- 易迪拓培训,专注于微波、射频、天线设计工程师的培养
高线性度CMOS调幅电路技术介绍
引言
本文采用±5V电源,设计出了一种以模拟乘法器为核心电路的输出信号与控制电压成高线性度的电路,并且实现了单端控制和单端输出。它在锁相环、自动增益控制、正弦脉宽调制(SPWM)、模拟运算等方面有着很好的使用和参考价值。
线性化压控源耦对是本设计电路的核心单元,要保证该电路处于正常工作状态,要求线性输入范围较小,约100mV~200mV。设计中采用有源衰减对输入信号衰减后再作为线性化压控源耦对输入信号,提高了线性输入范围,同时也保证了高线性度。另外,还使用比例减法运算电路的倍增功能,将两端输出转化为单端输出,在满足输出幅值要求时,可以进一步提高输出与输入的线性关系的精度。
模拟信号的幅值调制在模拟信号处理中应用非常广泛,为了实现调幅的精确可控制性,
模拟乘法器
该模拟乘法器以线性化压控源耦对为核心结构,实现了CMOS四相限模拟乘法器。电路基本结构和工作原理如图1所示

假定M1~M6具有完全相同的几何尺寸和沟通参数

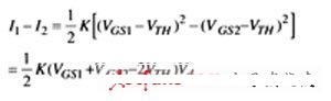
流源由Vbias电压偏置提供饱和电流偏置。且所有的NMOS管子都处于在饱和工作区,并忽略管子正常工作时的二级效应。则有:

式相减:

其中vd=VGS1-VGS2




若存在另外一组同样结构的电路,设这两组电流输出分别为IO1和 系:IO2,Vb节点共用,即Vb1=Vb2,让其构成减法电路,则:

Vc2、Vd和两个电压乘积的线性控制。考虑到控制的方便并保证所有管子工作在饱和区,令Vc2=0,VG2=0,则I0l-I02d=KVcVG1,这样就实现了模拟信号相乘的运算。
有源衰减器和偏置电路
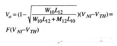
图2为有源衰减器电路,该结构左右对称,其输入电压Vx和输出电压V1均为平衡差动信号,其中M10和M12、M11和M13构成两管的有源衰减器;M8和M9分别以I1和I2为电流源的源极跟随器,主要完成信号的传输以及电平位移,并提供负载合适的偏置。

设M10、M11工作处于线性区,M12、M13工作在饱和区。忽略二级效应沟道调制和体效应,经公式推导,输出信号和输人信号有如下关系


可以看出F即为衰减系数并可以通过调整M10、M12的宽长比得到合适的F值。
要保证电路正常工作需要提供稳定的偏置,图3给出了偏置电压Vbias设M14~M17都工作在饱和区,M14和M17完全相同且(L,/W)16》(L,w)17忽略所有MOS管的二级效应,由于M14和M15的镜像作用,流过M14和M15管子的电流相等。则有:

可以看出,在所有管子处于饱和状态时,输出电流与电源电压无关,表现出对电源较强的抑制,Vbias可以通过M17很容易形成电流镜像,构成偏置电路。
CMOS模拟乘法器电路结构
图4所示为核心电路模拟乘法器。电路中,M1~M8构成Vy+、Vx-的输入衰减器并实现电平位移,M23~M30构成Vx+Vx-的输入衰减器并实现电平位移;M9~M14构成第一个线性压控源耦对,M15~M20构成第二个线性压控源耦对;M21、M22分别提供源耦对的偏置电流。在电路工作中的输出电流IO通过电阻R1、R2形成电压双端信号输出。

模拟乘法器仿真结果
模拟乘法器的各项参数仿真如图5、图6、图7所示。


图5中,VY从-4V~+4V,步长为lV,对VX进行步长为0.05V的DC扫描。从其直流特性曲线可以看出其线性输入范围为±4V,在±4V输入范围内,非线性误差小于0.8%,乘法器运算误差小于l%;当输入范围为±3V,非线性误差小于0.4%,运算误差小于0.6%;随着输入范围缩小,非线性误差更小,运算误差也随之减小。
图6中上图为输入端VY、VX分别为500Hz的正弦波和输入范围为0~+4V的调幅三角波信号;下图为经过模拟乘法器乘法运算后的输出时域波形图,其调制后的波形与输入有着较好的线性度。

图7为VX、VY均为3.5V(DC)时对Vy端的AC扫描。从其频率特性曲线可以看出-3dB带宽为8.76MHz。
单端输出的运算电路设计
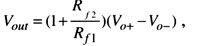
由于R1和R2输出端为电 流Io引起的电压变化,要将电流输出转化成电压输出,需要一个实现减法的电路,由两个运算放大器构成的差分比例运算电路如图8所示
。
该结构由于输入端为栅极输入,所以低频阻抗非常高,其输出表达式为:
可以根据实际要求调节比例电阻Rf1和Rf2的比值,对模拟乘法器的输出电压进行倍增,可以在满足输出幅值的情况下进一步缩小线性范围,从而提高输出与输入的线性度。
结语
该文提出了一种以模拟乘法器为核心电路的输出信号与控制电压成高线性度的集成电路设计,并进真,并实现了单端控制,单端输出电路的控制电路设计。最后采用骊山微电子公司3μm P阱工艺模型参数库对电路参数进行Pspice模拟仿真,研究显示该电路输入线性范围宽,输出线性度高,值得参考和进一步研究。
射频工程师养成培训教程套装,助您快速成为一名优秀射频工程师...
天线设计工程师培训课程套装,资深专家授课,让天线设计不再难...
上一篇:低功率LED通用照明应用隔离型高功率因数LED驱动器方案
下一篇:在较低电压或较小电流电路上的时间继电器设计方案

