- 易迪拓培训,专注于微波、射频、天线设计工程师的培养
理解线性稳压器及其主要性能参数
录入:edatop.com 点击:
低压差稳压器(通常称为LDO)广泛用于许多行业的各类电子应用。一般认为,LDO是调节和控制由较高输入电压电源提供的输出电压的一种简单而便宜的方法。但是,成本和简单性并非其得到广泛使用的唯一原因。事实上,如今的系统随着每种新设计的出现而变得越来越复杂、对噪声的反应更加敏感并且更加耗电。各种功率水平的开关电源的广泛使用,意味着设计工程师必须花更多时间考虑如何避免噪声耦合和干扰,同时还要提高系统效率,所以成本和简单性不是唯一的推动因素。
对大多数应用而言,产品数据表的基本参数的规格明白易懂。遗憾的是,产品数据表并不会列出针对每种可能的电路条件的参数。因此,若要发挥LDO的最大优势,就必须理解主要性能参数及其对既定负载的影响。设计工程师需要通过严密分析周围电路条件,来确定LDO是否适合特定负载。
本文分析了LDO的主要性能参数,以及它们对于向电子系统中的各种器件提供干净的输出电压的影响,另外还将讨论设计工程师在优化系统时(特别是在电流水平较高时)必须考虑的因素。
如何在应用中使用LDO
在大多数应用中,LDO主要用于将灵敏的负载与有噪声的电源相隔离。与开关稳压器不同,线性稳压器会在通路晶体管或MOSFET(用来调节和保持输出电压来达到所需的精度)中造成功率耗散。因此,就效率而言,LDO的功率耗散会是一个显著劣势,并可能导致热问题。所以,设计工程师需要通过尽可能降低LDO功率耗散,来提升系统效率和避免热复杂性,这一点很重要。
LDO是用于电压调节的最老和最常用器件;然而,其许多主要性能参数并未得到人们的充分理解或至少未被最大限度地加以利用。尽管成本是一项非常重要的因素,但推动LDO使用的主要因素是系统的功率要求和受电负载可接受的噪声水平。LDO还可用于降噪,以及修复由电磁干扰(EMI)和印刷电路板(PCB)布线造成的问题。
对于电流消耗非常低的负载,LDO的功率耗散非常小,所以由于其简单、成本低和易用性而成为必然之选。但是,对于电流消耗大于500mA的负载,其他因素变得更重要,有时甚至很关键。在这类应用中,系统工程师应当对那些在较高电流水平条件下重要性会提升的性能参数多加考虑,如压差、负载调节和瞬态性能。
LDO是线性稳压器的一种,所以人们常常拿它与传统线性稳压器相比,特别是在成本方面。很重要的一点是要理解通路元件是LDO的核心,且该核心及其周围电路对LDO的性能具有决定性影响。
LDO内部
LDO包含三个基本功能元件:一个参考电压、一个通路元件和一个误差信号放大器,如图1所示。正常工作期间,通路元件充当电压控制器电流源。通路元件由来自误差信号放大器的补偿控制信号驱动,误差信号放大器可感测输出电压并将其与参考电压进行比较。所有这些功能块都会影响LDO的性能。LDO生产商的产品数据表始终包括相应规格,用以说明这些功能元件的性能。

图1:LDO框图。
从图2可以看出,LDO稳压器设计中通常有四种不同的通路元件:基于NPN型晶体管的稳压器、基于PNP型晶体管的稳压器、N通道基于MOSFET的稳压器和P通道基于MOSFET的稳压器。

图2:LDO稳压器中使用的四种不同的晶体管。
通常,基于晶体管的稳压器比基于MOSFET的稳压器具有更高的压差。另外,基于晶体管的稳压器的晶体管通路元件的基极驱动电流与输出电流成比例。这会直接影响基于晶体管的稳压器的静态电流。相比之下,MOSFET通路元件使用隔离栅极驱动的电压,使其静态电流显著低于基于晶体管的稳压器。
主要LDO性能参数
压差
压差是指在进一步减小输入电压会造成输出电压失稳时的输入电压与输出电压之差。在压差条件中,通路元件在线性区工作,相当于一个电阻。对于现在的LDO,通路元件通常采用PMOS或NMOS FET来实现,这可实现低至30mV到500mV的压差。图3显示了使用PMOS FET作为通路元件的ISL80510 LDO的压差。

图3:ISL80510压差。
负载调整率
负载调整率是指在给定负载变化下的输出电压变化,这里的负载变化通常是从无负载到满负载,对应的负载调整率如方程式1所示:

负载调整率体现了通路元件的性能和稳压器的闭环DC增益。闭环DC增益越高,负载调整率越好。
线性调整率
线性调整率是指在给定输入电压变化下的输出电压变化,如方程式2所示:

由于线性调整率还取决于通路元件的性能和闭环DC增益,在考虑线性调整率时常常不包括压差操作。因此,线性调整率的最小输入电压必须高于压差。
电源抑制比(PSRR)
PSRR表示LDO抑制由输入电压造成的输出电压波动的能力,如方程式3所示。线性调整率只有在直流电时才需要考虑,但PSRR必须在宽频率范围上考虑。

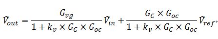
考虑传统的闭环系统,小信号输出电压V _out可由方程式4表示:

其中V _in是小信号输入电压,G_vg是从输入到输出电压的开环传递函数,k_v是输出电压感测增益,G_C是补偿器的传递函数,G_oc是从控制信号到输出电压的开环传递函数,k_v×G_C×G_oc是闭环传递函数T(s)。
从式3和式4可以看出,很显然PSRR由闭环增益T(s)和从输入到输出电压的开环传递函数的倒数〖1/G〗_vg组成,如图4所示。闭环传递函数在较低频率下占支配地位,从输入到输出电压的开环传递函数在较高频率下占支配地位。

图4:PSRR vs. 频率。
噪声
该参数通常是指LDO本身在输出电压上产生的噪声,是带隙电压参考的内在特征。式4显示了参考电压与输出电压的关系。遗憾的是,闭环传递函数对于抑制从参考电压到输出电压的噪声效果不大。因此,大多数低噪声LDO都需要一个额外滤波器来防止噪声进入闭环。
瞬态响应
LDO普遍用于负载点调节比较重要的应用中,例如为数字IC、DSP、FPGA 和低功率 CPU供电。此类应用中的负载有多种工作模式,需要不同的供电电流。因此,LDO必须快速响应,以使供电电压保持在要求的限制范围之内。这使LDO的瞬态行为成为关键性能参数之一(图5)。
如同在所有闭环系统中一样,瞬态响应主要取决于闭环传递函数的带宽。要想实现最佳瞬态响应,闭环回路带宽必须尽可能高,同时还要确保有足够相位余量,以保持稳定性。

图5:ISL80510瞬态响应(2.2Vin, 1.8Vout)。
静态电流
LDO的静态电流(或接地电流)是通路元件的偏流和驱动电流的组合,通常保持尽可能低的水平。另外,当PMOS或NMOS FET用作通路元件时,静态电流相对来说不太受负载电流的影响。因为静态电流不会流向输出,所以它会影响LDO的效率,如方程式5所示:

LDO内部的功率耗散定义为:

要想优化LDO的效率,必须将静态电流以及输入电压与输出电压之差降到最低。输入电压与输出电压之差对效率和功率耗散有直接影响,所以一般选择最低压差。
尽管LDO不能像开关模式电源(SMPS)那样提供较高的效率转换,但它对于很多现在的电路来说依然是必不可少的稳压器。在对噪声敏感的应用中,使SMPS实现必要的输出纹波来满足严格的噪声规格要求非常具有挑战性。因此,对SMPS的输出添加一个LDO作为有源滤波器的情况并不少见。该LDO在SMPS开关频率下必须具备较高的PSRR。
LDO特别适用于那些需要将输出电压调整到略低于输入电压的应用。虽然降压和升压转换器对最大/最小占空比有限制,但若其输入电压接近输出电压,则会导致输出电压失稳。
结束语
尽管概念和实现都比较简单,但得到广泛使用的LDO在系统电源设计中肩负着至关重要的功能。进行设计优化时需要考虑许多因素,特别是在电流水平较大的情况下。对于中到高电流应用,Intersil的ISL80510/05对所有主要LDO性能参数都能提供均衡的性能,包括低压差、瞬态性能、电压精度以及宽频率范围内接近平坦的PSRR响应。
对大多数应用而言,产品数据表的基本参数的规格明白易懂。遗憾的是,产品数据表并不会列出针对每种可能的电路条件的参数。因此,若要发挥LDO的最大优势,就必须理解主要性能参数及其对既定负载的影响。设计工程师需要通过严密分析周围电路条件,来确定LDO是否适合特定负载。
本文分析了LDO的主要性能参数,以及它们对于向电子系统中的各种器件提供干净的输出电压的影响,另外还将讨论设计工程师在优化系统时(特别是在电流水平较高时)必须考虑的因素。
如何在应用中使用LDO
在大多数应用中,LDO主要用于将灵敏的负载与有噪声的电源相隔离。与开关稳压器不同,线性稳压器会在通路晶体管或MOSFET(用来调节和保持输出电压来达到所需的精度)中造成功率耗散。因此,就效率而言,LDO的功率耗散会是一个显著劣势,并可能导致热问题。所以,设计工程师需要通过尽可能降低LDO功率耗散,来提升系统效率和避免热复杂性,这一点很重要。
LDO是用于电压调节的最老和最常用器件;然而,其许多主要性能参数并未得到人们的充分理解或至少未被最大限度地加以利用。尽管成本是一项非常重要的因素,但推动LDO使用的主要因素是系统的功率要求和受电负载可接受的噪声水平。LDO还可用于降噪,以及修复由电磁干扰(EMI)和印刷电路板(PCB)布线造成的问题。
对于电流消耗非常低的负载,LDO的功率耗散非常小,所以由于其简单、成本低和易用性而成为必然之选。但是,对于电流消耗大于500mA的负载,其他因素变得更重要,有时甚至很关键。在这类应用中,系统工程师应当对那些在较高电流水平条件下重要性会提升的性能参数多加考虑,如压差、负载调节和瞬态性能。
LDO是线性稳压器的一种,所以人们常常拿它与传统线性稳压器相比,特别是在成本方面。很重要的一点是要理解通路元件是LDO的核心,且该核心及其周围电路对LDO的性能具有决定性影响。
LDO内部
LDO包含三个基本功能元件:一个参考电压、一个通路元件和一个误差信号放大器,如图1所示。正常工作期间,通路元件充当电压控制器电流源。通路元件由来自误差信号放大器的补偿控制信号驱动,误差信号放大器可感测输出电压并将其与参考电压进行比较。所有这些功能块都会影响LDO的性能。LDO生产商的产品数据表始终包括相应规格,用以说明这些功能元件的性能。

图1:LDO框图。
从图2可以看出,LDO稳压器设计中通常有四种不同的通路元件:基于NPN型晶体管的稳压器、基于PNP型晶体管的稳压器、N通道基于MOSFET的稳压器和P通道基于MOSFET的稳压器。

图2:LDO稳压器中使用的四种不同的晶体管。
通常,基于晶体管的稳压器比基于MOSFET的稳压器具有更高的压差。另外,基于晶体管的稳压器的晶体管通路元件的基极驱动电流与输出电流成比例。这会直接影响基于晶体管的稳压器的静态电流。相比之下,MOSFET通路元件使用隔离栅极驱动的电压,使其静态电流显著低于基于晶体管的稳压器。
主要LDO性能参数
压差
压差是指在进一步减小输入电压会造成输出电压失稳时的输入电压与输出电压之差。在压差条件中,通路元件在线性区工作,相当于一个电阻。对于现在的LDO,通路元件通常采用PMOS或NMOS FET来实现,这可实现低至30mV到500mV的压差。图3显示了使用PMOS FET作为通路元件的ISL80510 LDO的压差。

图3:ISL80510压差。
负载调整率
负载调整率是指在给定负载变化下的输出电压变化,这里的负载变化通常是从无负载到满负载,对应的负载调整率如方程式1所示:

负载调整率体现了通路元件的性能和稳压器的闭环DC增益。闭环DC增益越高,负载调整率越好。
线性调整率
线性调整率是指在给定输入电压变化下的输出电压变化,如方程式2所示:

由于线性调整率还取决于通路元件的性能和闭环DC增益,在考虑线性调整率时常常不包括压差操作。因此,线性调整率的最小输入电压必须高于压差。
电源抑制比(PSRR)
PSRR表示LDO抑制由输入电压造成的输出电压波动的能力,如方程式3所示。线性调整率只有在直流电时才需要考虑,但PSRR必须在宽频率范围上考虑。

考虑传统的闭环系统,小信号输出电压V _out可由方程式4表示:

其中V _in是小信号输入电压,G_vg是从输入到输出电压的开环传递函数,k_v是输出电压感测增益,G_C是补偿器的传递函数,G_oc是从控制信号到输出电压的开环传递函数,k_v×G_C×G_oc是闭环传递函数T(s)。
从式3和式4可以看出,很显然PSRR由闭环增益T(s)和从输入到输出电压的开环传递函数的倒数〖1/G〗_vg组成,如图4所示。闭环传递函数在较低频率下占支配地位,从输入到输出电压的开环传递函数在较高频率下占支配地位。

图4:PSRR vs. 频率。
噪声
该参数通常是指LDO本身在输出电压上产生的噪声,是带隙电压参考的内在特征。式4显示了参考电压与输出电压的关系。遗憾的是,闭环传递函数对于抑制从参考电压到输出电压的噪声效果不大。因此,大多数低噪声LDO都需要一个额外滤波器来防止噪声进入闭环。
瞬态响应
LDO普遍用于负载点调节比较重要的应用中,例如为数字IC、DSP、FPGA 和低功率 CPU供电。此类应用中的负载有多种工作模式,需要不同的供电电流。因此,LDO必须快速响应,以使供电电压保持在要求的限制范围之内。这使LDO的瞬态行为成为关键性能参数之一(图5)。
如同在所有闭环系统中一样,瞬态响应主要取决于闭环传递函数的带宽。要想实现最佳瞬态响应,闭环回路带宽必须尽可能高,同时还要确保有足够相位余量,以保持稳定性。

图5:ISL80510瞬态响应(2.2Vin, 1.8Vout)。
静态电流
LDO的静态电流(或接地电流)是通路元件的偏流和驱动电流的组合,通常保持尽可能低的水平。另外,当PMOS或NMOS FET用作通路元件时,静态电流相对来说不太受负载电流的影响。因为静态电流不会流向输出,所以它会影响LDO的效率,如方程式5所示:

LDO内部的功率耗散定义为:

要想优化LDO的效率,必须将静态电流以及输入电压与输出电压之差降到最低。输入电压与输出电压之差对效率和功率耗散有直接影响,所以一般选择最低压差。
尽管LDO不能像开关模式电源(SMPS)那样提供较高的效率转换,但它对于很多现在的电路来说依然是必不可少的稳压器。在对噪声敏感的应用中,使SMPS实现必要的输出纹波来满足严格的噪声规格要求非常具有挑战性。因此,对SMPS的输出添加一个LDO作为有源滤波器的情况并不少见。该LDO在SMPS开关频率下必须具备较高的PSRR。
LDO特别适用于那些需要将输出电压调整到略低于输入电压的应用。虽然降压和升压转换器对最大/最小占空比有限制,但若其输入电压接近输出电压,则会导致输出电压失稳。
结束语
尽管概念和实现都比较简单,但得到广泛使用的LDO在系统电源设计中肩负着至关重要的功能。进行设计优化时需要考虑许多因素,特别是在电流水平较大的情况下。对于中到高电流应用,Intersil的ISL80510/05对所有主要LDO性能参数都能提供均衡的性能,包括低压差、瞬态性能、电压精度以及宽频率范围内接近平坦的PSRR响应。
射频工程师养成培训教程套装,助您快速成为一名优秀射频工程师...
天线设计工程师培训课程套装,资深专家授课,让天线设计不再难...
上一篇:对电源可靠性设计的11个建议
下一篇:五个简便步骤设计开关模式电源关键参数
射频和天线工程师培训课程详情>>

