- 易迪拓培训,专注于微波、射频、天线设计工程师的培养
地面核磁共振找水仪放大器设计
摘要:
根据水中氢核具有核子顺磁性且其磁矩不为零的特点,利用一个装置向地下发射一束具有拉莫尔频率的电磁波,激发地下水中氢核,从而形成宏观磁矩;撤除激发信号,接收该宏观磁矩在复原过程中形成的核磁共振信号( NMR) ,由其初始振幅、弛豫时间和初始相位等便可计算出地下水的相应信息。NMR具有信号弱频带宽的特点。设计的NMR放大器选择性好,检测弱信号能力强,可灵活智能化调整,已成功应用到NMR找水仪科研样机中,目前已可靠地测到了100 m深处的地下水。
1引言
利用核磁共振( nuclearm agnetic resonance, NMR)寻找地下水是目前世界上唯一的直接找水新方法。具有分辨力高、找水效率高、信息量丰富和解唯一的特点.在该方法的探测深度范围内,有一定规模的自由水存在,就有核磁共振信号响应。反之就没有响应。目前探测深度已可靠达到100m,我们研制的近期目标是达到150 m.从传感器接收到的NMR信号在数nV到数百nV范围,频率1 kHz到3 kHz,干扰非常大。所以设计高性能NMR放大器对于提高该仪器检测微弱信号的能力具有非常重要的意义。
2核磁共振找水原理
核磁共振是指当射频激发磁场的频率满足一定条件时,原子核系统中的核子在稳定磁场(此处为地磁场B0)和人工激发场B1的共同作用下,吸收人工激发场的能量产生共振跃迁.理论上,应用NMR技术的唯一条件是所研究物质的原子核磁矩不为零.水中氢核具有核子顺磁性,其磁矩不为零。氢核是地层中具有核子顺磁性物质中丰度最高、旋磁比γ最大的核子。在稳定的地磁场B0作用下,氢核像陀螺一样绕地磁场方向旋进,其旋进频率(称为拉莫尔频率)f0与地磁场强度B0、旋磁比γ关系为式(1)。其中γ为一常数.

如果以具有拉莫尔频率f0的交变磁场B1(f0 )对地下水中的质子进行激发,即可产生核磁共振现象。如图1所示。

在NMR方法中,通常向铺在地面上的线圈(作为发射及接收线圈,如图2所示)中供入频率为拉莫尔频率、包络为矩形的交变电流脉冲(如图3(a)所示)。在周围形成交变磁场,激发周围水中的氢核形成宏观磁矩M0 ,该磁矩在地磁场中产生拉莫尔频率旋进运动,如图1所示。在切断激发电流脉冲后,用同一线圈拾取由M0衰落过程中产生的NMR信号(如3(b)所示)。


用q=I0τ表示电流脉冲矩,其中τ为发射矩形电流脉冲持续时间,如图3(a)所示。q由小到大可使探测深度由浅变深;E0为NMR信号的初始振幅,它的大小反映所对应深度的含水层的含水量; T*2为NMR信号的自旋-自旋弛豫时间,其大小反映含水岩层平均孔隙度的大小;Φ0为NMR信号与激发电流之间的相位差,它反映地下岩层的导电性情况.
核磁共振找水仪由电源、发射与接收等部分组成,如图4所示.

在计算机控制下,由单片机和DDS等产生如图3(a)所示的拉莫尔激发信号,功率驱动电路将这个信号调制为发射所需的电流,经开关及铺设于地面的电缆发射出激发电磁场。停止激发后,由快速开关控制电路将电缆转接到放大器输入端。放大器将接收到的NMR信号进行模拟调理后输出给数据采集与处理电路,经数据解释成为检测到的地下水信息。
3核磁共振信号特征及对放大器的要求
核磁共振信号如图3(b)所示。可以用式(2)所示的数学模型近似地描述。

式中各参数意义如前述。
3. 1放大器通频带宽度(Bw)设计
3. 1. 1数学分析
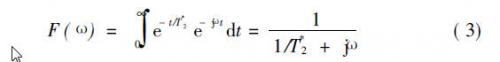
为简便,先忽略式( 2)中Φ0的对其幅值进行傅里叶变换。根据傅里叶变换的频移特性,对式(2) E(t)的变换可由对其单边指数部分变换频移而得。而频移并不影响计算其频带宽度,所以只对其指数部分计算傅里叶变换即可。

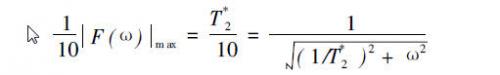
式(3) 的模值为:

最大值为:

求出当忽略最大值10% 以下频率成分时的ω, 就可
以设计出NMR放大器的通频带宽度, 过程如下:

得到:

核磁共振信号的带宽:

T*2为NMR信号的自旋-自旋弛豫时间。对于自由水,其变化范围为30~ 1000 ms.因此随着T*2不同,核磁共振信号带宽的变化范围为105~ 3.168 Hz,具体变化情况如图5所示。
3. 1. 2仿真分析
借助电子工作平台EWB( electron icsw orkbench)。用1kHz正弦波与1Hz微分波形相乘而产生模拟NMR信号。调节微分电路时间常数, 可以调节NMR的T*2。产生的NMR信号如图6所示。

当NMR信号弛豫时间为30ms时, 其傅里叶频谱如图7所示。

可见, 当忽略10% 以下频率成分时, 频谱宽度约100Hz。当信号弛豫时间为1000ms 时, 其傅里叶频谱
如图8所示。可见, 当忽略10% 以下频率成分时, 频谱宽度约几Hz。

射频工程师养成培训教程套装,助您快速成为一名优秀射频工程师...
天线设计工程师培训课程套装,资深专家授课,让天线设计不再难...
上一篇:完整的5V单电源8通道多路复用数据采集系统
下一篇:恒流LED驱动系统的设计方案

