- 易迪拓培训,专注于微波、射频、天线设计工程师的培养
零电压开关预燃电源的研究
录入:edatop.com 点击:
1 引言
脉冲氙灯是高功率脉冲激光电源常用的泵浦灯,在重复率较低的情况下,一般需要在脉冲大电流放电之前加上预燃电流。这样有利于延长氙灯寿命,提高泵浦效率,减小点火脉冲引起的射频干扰和电磁干扰,可以消除由高压点火带来的紫外辐射。
对于两支串联的110 mm×Φ7 mm脉冲氙灯,在触发前,电极两端应维持1 500 V左右的着火高压;当触发高压(15 kV左右)在1~2 μs内形成弧光放电,氙灯的等效电阻迅速减小,灯内形成稳定的预燃电流。对于10 Hz的重复率脉冲氙灯,其预燃电流一般应维持在120 mA左右。这种预燃电源取代了以往用大功率电阻来限流的方法,使电源的效率有了很大提高。其特点是:1)着火电压与预燃电流分别由不同电路提供,这样可以分别调节着火电压和主回路预燃电流;2)采用零电压开关的软开关技术,减小功率开关管的开关损耗,提高谐振频率,减小电源的体积;3)一般氙灯的负载既有短路(主回路大电流放电时)又有断路(触发前)的情况,主回路采用串并联准谐振电路,使负载在开路或短路时都不影响主回路谐振,能够可靠稳定的工作。
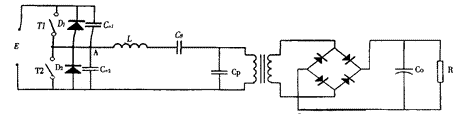
预燃电源的原理图如图1所示。其中预燃电路的主回路采用零电压串并联准谐振型开关电源,着火电压由倍压电路提供,采用外触发方式。

图1 预燃电源的原理图
VDMOS驱动隔离电路如图2(a)所示,相应的栅源两端的电压Ugs(f=100 kHz)波形如图2(b)所示。从波形图可见,用快速光耦6N136来提供驱动隔离,用比较器LM311来对驱动信号进行整形,两个三极管采用图腾柱结构进行驱动,使得驱动信号的上升沿和下降沿都很陡,VDMOS在很高开关频率的情况下能快速的导通和关断。


图2 VDMOS驱动隔离电路及其驱动波形
2 零电压串并联准谐振逆变器的研究
2.1 零电压串并联准谐振逆变器的数学分析
零电压串联准谐振逆变器的原理图如图3所示;1个开关周期逆变器各谐振状态(只画出前4个)等效原理图如图4所示,相应波形如图5所示。

图3 零电压开关逆变器原理图

图4 1个开关周期逆变器各状态等效原理图

图5 逆变器工作波形图
逆变器在1个周期内的工作过程可分为8个状态,由于后4个与前4个是一一反对称的,因此只对前4个状态进行数学分析[3]。首先假设:1)开关管开通时谐振电流近似为零;2)在第1、3、4状态,励磁电流近似为零。
以下状态方程中各参数定义为:i为谐振电流,Cn为各状态等效谐振电容,L为等效谐振电感,Uc为等效谐振电容上电压。
1)t0~t1:如图4(a)所示。在t0时刻,功率开关管T1开通,谐振电流给Cp充电,励磁电流几乎为零。
初始条件为
i(t0)=i0=0 Uc(t0)=Uc0
谐振回路的状态方程为

解以上方程得
Uc(t)=E+(Uc0-E)cos[ω1(t-t0)] (1)
i(t)=[(E-Uc0)/Z1]sin[ω1(t-t0)] (2)
式中
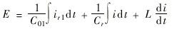
2)t1~t2:如图4(b)所示。谐振电流的大部分用以产生励磁电流,为负载提供电流I0,直至T1关断为止。
初始条件为 i(t1)=i1 Uc(t1)=Uc1
谐振回路的状态方程为
解以上方程得
Uc(t)=E+(Uc1-E)cos[ω2(t-t1)]+i1z2sin[ω2(t-t1)] (3)
i(t)=[E-Uc1/Z2]sin[ω1(t-t1)]+i1cos[ω2(t-t1)] (4)
式中 C2=Cs ω2=1/LC2 z2=L/C2
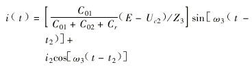
3)t2~t3:如图4(c)所示。在t2时刻,T1零电压关断,C01开始充电,同时C02开始放电,直至C01两端为电源电压E,而C02两端电压为0为止。
初始条件为
i(t2)=i2 Uc(t2)=Uc2
谐振回路的状态方程为
ir1+ir2=i
解以上方程得
(5)
(6)式中
4)t3~t4:如图4(d)所示。在t3时刻,与T2并联的二极管D2导通,谐振电流通过D2回零,直至T2导通为止。
初始条件为
i(t3)=i3 Uc(t3)=Uc3
谐振回路的状态方程为
解以上方程得
Uc(t)=(Uc3-E)cos[ω4(t-t3)] (7)
i(t)=[(E-Uc3)/Z4]sin[ω4(t-t3)]+i3 (8)
式中
2.2 零电压开关串并联准谐振回路参数的选取
通过实验及数学分析可知,预燃时谐振电流imax的大小决定了在零电压开关时电源最大输出功率的大小。imax可近似由下式确定:
在零电压开关时,开关频率的大小近似由下式确定(f0略小于fr):
f0=fr=1/2π
因此,在给定开关频率和最大输出功率的条件下,可以近似确定L和Cp。对于100 W左右的输出功率,Cs一般取大于10 Cp即可。
通过实验发现,C01、C02的大小对谐振频率没有影响,只影响VDMOS关断瞬间,C01、C02的充放电速度。C01、C02越大,开关管实现零电压开通所对应的最大导通时间越小,电源的最大输出功率越小。
2.3 实现零电压开关的条件
通过调节功率开关管的导通时间和截止时间,可以控制电源的输出功率,但会影响零电压开关的实现。实现零电压开通时,图3中A点的电压波形如图6(a)所示。下面分3种情况进行讨论。
1)导通时间大于T1[图3中A点的波形如图6(b)所示]由(2)式和(4)式可得
2)截止时间小于T2[图3中A点的波形如图6(c)所示]其中T2由Uc01=(1/C01)∫T20(1/2)dt=E式求出。
3)截止时间大于T2+T3[图3中A点的波形如图6(d)所示]由(8)式[(E-Uc3)/Z4]sinω4T3=0可求出T3。

图6 图3中A点电压波形
从波形图可见,以上3种情况都不能实现零电压开通,在开关管非零电压导通瞬间,会产生很大的尖峰电流,功率开关管的开通损耗很大,VDMOS严重发热。应避免使功率开关管工作在这3种情况下。
作者:叶志生
射频工程师养成培训教程套装,助您快速成为一名优秀射频工程师...
天线设计工程师培训课程套装,资深专家授课,让天线设计不再难...
上一篇:新型半导体照明锂电池矿用帽灯
下一篇:基于Multisim的直流稳压电源设计
射频和天线工程师培训课程详情>>

