- 易迪拓培训,专注于微波、射频、天线设计工程师的培养
带隙电压基准源的设计与分析
介绍了基准源的发展和基本工作原理以及目前较常用的带隙基准源电路结构。设计了一种基于Banba结构的基准源电路,重点对自启动电路及放大电路部分进行了分析,得到并分析了输出电压与温度的关系。文中对带隙电压基准源的设计与分析,可以为电压基准源相关的设计人员提供参考。可以为串联型稳压电路、A/D和D/A转化器提供基准电压,也是大多数传感器的稳压供电电源或激励源。
基准源广泛应用于各种模拟集成电路、数模混合信号集成电路和系统集成芯片中,其精度和稳定性直接决定整个系统的精度。在模/数转换器(ADC)、数/模转换器(DAC)、动态存储器(DRAM)等集成电路设计中,低温度系数、高电源抑制比(PSRR)的基准源设计十分关键。
在集成电路工艺发展早期,基准源主要采用齐纳基准源实现,如图1(a)所示。它利用了齐纳二极管被反向击穿时两端的电压。由于半导体表面的沾污等封装原因,齐纳二极管噪声严重且不稳定。之后人们把齐纳结移动到表面以下,支撑掩埋型齐纳基准源,噪声和稳定性有较大改观,如图1(b)所示。其缺点:首先齐纳二极管正常工作电压在6~8 V,不能应用于低电压电路;并且高精度的齐纳二极管对工艺要求严格、造价相对较高。

1971年,Widlar首次提出带隙基准结构。它利用VBE的正温度系数和△VBE的负温度系数特性,两者相加可得零温度系数。相比齐纳基准源,Widlar型带隙基准源具有更低的输出电压,更小的噪声,更好的稳定性。接下来的1973年和1974年,Kujik和Brokaw分别提出了改进带隙基准结构。新的结构中将运算放大器用于电压钳位,提高了基准输出电压的精度。
以上经典结构奠定了带隙基准理论的基础。文中介绍带隙基准源的基本原理及其基本结构,设计了一种基于Banba结构的带隙基准源,相对于Banba结构,增加了自启动电路模块及放大电路模块,使其可以自动进入正常工作状态并增加其稳定性。
1 带隙基准源工作原理
由于带隙电压基准源能够实现高电源抑制比和低温度系数,是目前各种基准电压源电路中性能最佳的基准源电路。
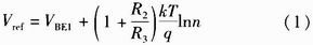
为得到与温度无关的电压源,其基本思路是将具有负温度系数的双极晶体管的基极-发射极电压VBE与具有正温度系数的双极晶体管VBE的差值△VBE以不同权重相加,使△VBE的温度系数刚好抵消VBE的温度系数,得到一个与温度无关的基准电压。图2为一个基本的CMOS带隙基准源结构电路。

其中,Vref为输出的基准电压;VBE为图2中Q1的基极-发射极电压;R1,R2在电路中的位置如图2所示。
图2电路工作原理为:运算放大器、PMOS管M1和M2构成一个负反馈,使得运放正负输入端电压相等。发射极面积之比为n的两个三极管Q1、Q2的VBE差值△VBE加在电阻R1上。运放的输入电流为零,所以电阻R1、R2上的电压也和绝对温度成正比,可以用来补偿Q1管子VBE中随绝对温度线性减小的部分。合理选择R1、R2及n的值,可以得到与温度无关的输入电压
以上电路可以得到的输出电压与温度的关系一般是开口向上或向下的抛物线,这样容易想到若再叠加一定的曲线,就可以进一步消除输出电压的温度效应,使电压更加稳定。
这种思想早在1983年B.S.Song和P.R.Grav就提出了,之后诞生了很多根据不同曲线结合,或应用不同工艺来制造的新基准源电路,也是很有发展潜质的一个方法。其中,2003年Leung利用了与温度有关的电阻比,一个用高阻多晶电阻,另一个用扩散电阻,这样通过这两个电阻上的压降与VBE相加,就可以VBE消除VBE温度系数的非线性。
2 一种基于Banba结构的基准源
2.1 基本结构
文中设计的一种带隙基准源电路,是在1999年发表于JSSC上的基准源结构基础上添加了自启动电路及放大电路构成,如图3所示。

组成:第一部分为启动电路,主要由MSA,MSB,MSC三个管子的性能来决定电路的自启动;第二部分为放大器,采用二级Miller电路,并且从带隙部分获得偏置电流;第三部分与Banba结构基本一致。
本结构的优点体现在以下几个方面:
(1)在传统的带隙基准电路中,输出电压VBE约为1.25 V,这就限制了电源电压在1 V以下的应用,而这个结构的Vref通过两个电流的和在电阻上的压降来实现:一个电流与三极管的VBE成正比,另一个与VT成正比,产生的基准电流通过MOS管M3镜像到输出电流,再通过输出负载电阻R4决定输出参考电压,方便改变所需产生的电压值。
(2)放大器中采用Miller补偿可以增加稳定性,Hironori Banba等采用的是以NMOS为差分输出管的单级运放,这样要达到较低电源电压则需要非标准的耗尽型器件,对工艺的转换性较差,所以文中采用PMOS管作为差分输入。由于放大器在电路中起的作用是保证1、2电压的相等,达到对核心部分没有影响的效果,所以此结构是对Banba结构的一种改进。
(3)启动电路使电路节点处于简并状态时也可以自动进入正常工作状态,在Banba结构中,其自启动方法是采用一个额外的脉冲(Power On -Reset Signal)来实现,这在模拟与混合电路中较少用到,所以文中添加了启动部分的电路,虽然增加了元件数,却能使制造和启动过程简单实用。
2.2 自启动模块及放大电路模块分析
在放大器的偏置电路中,如果初始状态节点2的电压为0,则出现简并,在没有外界刺激情况下不会工作,这在实际应用中是不可接受的,所以必须去除简并点,方法如图4所示,由3个MOS管形成开启电路。由于PMOS管MSA的栅极接地,所以MSA始终导通,这样使得S点电平升高,S也是MSB管的栅极,因此MSB管导通,它的漏极电平降低,这样如果启动点为PMOS栅极,该PMOS管导通,电路可以开始工作。最后还必须使MSB脱离,当电路开始正常工作时,MSC管开启,这样就再次使5节点电平下降,MSB管由此关断,脱离了启动部分。

带隙电路中的放大器主要作用是使两个输入点的电平相等,所以只要增益足够就可以,另外为了防止振荡,相位裕度也要足够,其他指标不是特别重要。图5为放大器的核心部分,各部分作用:MA1、MA2为第一级差分放大,MA6为第二级放大,MA5、MA7从带隙部分偏置电流分配给放大部分MOS管。Cc为密勒电容,将主次极点分离,也可增大相位裕度。
2.3 Spectre仿真结果及分析
图6为使用Cadence的仿真软件Speetre在台积电(TSMC)0.18μm工艺下如图3所示的一种基于Banba结构的Bandgap的输出参考电压与温度的关系图。可以看出结果为:在-50~100℃内,相差最大的参考电压的对应两点变化为96.71℃,901.176μV,相应温度系数为
从实用角度看,也就是说温度在70 ℃的变化范围内,此电路均有2-11的精度。但这是在TT模式下、不考虑版图布局、寄生电阻及电容等的情况下仿真的结果,实际情况或许会有些偏差。
3 结束语
基准源的设计与应用在基准电压源是模拟集成电路的基础模块,它在电路系统中为其他功能模块提供高精度的电压基准,或由其转化为高精度电流基准。一个合格的基准电压源对电源电压、工作温度、输出负载变化、制造工艺不敏感,可以为其他电路模块提供精确的参考点,是当代模拟集成电路极为重要的组成部分,它为串联型稳压电路、A/D和D/A转化器提供基准电压,也是大多数传感器的稳压供电电源或激励源。
射频工程师养成培训教程套装,助您快速成为一名优秀射频工程师...
天线设计工程师培训课程套装,资深专家授课,让天线设计不再难...
上一篇:基于Visual
DSP++的无限脉冲响应数字滤波器(IIR)设计
下一篇:模拟对数字:架起ADC到处理器的桥梁

