- 易迪拓培训,专注于微波、射频、天线设计工程师的培养
数据采集:智能电网管理的关键
录入:edatop.com 点击:
现代观念的智能电网由高效、可靠、随时保持有效的配电网络组成。为了达到这些目标,电网必须支持配电资源管理,例如太阳能和风能发电,据此,新型电气设备能够获得所需的新能源,例如,大量的电动汽车或现代化家电便利设施。由于人们对电网的依赖性非常大,所以正常运行时间成为关键,电网必须7x24小时不间断、高效运行。任何机械系统常见的、甚至是最普通的系统故障和缺陷都是不可容忍的。所以智能电网必须自动检测系统故障,然后快速隔离,以便快速修复。
实现这一愿景的关键是数据:高精度和动态可用性。全球范围的供电公司都采用智能电网设备,此类设备提供关于动态变化负荷的高精度、随时间变化的信息。为精确收集此类电力数据,必须同时采集所有电力线的电压和电流数据,供电公司即可了解不同相之间的时序,确保电网的正常运行时间。最关键的应用是测量三相功率,要求每条线路有多路时间对齐的模拟输入,用于测量电压和电流。
本文回顾三相系统的功率测量要求,然后介绍称为Petaluma的新型子系统参考设计,该设计监测智能电网,同时收集三相模拟数据。Petaluma为更加智能的电网数据管理提供了保证。
三相电功率测量基础知识
三相电力系统承载频率相同的三相交流电(AC),各相之间彼此相位差120°。图1所示为三相电压波形,图2所示为配置为4线Y型或星型连接的三个单相。3线Y型连接与没有零线的4线连接完全相同。零线(图2中黑色线)连接至Y型配置系统的中心点,供不平衡负载使用。如果负载恰好平衡,意味着各相电流相同,相电流彼此抵消,零线中没有电流。因此,3线连接常用于平衡负载。显而易见,线越少,消耗的铜缆就越少,系统成本越低、也更经济。

图1.三相电波形。三相均为交流电(AC),频率相同,各相之间彼此相位差为120°。

图2.4线Y型配置。负载不平衡时,使用零线(黑色)。
功率是负载上电压和电流的乘积。功率计包括电流表和电压表,一起测量电力线上的功率。对于三相三线系统,测量总功耗至少需要两个功率计,如图3所示。总功率为两个功率计的瓦特数之和。

图3.3线Y型系统负载。总功率为两个功率计的瓦特数之和。
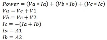
在这里,我们有必要对图3中的电路进行简要分析。以三相负载的中心点作为0V参考点。则:

因此:

现在,我们需要稍做修改。然而,仅使用两个功率计,是不能计算每相功率的;如图4所示,测量每相的功率基本要求三个功率计,每相一个,此时将零线用作地参考点。对于负载不平衡的4线三相系统,零线中有电流。尽管可对全部三相电流进行求和,从而计算得到通过零线的电流,但额外增加一个电流表来测量零线的电流更简单。此外,在发生电流故障时,这种方法提供的数据更有效。

图4.采用7路模拟输入的三相功率测量配置
如图4所示,有3个电压表和4个电流表。每个表需要一个电流变压器或电压变压器(衰减电压或电流)和一个ADC模拟输入,将模拟电压/电流信息转换为数字数据。中央控制单元负责处理这些数据并进行相应的响应。与直流电源不同,无论负载如何,每相交流电压和电流随时间发生变化。因此,ADC必须同时采样输入,以正确计算瞬态功率。一种方案是采用7个独立的ADC,每个电压表或电流表一个;中央控制单元需要连接全部并行的ADC。但这种方法存在问题。这种方法中,要求控制器和ADC之间有许多控制线,造成电路板布局较大、结构复杂,难以优化性能。为提供大量IO,控制器封装的尺寸可能也较大。有一种更好的解决方案:采用多通道ADC,这正是Petaluma子系统的解决方案。
确保高精度三相监测
高精度三相功率监测必须同时采样全部模拟输入,以高精度计算瞬态功耗。Petaluma (MAXREFDES30#)子系统参考设计(图5)是高精度模拟输入前端(AFE)。Petaluma采用16位精度和8通道操作,监测智能电网,同时收集三相模拟数据。每通道250ksps的高速采样率支持±10V输入信号,确保高精度捕获故障事件,供电公司可在单个周期内立即采取措施。
Petaluma子系统也优化用于要求多路高速、高精度、同时采样模拟输入的应用,例如多相电机控制和工业振动检测。

图5.Petaluma (MAXREFDES30#)子系统参考设计电路板。
适用于配电自动化的低功耗、完备信号链AFE
Petaluma子系统方框图如图6所示,接下来我们做进一步分析讨论。

图6. Petaluma子系统设计方框图。
Petaluma采用两片四路、超高精度超低噪声运算放大器(MAX44252),对±10V输入信号进行衰减和缓冲,以匹配ADC (MAX11046)输入范围。运算放大器采用反相配置,所以信号的ADC输入的信号极性是反相的。ADC转换结果与电压的关系式为:10-CODE/65536 × 20。
MAX11046为8通道、250ksps、16位、单电源供电、双极性、同时采样ADC。虽然ADC内部提供了4.096V电压基准,如果Petaluma使用外部高精度电压基准MAX6126,可提供更高精度。MAX6126的初始精度为0.02%,最大温度系数(tempco)为3ppm/oC。
MAX1659和MAX8881稳压器分别提供后端稳压,产生5V和10V电源。MAX765 DC-DC反相器和LM337负压LDO产生-10V电源。
Petaluma连接至FMC兼容现场可编程门阵列(FPGA)/微控制器开发板。子系统要求FMC连接器提供3.3V和12V。
针对ZedBoard平台的固件
针对ZedBoard平台发布的Petaluma固件支持Xilinx Zynq片上系统(SoC)内部的ARM Cortex-A9处理器。固件利用Xilinx SDK工具用C语言编写,基于Eclipse开源标准。固件连接硬件、收集采样并将其保存至存储器。固件接收命令,配置ADC,以支持250ksps最大采样率,通过虚拟COM端口将采样数据下载至标准终端程序。对应的固件平台文件包括代码文档。
性能测量
图7和图8所示为ADC采样的FFT图,以250ksps高采样率获得数据。这些动态测试结果表明,Petaluma子系统在信噪比和总谐波失真(THD)方面具有非常好的性能。
往往利用直流信号的直方图确定ADC系统的噪声。由于系统中存在噪声,ADC产生的结果将在主值附近。转换结果的分散性表示ADC的噪声信息。图9的直方图表明,计算得到的标准方差为0.711,非常好。此外,97.7%的转换结果在前三个中心主值之内。
注意,如要复现测试数据,要求精度高于被测件的信号源。为复现结果,必须采用低失真信号源。采用Audio Precision SYS-2722产生输入信号。利用Mitov Software的SignalLab中的FFT控件产生FFT。

图7.通道7 (AIN7)的交流FFT,采用板载电源;-10V至+10V、10kHz正弦波输入信号;250ksps采样率;Blackman-Harris窗;室温。

图8.通道7 (AIN7)的交流FFT,采用板载电源;-2.5V至+2.5V、10kHz正弦波输入信号;250ksps采样率;Blackman-Harris窗;室温。

图9.通道7 (AIN7)的直流直方图,采用板载电源;0V直流输入信号;250ksps采样率;65536个采样;编码分散性为21 LSB,97.7%的编码在三个中心LSB之内;标准偏差为0.711;室温。
总结
当今的现代化智能电网是一套智能系统,可监测配电网络,保证高效率供电,支持电网的新能源替代。这是全球成功智能电网的美好愿景和使命。该使命的核心是数据收集。智能电网必须以高精度监测三相配电网络的功率,实时并且所有相同时进行。
Petaluma子系统支持更智能的电网管理,采用八路、16位、高速、同时采样模拟输入通道,以监测和测量三相系统电能。该子系统确保高精度捕获故障事件,供电公司由此可在单周期内立即采取措施。
实现这一愿景的关键是数据:高精度和动态可用性。全球范围的供电公司都采用智能电网设备,此类设备提供关于动态变化负荷的高精度、随时间变化的信息。为精确收集此类电力数据,必须同时采集所有电力线的电压和电流数据,供电公司即可了解不同相之间的时序,确保电网的正常运行时间。最关键的应用是测量三相功率,要求每条线路有多路时间对齐的模拟输入,用于测量电压和电流。
本文回顾三相系统的功率测量要求,然后介绍称为Petaluma的新型子系统参考设计,该设计监测智能电网,同时收集三相模拟数据。Petaluma为更加智能的电网数据管理提供了保证。
三相电功率测量基础知识
三相电力系统承载频率相同的三相交流电(AC),各相之间彼此相位差120°。图1所示为三相电压波形,图2所示为配置为4线Y型或星型连接的三个单相。3线Y型连接与没有零线的4线连接完全相同。零线(图2中黑色线)连接至Y型配置系统的中心点,供不平衡负载使用。如果负载恰好平衡,意味着各相电流相同,相电流彼此抵消,零线中没有电流。因此,3线连接常用于平衡负载。显而易见,线越少,消耗的铜缆就越少,系统成本越低、也更经济。

图1.三相电波形。三相均为交流电(AC),频率相同,各相之间彼此相位差为120°。

图2.4线Y型配置。负载不平衡时,使用零线(黑色)。
功率是负载上电压和电流的乘积。功率计包括电流表和电压表,一起测量电力线上的功率。对于三相三线系统,测量总功耗至少需要两个功率计,如图3所示。总功率为两个功率计的瓦特数之和。

图3.3线Y型系统负载。总功率为两个功率计的瓦特数之和。
在这里,我们有必要对图3中的电路进行简要分析。以三相负载的中心点作为0V参考点。则:

因此:

现在,我们需要稍做修改。然而,仅使用两个功率计,是不能计算每相功率的;如图4所示,测量每相的功率基本要求三个功率计,每相一个,此时将零线用作地参考点。对于负载不平衡的4线三相系统,零线中有电流。尽管可对全部三相电流进行求和,从而计算得到通过零线的电流,但额外增加一个电流表来测量零线的电流更简单。此外,在发生电流故障时,这种方法提供的数据更有效。

图4.采用7路模拟输入的三相功率测量配置
如图4所示,有3个电压表和4个电流表。每个表需要一个电流变压器或电压变压器(衰减电压或电流)和一个ADC模拟输入,将模拟电压/电流信息转换为数字数据。中央控制单元负责处理这些数据并进行相应的响应。与直流电源不同,无论负载如何,每相交流电压和电流随时间发生变化。因此,ADC必须同时采样输入,以正确计算瞬态功率。一种方案是采用7个独立的ADC,每个电压表或电流表一个;中央控制单元需要连接全部并行的ADC。但这种方法存在问题。这种方法中,要求控制器和ADC之间有许多控制线,造成电路板布局较大、结构复杂,难以优化性能。为提供大量IO,控制器封装的尺寸可能也较大。有一种更好的解决方案:采用多通道ADC,这正是Petaluma子系统的解决方案。
确保高精度三相监测
高精度三相功率监测必须同时采样全部模拟输入,以高精度计算瞬态功耗。Petaluma (MAXREFDES30#)子系统参考设计(图5)是高精度模拟输入前端(AFE)。Petaluma采用16位精度和8通道操作,监测智能电网,同时收集三相模拟数据。每通道250ksps的高速采样率支持±10V输入信号,确保高精度捕获故障事件,供电公司可在单个周期内立即采取措施。
Petaluma子系统也优化用于要求多路高速、高精度、同时采样模拟输入的应用,例如多相电机控制和工业振动检测。

图5.Petaluma (MAXREFDES30#)子系统参考设计电路板。
适用于配电自动化的低功耗、完备信号链AFE
Petaluma子系统方框图如图6所示,接下来我们做进一步分析讨论。

图6. Petaluma子系统设计方框图。
Petaluma采用两片四路、超高精度超低噪声运算放大器(MAX44252),对±10V输入信号进行衰减和缓冲,以匹配ADC (MAX11046)输入范围。运算放大器采用反相配置,所以信号的ADC输入的信号极性是反相的。ADC转换结果与电压的关系式为:10-CODE/65536 × 20。
MAX11046为8通道、250ksps、16位、单电源供电、双极性、同时采样ADC。虽然ADC内部提供了4.096V电压基准,如果Petaluma使用外部高精度电压基准MAX6126,可提供更高精度。MAX6126的初始精度为0.02%,最大温度系数(tempco)为3ppm/oC。
MAX1659和MAX8881稳压器分别提供后端稳压,产生5V和10V电源。MAX765 DC-DC反相器和LM337负压LDO产生-10V电源。
Petaluma连接至FMC兼容现场可编程门阵列(FPGA)/微控制器开发板。子系统要求FMC连接器提供3.3V和12V。
针对ZedBoard平台的固件
针对ZedBoard平台发布的Petaluma固件支持Xilinx Zynq片上系统(SoC)内部的ARM Cortex-A9处理器。固件利用Xilinx SDK工具用C语言编写,基于Eclipse开源标准。固件连接硬件、收集采样并将其保存至存储器。固件接收命令,配置ADC,以支持250ksps最大采样率,通过虚拟COM端口将采样数据下载至标准终端程序。对应的固件平台文件包括代码文档。
性能测量
图7和图8所示为ADC采样的FFT图,以250ksps高采样率获得数据。这些动态测试结果表明,Petaluma子系统在信噪比和总谐波失真(THD)方面具有非常好的性能。
往往利用直流信号的直方图确定ADC系统的噪声。由于系统中存在噪声,ADC产生的结果将在主值附近。转换结果的分散性表示ADC的噪声信息。图9的直方图表明,计算得到的标准方差为0.711,非常好。此外,97.7%的转换结果在前三个中心主值之内。
注意,如要复现测试数据,要求精度高于被测件的信号源。为复现结果,必须采用低失真信号源。采用Audio Precision SYS-2722产生输入信号。利用Mitov Software的SignalLab中的FFT控件产生FFT。

图7.通道7 (AIN7)的交流FFT,采用板载电源;-10V至+10V、10kHz正弦波输入信号;250ksps采样率;Blackman-Harris窗;室温。

图8.通道7 (AIN7)的交流FFT,采用板载电源;-2.5V至+2.5V、10kHz正弦波输入信号;250ksps采样率;Blackman-Harris窗;室温。

图9.通道7 (AIN7)的直流直方图,采用板载电源;0V直流输入信号;250ksps采样率;65536个采样;编码分散性为21 LSB,97.7%的编码在三个中心LSB之内;标准偏差为0.711;室温。
总结
当今的现代化智能电网是一套智能系统,可监测配电网络,保证高效率供电,支持电网的新能源替代。这是全球成功智能电网的美好愿景和使命。该使命的核心是数据收集。智能电网必须以高精度监测三相配电网络的功率,实时并且所有相同时进行。
Petaluma子系统支持更智能的电网管理,采用八路、16位、高速、同时采样模拟输入通道,以监测和测量三相系统电能。该子系统确保高精度捕获故障事件,供电公司由此可在单周期内立即采取措施。
射频工程师养成培训教程套装,助您快速成为一名优秀射频工程师...
天线设计工程师培训课程套装,资深专家授课,让天线设计不再难...
上一篇:通过人体运动能量采集为可穿戴设备供电
下一篇:LED的光明前景:新驱动、新机会
射频和天线工程师培训课程详情>>

