分配芯片AD9518-4作为采样时钟,电路设计如图5所示。

AD9518具有6路时钟输出,可分为3组,即同时可输出3种不同频率,并且每路的频率输出都可以通过软件进行配置调节。AD9518具有内部锁相环和压控振荡器电路,时钟输出范围宽,时钟抖动小,输出频率灵活。AD9518,我们可以获得高性能的采样时钟,同时,通过对AD9518内部寄存器的操作,改变采样时钟的频率,从而方便地进行中频欠采样或过采样等信号处理工作。图6显示了本设计中时钟采样电路的主要性能指标。

2.4 系统电源电路
电源噪声是板级设计中的主要噪声来源。为了尽量减小电源噪声,使用低压差线性稳压器(LDO)LT1763作为电源器件。针对运放、A/D转换器以及时钟电路都要严格满足模拟与数字电源分离的要求。本设计中的电源方案如表1所示,每种电压都使用1片LT1763单独供电,从而最大限度地防止数字电压与模拟电压之间的串扰以及不同供电电压之间的串扰。

3 系统软件设计
本系统软件设计是采样系统的时钟芯片AD9518的软件配置,AD9518是一款可调时钟输出频率的多路时钟输出芯片。其输出时钟可以通过对其内部寄存器的配置完成。配置软件中的主要功能函数包括:

通过以上函数即可完成时钟芯片的配置,达到在采样过程中灵活变换时钟的目的。
4 结束语
中频采样系统应用广泛,但由于前端驱动设计问题或采样时钟抖动过大而限制采样系统的整体性能。该设计方案已成功实现,配合后端的数字处理电路,可以获得高性能的中频采样信号。
射频工程师养成培训教程套装,助您快速成为一名优秀射频工程师...
天线设计工程师培训课程套装,资深专家授课,让天线设计不再难...
上一篇:一种多功能联网型热泵控制系统的设计与实现
下一篇:零待机功耗技术

