- 易迪拓培训,专注于微波、射频、天线设计工程师的培养
提高电源功率密度的方向
录入:edatop.com 点击:
摘要:随着电子集成化的发展,器件、设备小型化的趋势越来越明显,对电源而言也是如此。高功率密度、小型化、轻薄化、片式化一直是电源技术发展的方向。那么,电源的小型化主要由哪些因素决定呢
1、工作频率
提高开关电源工作频率——高频功率半导体器件:工作频率的提高可以提高功率密度。在相同的指标要求下,电路工作频率提高了,需要更高频率功率管,那么在电路中就可以使用更小的输出电感和滤波电容,这也就意味着,电感和电容的体积将大大减小,因此整个电路的体积和重量都将得到改善。但是我们必须要注意到随着开关频率的不断提高,开关元件和无源元件的损耗也增加,高频寄生参数以及高频EMI等新的问题也随之产生。
在以往的开关电源中,变压器的体积往往占据了整个电源体积的大半部分,其实提高工作频率对减小变压器的体积是非常明显的。
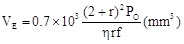
变压器的有效体积:

其中r是电流纹波率,即r=△I/IDC;f是开关频率
O是额定输出功率。
可以看出磁芯的体积与开关频率f成反比,因此频率越高,磁芯就可以小,自然变压器的体积也小。一般的高频变压器可以轻易做到几百KHz的频率,对比一下相同功率下的工频变压器,你会发现体积相差之大。
2、采用新型变压器
随着工艺技术的提高,为进一步减小变压器的体积,可以采用平面变压器和压电变压器,可使高频功率变换器实现轻、小、薄和高功率密度。平面磁芯开发成功,可实现平面化的变压器设计。由于平面变压器要求磁芯、绕组是平面结构,所以应该采用多层PCB绕组。平面变压器的特点是高频,低造型,高度很小而工作频率很高。压电变压器利用压电陶瓷材料特有的“电压-振动”变换和“振动-电压”变换的性质传送能量,其等效电路如同一个串并联谐振电路,是功率变换领域的研究和应用的热点之一。

3、 模块化和集成化
大量的无源器件增加了电源的体积,如果我们能将这些无源器件集成在一起,不仅可以减小电源的体积也可以大大降低电源的成本,从而扩大利润。将电源系统集成在一个芯片上,就可以使电源产品更为紧凑,体积更小,同时也减小了引线长度,从而减小了寄生参数。低温共烧陶瓷(LTCC)集成技术已成为无源集成的主流技术。应用LTCC技术将电源电路中的无源器件内埋,并集成在一起,又由于在LTCC技术的基础上,可以进行三维的电路设计,从而降低电源电路的体积,同时无源器件的集成内埋,使得安装成本也相应的减少,一举两得。此外,还可以在元件选型和PCB布局上考虑,简化电路,选用小封装的元器件,进行合理紧凑的PCB Layout布局,从而进一步缩小电源的体积。
1、工作频率
提高开关电源工作频率——高频功率半导体器件:工作频率的提高可以提高功率密度。在相同的指标要求下,电路工作频率提高了,需要更高频率功率管,那么在电路中就可以使用更小的输出电感和滤波电容,这也就意味着,电感和电容的体积将大大减小,因此整个电路的体积和重量都将得到改善。但是我们必须要注意到随着开关频率的不断提高,开关元件和无源元件的损耗也增加,高频寄生参数以及高频EMI等新的问题也随之产生。
在以往的开关电源中,变压器的体积往往占据了整个电源体积的大半部分,其实提高工作频率对减小变压器的体积是非常明显的。
变压器的有效体积:

其中r是电流纹波率,即r=△I/IDC;f是开关频率
O是额定输出功率。可以看出磁芯的体积与开关频率f成反比,因此频率越高,磁芯就可以小,自然变压器的体积也小。一般的高频变压器可以轻易做到几百KHz的频率,对比一下相同功率下的工频变压器,你会发现体积相差之大。
2、采用新型变压器
随着工艺技术的提高,为进一步减小变压器的体积,可以采用平面变压器和压电变压器,可使高频功率变换器实现轻、小、薄和高功率密度。平面磁芯开发成功,可实现平面化的变压器设计。由于平面变压器要求磁芯、绕组是平面结构,所以应该采用多层PCB绕组。平面变压器的特点是高频,低造型,高度很小而工作频率很高。压电变压器利用压电陶瓷材料特有的“电压-振动”变换和“振动-电压”变换的性质传送能量,其等效电路如同一个串并联谐振电路,是功率变换领域的研究和应用的热点之一。

3、 模块化和集成化
大量的无源器件增加了电源的体积,如果我们能将这些无源器件集成在一起,不仅可以减小电源的体积也可以大大降低电源的成本,从而扩大利润。将电源系统集成在一个芯片上,就可以使电源产品更为紧凑,体积更小,同时也减小了引线长度,从而减小了寄生参数。低温共烧陶瓷(LTCC)集成技术已成为无源集成的主流技术。应用LTCC技术将电源电路中的无源器件内埋,并集成在一起,又由于在LTCC技术的基础上,可以进行三维的电路设计,从而降低电源电路的体积,同时无源器件的集成内埋,使得安装成本也相应的减少,一举两得。此外,还可以在元件选型和PCB布局上考虑,简化电路,选用小封装的元器件,进行合理紧凑的PCB Layout布局,从而进一步缩小电源的体积。
射频工程师养成培训教程套装,助您快速成为一名优秀射频工程师...
天线设计工程师培训课程套装,资深专家授课,让天线设计不再难...
上一篇:智能变电站,电子互感器必不可少!
下一篇:方案解析:浅析开关电源变压器发热原因
射频和天线工程师培训课程详情>>

