- 易迪拓培训,专注于微波、射频、天线设计工程师的培养
面向中等功率应用的AC/DC功率管理IC
录入:edatop.com 点击:
ICE3BS03LJG是F3 PWM控制器系列中采用DSO-8封装的最新成员。它适用于功率在30W到100W之间的各种中等功率应用,譬如DVD播放器/刻录机、机顶盒、适配器等。
ICE3BS03JG是一款体积极小的多功能器件。它采用了最新的技术实现其功能和特性。由于采用了Bi-CMOS工艺,该器件具有更宽的工作电压(Vcc)范围。主动突发模式是其从之前的产品中所保留的最重要的特性,利用该特性,可与启动单元一道共同实现最低的待机功耗。频率抖动以及软栅驱动特性可以有效地降低电磁干扰(EMI),并实现更出色的电磁辐射性能。创新的传输时延补偿技术可以为宽输入范围提供一个精确的内部峰值电流限制,并且可以有效地优化转换器和输出二极管的尺寸。内置软启动功能可以有效地降低启动时开关元件的应力。
另外,它还在栓锁和自动重启模式下提供了强大的保护功能,如过温、VCC过压、线圈短路、开环、过载保护等。它还提供了一个外部栓锁保护引脚,以实现诸如输出过压、开关元件过温等用户定义的保护功能。为了改善过载保护功能,该器件集成了可调节屏蔽时间特性,以便在很短的时间内提供最大输出功率。
凭借所有的这些集成在一个微小DSO-8封装中的技术和特性,ICE3BS03LJG成为一个适用于中等功率应用的完善解决方案。
ICE3B503LJG特性如下:
500V启动单元;带有频率抖动特性的65kHz固定开关频率;采用BiCMOS工艺,VCC范围更宽;主动突发模式,可实现最低的待机功耗;采用频率抖动技术的软栅驱动,电磁干扰更低;内置软启动;采用传输时延补偿技术以实现严格的功率控制;包括VCC过压、过温以及线圈短路的栓锁保护模式;包括过载、开环、VCC欠压等保护的自动重启模式;在短时间内提供最大功率的内置及可扩展屏蔽窗口;外延栓锁保护引脚。
应用电路
由于ICE3BS03LJG是一款集成了所有的必要特性和功能的反激式PWM控制器,因此该器件的应用电路十分简单。仅需要连接少量的电容和电阻即可实现完善的电源控制功能(见图1)。

图160W, 16V/3.75A应用电路
主要实用特性
主动突发模式实现超低待机功耗
随着节能要求不断提高,低待机功耗产品成为市场的主流。英飞凌科技公司所提出的创新概念就是主动突发模式。在负载较小时,主要的功耗来自外部偏置电路损耗、芯片功耗以及开关元件的开关损耗。为了减少这些损耗,首先利用一个启动单元以消除启动电阻所带来的功率损耗。其次,英飞凌抛弃市场上大部分芯片所采用的双极工艺,采用BiCMOS工艺,从而大大降低了芯片功耗。第三,该器件采用了主动突发模式,从而通过在负载较小时交替突发“打开”和“关断”开关元件,以大大降低有效开关频率。突发模式方案十分强健,并不会使系统变得不稳定。凭借这些技术,ICE3BS03LJG可以使系统实现超低待机功耗。
对于60W的演示板,其在无负载时测得的待机功耗为58.48mW,在交流输入电压为265V,负载为0.5W时的待机功耗为0.71W(见图2)。

图2采用ICE3BS03LJG器件的电源待机功耗
主动突发模式的控制方案如下所示。
在轻负载工作期间,反馈电压随着负载的减小而降低。当VFB电压降低到1.23V以下并持续20ms后,ICE3BS03LJG进入主动突发模式。进入主动突发模式之后,反馈控制电平被改变,以便器件工作在3.0V和3.5V之间。系统将在反馈电压为3.0V时停止开关,这意味着在这种工作模式下芯片一直在调节输出电压。随后,输出电压将缓慢下降,同时反馈控制电平将缓慢上升。当反馈电压升至3.5V时,系统将开始开关操作,这意味着输出电压降低到调节范围的下限。在突发“导通”期间,电流读入阀值被降低到0.25V(正常控制的1/4),从而可以有效地降低噪声。当输出负载提高到正常负载时,反馈电压将随着输出电压的降低而增大。当它达到4.0V时,系统将脱离主动突发模式,并进入正常工作状态(见图3)。由于ICE3BS03LJG在不断监测反馈电压,负载跳变的响应速度很快,使得输出电压下降最小化。

图3主动突发模式的框图和示意图

图4在主动突发模式下测得的波形
图4是测得的波形,它示意说明了在进入以及离开主动突发模式之前和之后的工作状态。
频率抖动和软栅驱动降低电磁干扰
有许多种方式可以降低电磁干扰(EMI)。ICE3BS03LJG采用了两种最有效的方式:频率抖动和软栅驱动。
频率抖动周期性地改变开关频率,从而使得测得的能量信号不会具有一个固定的频率。相反,它会使得信号的频率在一个频率范围中平坦化。在这个频谱内测得的平均有效信号电平低于未采用频率抖动技术所测得的有效信号电平。图5给出了一个使用了ICE3BS03LJG的60W演示板的传导电磁干扰图。平均数据曲线说明具有>30dB的容限。ICE3BS03LJG所选择的频谱范围宽度为开关频率的±4%,65kHz ±2.6kHz,开关调制周期为4ms(250Hz)。

图560W ICE3BS03LJG演示板的传导EMI图
软栅驱动技术将栅级驱动斜坡分割成两段,从而使得MOSFET能够以相对于单个斜坡更慢的速度开启(见图6)。这种方式大大降低了ΔI/Δt噪声,同时还降低了EMI频谱图上反映的噪声信号。

图6软栅驱动波形
传输时延补偿技术实现严格的功率控制
对于某些应用而言,严格的功率控制十分重要,这也是大多数应用所期望的。这款芯片保留了非连续电流模式和最大峰值电流控制特性。然而,在不同输入电压下的最大功率变化仍然很大(>30%)。这是由读入端到栅控制端之间的逻辑电路的传输时延所造成的。典型的传输时延时间大约为200ns。为了保持快速的功率控制,需要进行补偿。ICE3BS03LJG利用了输入电压和占空比之间的反比关系,从而相应地自动调整峰值电流限制阈值(见图7)。最终,它可以在不同输入线压下,实现严格的功率控制。

图7传输时延补偿
对采用ICE3BS03LJG的60W演示板进行的测量表明,在较宽的输入电压范围内,峰值输出功率的变化大约为3%(见图8)。

图860W ICE3BS03LJG演示板测量结果
增强保护实现可靠系统设计
保护功能是决定系统是否可靠强健的一个重要因素。因此需要采用足够的保护措施。
ICE3BS03LJG提供了所有必需的保护功能以确保系统安全工作。它提供了两种保护功能:自动重启动和栓锁。自动重启动可实现过载、开环、Vcc欠压、光耦合器短路等保护。对于那些诸如Vcc过压、过热、线圈短路等更严重的故障,它将进入锁存保护模式。一旦进入了这种保护模式,只有在Vcc电压需要降低到6.23V以下时,才能复位到正常工作模式。该器件设置了一个灵活的外延保护引脚,从而可以满足用户定制保护的要求,如输出过压、MOSFET过热等保护。将BL引脚连接到<0.25V的电压即可方便地启用保护模式,此时芯片将进入栓锁模式。
表1是保护模式和故障条件的列表。
表1 保护模式和故障条件

过载保护功能对于电源而言十分重要,因为它可以防止电源在长时间过载状态下出现过热的情况。然而,如果保护时间太短,对特定应用而言就不够灵活。
ICE3BS03LJG提供了一个屏蔽时间方案,该方案可以在经过期望的屏蔽时间之后进入保护模式,因此它可以在提供足够保护的同时,保持一定程度的灵活性。
这个屏蔽时间方案被划分成两种模式:基本模式和扩展模式。在基本模式方案中,屏蔽时间被内置为20ms,即系统将在20ms的屏蔽时间之后进入保护状态。在扩展模式方案中,可以通过在BL引脚上增加一个外部电容(CBK)以在基本模式的基础上提高屏蔽时间,也就是说总的屏蔽时间=基本屏蔽时间+扩展屏蔽时间。
当出现过载故障时,反馈(FB)电压将会升高,直到4.0V。随后屏蔽时间方案将被激活。该方案将首先进入基本模式:20ms。如果在BL引脚上没有CBK电容,BL引脚上的电压将立刻被一个13mA的内部电流源从0.9V充电至4.0V。随后,它将立即启动自动重启动保护功能。如果BL引脚上连有一个CBK电容,那么只有在经过额外的充电时间,在BL引脚上的电压被13mA电流源从0.9V充电至4.0V时,才能启动保护功能。这个充电时间被称为扩展屏蔽时间(见图9)。

图9过载保护时的屏蔽时间的框图
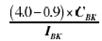
总屏蔽时间T屏蔽=基本屏蔽时间+扩展屏蔽时间=20ms+

图10给出了过载保护时在基本模式(左)以及基本加扩展模式(右)下捕获到的屏蔽时间波形。

图10 过载保护时的屏蔽时间:基本模式(左)和扩展模式(右)
结语
ICE3BS03LJG是英飞凌最新推出的一款功率控制芯片。它具有极低的待机功耗,良好的EMI特性,严格的最大功率控制,强健的保护功能等。所有的这些技术和特性使得ICE3BS03LJG成为中等功率电源应用的最佳解决方案。
ICE3BS03JG是一款体积极小的多功能器件。它采用了最新的技术实现其功能和特性。由于采用了Bi-CMOS工艺,该器件具有更宽的工作电压(Vcc)范围。主动突发模式是其从之前的产品中所保留的最重要的特性,利用该特性,可与启动单元一道共同实现最低的待机功耗。频率抖动以及软栅驱动特性可以有效地降低电磁干扰(EMI),并实现更出色的电磁辐射性能。创新的传输时延补偿技术可以为宽输入范围提供一个精确的内部峰值电流限制,并且可以有效地优化转换器和输出二极管的尺寸。内置软启动功能可以有效地降低启动时开关元件的应力。
另外,它还在栓锁和自动重启模式下提供了强大的保护功能,如过温、VCC过压、线圈短路、开环、过载保护等。它还提供了一个外部栓锁保护引脚,以实现诸如输出过压、开关元件过温等用户定义的保护功能。为了改善过载保护功能,该器件集成了可调节屏蔽时间特性,以便在很短的时间内提供最大输出功率。
凭借所有的这些集成在一个微小DSO-8封装中的技术和特性,ICE3BS03LJG成为一个适用于中等功率应用的完善解决方案。
ICE3B503LJG特性如下:
500V启动单元;带有频率抖动特性的65kHz固定开关频率;采用BiCMOS工艺,VCC范围更宽;主动突发模式,可实现最低的待机功耗;采用频率抖动技术的软栅驱动,电磁干扰更低;内置软启动;采用传输时延补偿技术以实现严格的功率控制;包括VCC过压、过温以及线圈短路的栓锁保护模式;包括过载、开环、VCC欠压等保护的自动重启模式;在短时间内提供最大功率的内置及可扩展屏蔽窗口;外延栓锁保护引脚。
应用电路
由于ICE3BS03LJG是一款集成了所有的必要特性和功能的反激式PWM控制器,因此该器件的应用电路十分简单。仅需要连接少量的电容和电阻即可实现完善的电源控制功能(见图1)。

图160W, 16V/3.75A应用电路
主要实用特性
主动突发模式实现超低待机功耗
随着节能要求不断提高,低待机功耗产品成为市场的主流。英飞凌科技公司所提出的创新概念就是主动突发模式。在负载较小时,主要的功耗来自外部偏置电路损耗、芯片功耗以及开关元件的开关损耗。为了减少这些损耗,首先利用一个启动单元以消除启动电阻所带来的功率损耗。其次,英飞凌抛弃市场上大部分芯片所采用的双极工艺,采用BiCMOS工艺,从而大大降低了芯片功耗。第三,该器件采用了主动突发模式,从而通过在负载较小时交替突发“打开”和“关断”开关元件,以大大降低有效开关频率。突发模式方案十分强健,并不会使系统变得不稳定。凭借这些技术,ICE3BS03LJG可以使系统实现超低待机功耗。
对于60W的演示板,其在无负载时测得的待机功耗为58.48mW,在交流输入电压为265V,负载为0.5W时的待机功耗为0.71W(见图2)。

图2采用ICE3BS03LJG器件的电源待机功耗
主动突发模式的控制方案如下所示。
在轻负载工作期间,反馈电压随着负载的减小而降低。当VFB电压降低到1.23V以下并持续20ms后,ICE3BS03LJG进入主动突发模式。进入主动突发模式之后,反馈控制电平被改变,以便器件工作在3.0V和3.5V之间。系统将在反馈电压为3.0V时停止开关,这意味着在这种工作模式下芯片一直在调节输出电压。随后,输出电压将缓慢下降,同时反馈控制电平将缓慢上升。当反馈电压升至3.5V时,系统将开始开关操作,这意味着输出电压降低到调节范围的下限。在突发“导通”期间,电流读入阀值被降低到0.25V(正常控制的1/4),从而可以有效地降低噪声。当输出负载提高到正常负载时,反馈电压将随着输出电压的降低而增大。当它达到4.0V时,系统将脱离主动突发模式,并进入正常工作状态(见图3)。由于ICE3BS03LJG在不断监测反馈电压,负载跳变的响应速度很快,使得输出电压下降最小化。

图3主动突发模式的框图和示意图

图4在主动突发模式下测得的波形
图4是测得的波形,它示意说明了在进入以及离开主动突发模式之前和之后的工作状态。
频率抖动和软栅驱动降低电磁干扰
有许多种方式可以降低电磁干扰(EMI)。ICE3BS03LJG采用了两种最有效的方式:频率抖动和软栅驱动。
频率抖动周期性地改变开关频率,从而使得测得的能量信号不会具有一个固定的频率。相反,它会使得信号的频率在一个频率范围中平坦化。在这个频谱内测得的平均有效信号电平低于未采用频率抖动技术所测得的有效信号电平。图5给出了一个使用了ICE3BS03LJG的60W演示板的传导电磁干扰图。平均数据曲线说明具有>30dB的容限。ICE3BS03LJG所选择的频谱范围宽度为开关频率的±4%,65kHz ±2.6kHz,开关调制周期为4ms(250Hz)。

图560W ICE3BS03LJG演示板的传导EMI图
软栅驱动技术将栅级驱动斜坡分割成两段,从而使得MOSFET能够以相对于单个斜坡更慢的速度开启(见图6)。这种方式大大降低了ΔI/Δt噪声,同时还降低了EMI频谱图上反映的噪声信号。

图6软栅驱动波形
传输时延补偿技术实现严格的功率控制
对于某些应用而言,严格的功率控制十分重要,这也是大多数应用所期望的。这款芯片保留了非连续电流模式和最大峰值电流控制特性。然而,在不同输入电压下的最大功率变化仍然很大(>30%)。这是由读入端到栅控制端之间的逻辑电路的传输时延所造成的。典型的传输时延时间大约为200ns。为了保持快速的功率控制,需要进行补偿。ICE3BS03LJG利用了输入电压和占空比之间的反比关系,从而相应地自动调整峰值电流限制阈值(见图7)。最终,它可以在不同输入线压下,实现严格的功率控制。

图7传输时延补偿
对采用ICE3BS03LJG的60W演示板进行的测量表明,在较宽的输入电压范围内,峰值输出功率的变化大约为3%(见图8)。

图860W ICE3BS03LJG演示板测量结果
增强保护实现可靠系统设计
保护功能是决定系统是否可靠强健的一个重要因素。因此需要采用足够的保护措施。
ICE3BS03LJG提供了所有必需的保护功能以确保系统安全工作。它提供了两种保护功能:自动重启动和栓锁。自动重启动可实现过载、开环、Vcc欠压、光耦合器短路等保护。对于那些诸如Vcc过压、过热、线圈短路等更严重的故障,它将进入锁存保护模式。一旦进入了这种保护模式,只有在Vcc电压需要降低到6.23V以下时,才能复位到正常工作模式。该器件设置了一个灵活的外延保护引脚,从而可以满足用户定制保护的要求,如输出过压、MOSFET过热等保护。将BL引脚连接到<0.25V的电压即可方便地启用保护模式,此时芯片将进入栓锁模式。
表1是保护模式和故障条件的列表。
表1 保护模式和故障条件

过载保护功能对于电源而言十分重要,因为它可以防止电源在长时间过载状态下出现过热的情况。然而,如果保护时间太短,对特定应用而言就不够灵活。
ICE3BS03LJG提供了一个屏蔽时间方案,该方案可以在经过期望的屏蔽时间之后进入保护模式,因此它可以在提供足够保护的同时,保持一定程度的灵活性。
这个屏蔽时间方案被划分成两种模式:基本模式和扩展模式。在基本模式方案中,屏蔽时间被内置为20ms,即系统将在20ms的屏蔽时间之后进入保护状态。在扩展模式方案中,可以通过在BL引脚上增加一个外部电容(CBK)以在基本模式的基础上提高屏蔽时间,也就是说总的屏蔽时间=基本屏蔽时间+扩展屏蔽时间。
当出现过载故障时,反馈(FB)电压将会升高,直到4.0V。随后屏蔽时间方案将被激活。该方案将首先进入基本模式:20ms。如果在BL引脚上没有CBK电容,BL引脚上的电压将立刻被一个13mA的内部电流源从0.9V充电至4.0V。随后,它将立即启动自动重启动保护功能。如果BL引脚上连有一个CBK电容,那么只有在经过额外的充电时间,在BL引脚上的电压被13mA电流源从0.9V充电至4.0V时,才能启动保护功能。这个充电时间被称为扩展屏蔽时间(见图9)。

图9过载保护时的屏蔽时间的框图
总屏蔽时间T屏蔽=基本屏蔽时间+扩展屏蔽时间=20ms+

图10给出了过载保护时在基本模式(左)以及基本加扩展模式(右)下捕获到的屏蔽时间波形。

图10 过载保护时的屏蔽时间:基本模式(左)和扩展模式(右)
结语
ICE3BS03LJG是英飞凌最新推出的一款功率控制芯片。它具有极低的待机功耗,良好的EMI特性,严格的最大功率控制,强健的保护功能等。所有的这些技术和特性使得ICE3BS03LJG成为中等功率电源应用的最佳解决方案。
射频工程师养成培训教程套装,助您快速成为一名优秀射频工程师...
射频和天线工程师培训课程详情>>

