- 易迪拓培训,专注于微波、射频、天线设计工程师的培养
使用有源匹配电路改善宽带全差分放大器的噪声性能
自从1999年首次面世以来,宽带全差分放大器(FDA)的单端至差分应用经常将一个接地电阻用作输入匹配电路的一部分,代价是更高的以输入为参考的噪声电压。如果可以去除那个电阻,输入阻抗匹配电路仅由进入求和点的路径确定,那么就有可能得到低得多的以输入为参考的噪声。当输入匹配电路可以通过一个大于1GHz的共模环路带宽保持在很高频率时,这是一个可行的方案。本文将介绍两种方法的设计公式,并比较以输入为参考的噪声对目标增益的影响。
使用全差分放大器实现的单端至差分转换
日益普及的全差分放大器(FDA)支持的更加有用的功能之一是将单端信号源转换为所有现代ADC输入要求的差分输出信号。这些设计可以是直流或交流耦合设计。当采用直流耦合时,需要留意输入共模范围,在这种情况下双极电源对许多FDA来说是很有用的。如果有更高速度要求,那么单电源更加常见,并且通常要求使用输入匹配电路来匹配某些源阻抗,以便限制反射和/或SFDR劣化。虽然单电源FDA可以提供直流耦合路径,但本文将介绍一种交流耦合方法,它能取消输入共模范围这一考虑因素。只要输入保持在一定范围内,这些相同结果也可以应用于直流耦合设计。图1显示了双重端接50Ω输入设计的典型交流耦合式实现。这种设计可以进一步改进为增益为5V/V的目标设计例子,这可以从使用499Ω反馈元件、并使用免费的Spice仿真器产生原理图开始(参考文献1)。

图1:增益为5V/V(14dB)、输入阻抗为50Ω的交流耦合式单端至差分设计。
对这类电路来说有几个常见的考虑因素——
1. 反馈电路是相等的。
2. 输入阻抗等于Rt和看向Rg1的阻抗的组合。
3. 通过FDA内共模环路的作用,看向Rg1的阻抗将增加到超过Rg1的值(参考文献2)。这个环路的作用是使输出共模电压保持不变,进而导致输入共模电压随输入信号变化而改变,增加朝Rg1看的外在输入阻抗。
4. 电阻Rg2用于取得差分平衡,等于Rg1 + Rt||Rs。
5. 当Rg2设置好后,这个电路的噪声增益(NG)就等于1+Rf/Rg2。
6. 由于输入路径上采用的是交流耦合,因此直流I/O工作电压默认为内部产生的Vcm参考电压(对这个3.3V单电源器件来说是1.2V)。这个Vcm控制了输出共模电压,但由于没有直流电流路径返回到输入端,Vcm也就确定了直流输入共模工作电压。
上述特定例子使用的是一种非常低噪声的4GHz增益带宽FDA-ISL55210。在本例中,设计从选择Rf的值开始,然后求出Rt和Rg1元件的值。在Rt和Rg1元件之间划分输入匹配贡献方面几乎没有供应商指导。可供权衡的因素是,Rg1元件变小(Rt变大)将减小输入噪声和扩展带宽(针对基于电压反馈的FDA)。朝这个方向进行下去将更多地取决于共模环路带宽,并将输入匹配设进Rg1路径(参考文献2)。虽然获得图1电路中电阻值的最常见方法是反复或近似方法,但为目标增益(Av)和输入阻抗(Rs)选取Rf可以巧妙地变为针对Rt的二次方程求解(参考文献3)。

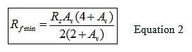
为零解出系数分母将得到最小值Rf,Rt变得无穷大,并且仅取决于匹配电路的Rg1输入路径。在本例中,这将求解出160.71Ω。

当Rf朝着这个Rfmin不断变小时,Rg元件将增加,而Rt将趋于无穷大。当逐渐减小的Rf选好后,使用公式1可以得到Rt的值,然后由下面这些表达式确定另外两个电阻——

单端至差分FDA的噪声分析
一旦使用这些设计公式确定了一组电阻值之后,就可以将这些电阻值放进噪声分析电路来获得总的输出差分点噪声。如图2电路所示,所有元件对噪声都有贡献,其中噪声项被显示为点噪声电压和电流。
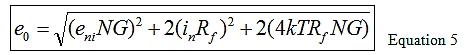
针对本例中Rf和Rg元件相等且电流噪声项相等的情况,总的输出噪声表达式非常简单,如公式5所示。其中NG代表噪声增益,等于1+Rf/Rg。(ISL55210数据手册第14页)

图2:针对FDA的噪声分析电路。

任何基于电压反馈的宽带FDA都能使用这个设计流程将实现电阻值减小到公式2允许的最小值。表1显示了适用这种分析的一些最小噪声宽带增益宽带乘积(GBP)FDA。

表1:一些现代FDA器件和关键参数。
针对图1所示的设计例子逐步减小Rf,重新计算其它电阻值,然后就能得出表2所示的以输入为参考的噪声结果。对这4个例子器件的任何一个来说电阻值(实际值)是相同的,在50Ω输入匹配时从Rt输入端看的增益为5V/V(参考文献4)。以公式5得到的输出噪声为参考的输入增益为5,此时每种器件的估计输入点噪声见表2(其中仍包含假设的嵌入图2中Rg元件的50Ω源噪声)。

表2:电阻值和结果噪声列表。
由于减小了电阻噪声贡献和噪声增益,所以减小Rf设计值将同样减少噪声。160.71Ω的最小值使Rt趋于无穷大,进而获得可能最小的输入噪声和噪声增益。不断下降的噪声增益(当Rt开路时等于1+Av/2)也将扩展这些电压反馈器件的带宽。减小这些电阻的一种好处是共模控制环路带宽能够使有源输入匹配电路保持在从接近Rs的Rg1处观察到的频率之上。在Rt ->∞的限制下,表2最后一行的14.3Ω Rg1将被共模环路转换为50Ω有源输入阻抗。另外一个考虑因素是由于更低Rf值而增加的输出级负载,这将增加实际差分负载,从而可能降低谐波失真性能。
图3绘制出了以输入为参考的噪声与表2中的Rf之间的关系曲线。通过减小Rf降低噪声直到与想要的输入匹配频率范围和加载因素一致明显是有很大好处的。针对这些设计目标从选取Rf = 500Ω开始并且一直处理到最小161Ω值,可以将使用最低噪声的ISL55210的总输入点噪声从大约2.15nV/√Hz降低到1.06nV/√Hz。将50Ω源阻抗提供的噪声电压返回匹配的输入端(仍包含在这个1.06nV/√Hz最小值内)可以得到0.96nV/√Hz这个仅放大级的以输入为参考的噪声。

图3:以输入为参考的噪声比较与目标Rf值。
删除Rt并只使用有源匹配设计
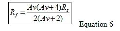
将上述分析应用到极限,彻底删除Rt元件,然后唯一地求解出要求的一组电阻值。在假定目标输入阻抗匹配Rs、从Rg1到差分输出有增益的情况下求解所要求的Rf,可以得到简化的设计公式6至8,其中公式6只是公式2的Rfmin表达式的重复。


然后,Rg2 = Rs + Rg1 Equation 8
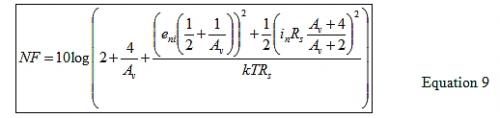
使用这个简化设计中的NG=1+Av/2将这些表达式放入公式5的输出噪声计算,得到噪声系数(NF)表达式,即公式9(参考文献5)。

从14dB(较早前使用的5V/V)增益开始,针对固定50Ω输入阻抗将增益以2dB步距往上提高,并且使用0.85nV/√Hz和表1中针对ISL55210的5pA/√Hz电流噪声,可以得到要求的电阻值和结果噪声,如表3所示。

表3:扫描增益50Ω有源匹配元件值和ISL55210噪声分析。
第一行值接近匹配表2最后一行中的较前结果。这些电阻值对任何电压反馈FDA来说都是正确的,而输出噪声和噪声系数是使用ISL55210输入点噪声数字预测的。正常情况下,提高增益将降低以输入为参考的噪声,代价是带宽减小,如同增加噪声增益(V/V)的表现一样。仍然使用图1所示的5V/V增益设计,但删除Rt元件并使用表3第一行的值,可以得到图4所示的仿真电路。

图4:增益为5V/V、输入阻抗为50Ω、使用宽带FDA的有源匹配电路。
当这个电路中的噪声增益=3.5V/V时,这个4GHz增益带宽器件将实现>1GHz的带宽。虽然这里的仿真非常精确,但在宽范围的增益和输入阻抗下这个电路也可以方便地用ISL55210-ABEV1Z有源平衡不平衡评估板进行测试。

图5:图4所示仿真电路的Vout/Vin频率响应曲线。
[p]注意这种仿真有非常精细的刻度,图中显示从1MHz至1GHz范围内<0.3dB的滚降,其中低频滚降取决于阻塞电容。一次最终检查是查看输入阻抗,确认共模反馈环路实际是否将14.3Ω Rg1转换为接近50Ω的电路。如果电路工作正常,将图4仿真电路修改为带并联50Ω电阻的电流源输入,并用交流仿真探测输入电压,结果将接近25Ω。将这个数据整合进朝Rg1看的阻抗可以得到图6。仿真得到的响应接近匹配期望的50Ω,并且随着共模环路带宽的滚降,更高频率点的阻抗也更高。这种匹配在直到1GHz范围内都超过34dB反射损耗——频率远高于以前的FDA。这个仿真结果非常匹配测量这个电路得到的输入阻抗(参考文献6)。

图6:图4采用电流源输入时的输入阻抗。
本文小结
在高动态范围的信号处理设计中,宽带FDA为单端转换差分电路提供了有用的电路模块。接地端接元件的闭环解决方案能够用来方便地评估在这个元件和串联电阻间分割成求和点时的折衷手段。增加Rt元件会减小其它电阻值(针对固定的目标输入匹配和增益),进而扩展带宽并降低噪声。在这个限制条件下,删除Rt,同时只依赖于Rg1元件和共模环路来设置输入阻抗可以帮助任何电压反馈FDA实现最低的噪声和最宽的带宽响应。这种应用在使用具有非常高带宽共模环路的FDA时性能最好。这种方法有可能用来替代射频放大器的单端I/O+平衡不平衡解决方案,代之以这种有源平衡不平衡配置的ISL55210。与负载和源阻抗相隔离的平衡不平衡设计相比,这种设计有更多的好处。从本文提供的简单设计公式可以看出只需改变4个电阻值,因此在输入阻抗和增益方面有相当大的设计灵活性。
射频工程师养成培训教程套装,助您快速成为一名优秀射频工程师...
天线设计工程师培训课程套装,资深专家授课,让天线设计不再难...
上一篇:基于虚拟通道的Flash映射技术
下一篇:基于PD雷达的多假目标压制干扰产生及仿真

