- 易迪拓培训,专注于微波、射频、天线设计工程师的培养
TOP250y在大功率开关电源中的应用
录入:edatop.com 点击:
TOPSwitch电源技术是近年来迅速发展的一种开关电源技术,因其在体积、效率和可靠性等方面的优势,目前在通信、计算机和家用电器等众多领域中得到了非常广泛的应用。但由于前几代TOPSwitch遍存在输出功率受限的不足之处,使其在要求有较大输出功率的电源应用中受到很大的限制。针对这种情况, Power Integrations公司推出了TOPSwitch的第四代单芯片高压IC系列: TOPSwitch-GX系列。
TOPSwitch-GX单芯片高压IC 系列将高压功率MOSFET、PWM控制、故障保护和其他控制电路等高性价比地集成在单片CMOS芯片上。其内建特性包括用于在启动时消除过冲和降低元件应力的软启动、减小EMI 的频率抖动、欠压保护和过压保护、可编程限流等优异特性。
与TOPSwitch-GX系列其它产品一样,因为其采用了单芯片控制的设计理念,而且TOP250y只有很少的三四个外围元器件,这就使得相同设计的电源尺寸更小、待机效率更高、系统成本更低,并保持了用途广泛和设计简单的特色,使电源设计能为290W以下的应用创造出高性价比的方案。
本文具体分析了TOP250y开关电源的工作原理,并详细介绍了TOP250y型芯片在大功率开关电源应用中关键电路参数的设计方法,并给出了设计实例。该实例中电源最大输出功率达到了288 W,对单芯片TOPSwitch在大功率开关电源领域内的应用研究具有指导意义。
TOP250Y开关电源的基本原理
TOP250y型芯片有六个管脚:D、S、C、F、X、L,简单的TO220-7C 封装外形简图如图1所示。

图1 TOP250y封装外形图
图1各管脚功能如下:
漏极管脚(D):高压功率MOSFET漏极输出。控制管脚(C):用于调节占空比的误差放大器与电流输入脚。
源极管脚(S):将其连接至输出MOSFET源极时可得到高压功率回馈。
电压检测管脚(L):具有欠压保护、过压保护、减少Dmax的线性前馈及远程开关等功能。外部限流管脚(X):用于外部电流限制值设置的输入脚。
频率管脚(F):用于选择开关频率的输入脚。由TOP250y构成288W(24V/12A)大功率高效开关电源的电路如图2所示。

图2 由TOP250y构成的开关电源电路
其交流输入电压范围是交流176~264V ,满载时电源效率可达86%。交流电压UI 依次经过电磁干扰(EMI) 滤波器(C1,L1)、输入整流滤波器(V1,C2) 获得直流高压。直流高压经过R1 后接N1 的L端,为TOP250y提供电压前馈信号,实现过压保护、欠压保护以及使电源随输入电压改变Dmax功能。这里将N1的X 脚接地,使TOP250y 工作在最大占空比,因此,即使在宽范围输入时,电源也能达到最大连续输出功率PoM=290W。将N1的F脚接地,使TOP250y工作在较高的132kHz频率上,采用这种设计方法允许高频变压器选用尺寸较小的磁芯,并防止出现磁饱和现象。
次级电压经过V5,C8~C11,L2和C12整流滤波后,获得+ 24V/12A的稳压输出。C8~C11滤除纹波电压,L2和C12则用来消除开关噪声。该电源采用一个简单的串联稳压管方式的光耦反馈电路。E1为4N25型线性光耦合器。V7和V8分别采用1N963 和1N962 型稳压管。其稳压原理如下:当由于某种原因致使输出电压Uo↑,所产生的误差电压使E1中LED的IF↑,光耦接收管的IE↑,使得N1 控制端电流Ic↑,而占空比D ↓,导致Uo↓,从而实现了稳压目的。反之, Uo↓→I F↓→I E↓→Ic↓→D↑→Uo↑,同样起到稳压作用。
当开关电源空载时,TOP250y能采用跳过周期的方式极大地降低最大输出占空比,使得Dmax6和C14为次级提供软启动,C14为软启动电容,能消除刚接通电源时产生的电压过冲现象,使反馈绕组提供给N1的C脚电压先于输出电压,这样就保证了即使在低输入电压和满载情况下,也能使输出电压在启动时正常调整。电阻R5和电容C13构成控制环路补偿电路。
反馈绕组电压经过V4和C5整流滤波后,产生12 V的反馈电压,经过E1 给TOP250y 的控制端提供偏压。C4 是旁路电容,它还与R3 和C3 构成控制环路的补偿电路。
齐纳箝位管V2、超快速二极管V3、电阻R2和电容C6组成尖峰吸收电路。用于吸收在TOP250y关断时由高频变压器漏感产生的尖峰电压, 对TOP250y中MOSFET管的漏极起到保护作用。
由于V2上并联R2和C6,在正常工作时,R2几乎承担了所有的泄放能量,而在启动或超载的情况下,V2又限制了尖峰电压不超过N1中MOSFET管的安全电压(700V)。
关键电路设计与实例
举例电路参数: 交流UI=176~264V, f=132kHz, D =0.5, Uo=24V, Io=12A, Po=288W,纹波≤1%。
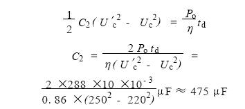
输入滤波电容的设计
考虑市电掉一个脉冲的时间是10 ms ,取电源输出的保持时间td=10ms ,电容C2 上的直流电压从250V(176V×1.414)下降到220 V后,输出才开始下降。故

取标准值C2 = 470μF
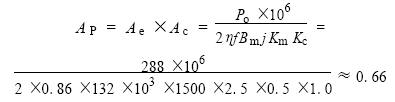
变压器磁芯的选择
实际功率容量乘积计算:

PQ3535的功率容量乘积为1.72 ,为0.66的3倍,如果按50%的余量计算,在132kHz开关频率工作时,PQ3535的输出功率可达375W ,因此设计值为288W是充分留有余量的。
变压器的各电参数设计
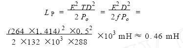
a.计算初级绕组的电感量

b.计算变压器初级绕组匝数

取初级匝数约为36 匝。
c. 计算变压器次级绕组匝数

取次级匝数约为5 匝,并在绕制工艺上采用铜箔绕制,这样既满足了大电流输出,又解决了趋肤效应问题。
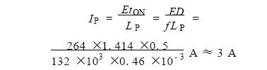
d. 计算变压器初级绕组上的最大峰值电流

TOP250Y的标称电流为6A,所以设计是完全合理的。
e. 计算变压器磁芯的气隙长度
取Lg=0.12cm,在加工工艺上采用磨制气隙工艺,以保证加工的可靠性和可行性。
功率二极管的设计

UDR≥(5~6)Uo,在120~144V之间取值。
本例中V4 实际选用超快速二极管MUR3020(15A/200V),完全符合设计要求。
输出滤波电容的设计
输出滤波电容等效ESR 可用下列经验公式计算设计

依据上述计算参数及耐压要求,查手册实际选用四只35V/1000μF电容并联,其等效ESR 约为0.017Ω,满足设计要求。
尖峰吸收电路和环路控制频率补偿电路的设计
尖峰吸收电路和环路控制频率补偿电路的设计也可由相应公式得到,但由于电路元器件参数差别和加工工艺的影响,上述两种电路参数的设计还需要大量实验数据验证,因此仅给出本电源设计的参数,这里就不再赘述了。
试验结果
通过用LeCroy公司生产的电源专用示波器测试,得到本电源设计的主要试验结果如下:
Po = 290.402W;空载功耗≤1.48W; 线性调整率≤±0.97%;负载调整率≤±1.74%; 纹波≤0.95%;效率≥86.1%。
结 语
根据上述理论, 成功设计了一种新一代TOPSwitch控制的大功率开关电源。不仅证明了设计方法的正确,而且整个电路设计简洁,电源可靠性也得到很大提高。随着对TOPSwitch的进一步研究,由新一代TOPSwitch控制的大功率开关电源必将得到更加广泛的应用。
TOPSwitch-GX单芯片高压IC 系列将高压功率MOSFET、PWM控制、故障保护和其他控制电路等高性价比地集成在单片CMOS芯片上。其内建特性包括用于在启动时消除过冲和降低元件应力的软启动、减小EMI 的频率抖动、欠压保护和过压保护、可编程限流等优异特性。
与TOPSwitch-GX系列其它产品一样,因为其采用了单芯片控制的设计理念,而且TOP250y只有很少的三四个外围元器件,这就使得相同设计的电源尺寸更小、待机效率更高、系统成本更低,并保持了用途广泛和设计简单的特色,使电源设计能为290W以下的应用创造出高性价比的方案。
本文具体分析了TOP250y开关电源的工作原理,并详细介绍了TOP250y型芯片在大功率开关电源应用中关键电路参数的设计方法,并给出了设计实例。该实例中电源最大输出功率达到了288 W,对单芯片TOPSwitch在大功率开关电源领域内的应用研究具有指导意义。
TOP250Y开关电源的基本原理
TOP250y型芯片有六个管脚:D、S、C、F、X、L,简单的TO220-7C 封装外形简图如图1所示。

图1 TOP250y封装外形图
图1各管脚功能如下:
漏极管脚(D):高压功率MOSFET漏极输出。控制管脚(C):用于调节占空比的误差放大器与电流输入脚。
源极管脚(S):将其连接至输出MOSFET源极时可得到高压功率回馈。
电压检测管脚(L):具有欠压保护、过压保护、减少Dmax的线性前馈及远程开关等功能。外部限流管脚(X):用于外部电流限制值设置的输入脚。
频率管脚(F):用于选择开关频率的输入脚。由TOP250y构成288W(24V/12A)大功率高效开关电源的电路如图2所示。

图2 由TOP250y构成的开关电源电路
其交流输入电压范围是交流176~264V ,满载时电源效率可达86%。交流电压UI 依次经过电磁干扰(EMI) 滤波器(C1,L1)、输入整流滤波器(V1,C2) 获得直流高压。直流高压经过R1 后接N1 的L端,为TOP250y提供电压前馈信号,实现过压保护、欠压保护以及使电源随输入电压改变Dmax功能。这里将N1的X 脚接地,使TOP250y 工作在最大占空比,因此,即使在宽范围输入时,电源也能达到最大连续输出功率PoM=290W。将N1的F脚接地,使TOP250y工作在较高的132kHz频率上,采用这种设计方法允许高频变压器选用尺寸较小的磁芯,并防止出现磁饱和现象。
次级电压经过V5,C8~C11,L2和C12整流滤波后,获得+ 24V/12A的稳压输出。C8~C11滤除纹波电压,L2和C12则用来消除开关噪声。该电源采用一个简单的串联稳压管方式的光耦反馈电路。E1为4N25型线性光耦合器。V7和V8分别采用1N963 和1N962 型稳压管。其稳压原理如下:当由于某种原因致使输出电压Uo↑,所产生的误差电压使E1中LED的IF↑,光耦接收管的IE↑,使得N1 控制端电流Ic↑,而占空比D ↓,导致Uo↓,从而实现了稳压目的。反之, Uo↓→I F↓→I E↓→Ic↓→D↑→Uo↑,同样起到稳压作用。
当开关电源空载时,TOP250y能采用跳过周期的方式极大地降低最大输出占空比,使得Dmax6和C14为次级提供软启动,C14为软启动电容,能消除刚接通电源时产生的电压过冲现象,使反馈绕组提供给N1的C脚电压先于输出电压,这样就保证了即使在低输入电压和满载情况下,也能使输出电压在启动时正常调整。电阻R5和电容C13构成控制环路补偿电路。
反馈绕组电压经过V4和C5整流滤波后,产生12 V的反馈电压,经过E1 给TOP250y 的控制端提供偏压。C4 是旁路电容,它还与R3 和C3 构成控制环路的补偿电路。
齐纳箝位管V2、超快速二极管V3、电阻R2和电容C6组成尖峰吸收电路。用于吸收在TOP250y关断时由高频变压器漏感产生的尖峰电压, 对TOP250y中MOSFET管的漏极起到保护作用。
由于V2上并联R2和C6,在正常工作时,R2几乎承担了所有的泄放能量,而在启动或超载的情况下,V2又限制了尖峰电压不超过N1中MOSFET管的安全电压(700V)。
关键电路设计与实例
举例电路参数: 交流UI=176~264V, f=132kHz, D =0.5, Uo=24V, Io=12A, Po=288W,纹波≤1%。
输入滤波电容的设计
考虑市电掉一个脉冲的时间是10 ms ,取电源输出的保持时间td=10ms ,电容C2 上的直流电压从250V(176V×1.414)下降到220 V后,输出才开始下降。故

取标准值C2 = 470μF
变压器磁芯的选择
实际功率容量乘积计算:

PQ3535的功率容量乘积为1.72 ,为0.66的3倍,如果按50%的余量计算,在132kHz开关频率工作时,PQ3535的输出功率可达375W ,因此设计值为288W是充分留有余量的。
变压器的各电参数设计
a.计算初级绕组的电感量

b.计算变压器初级绕组匝数

取初级匝数约为36 匝。
c. 计算变压器次级绕组匝数

取次级匝数约为5 匝,并在绕制工艺上采用铜箔绕制,这样既满足了大电流输出,又解决了趋肤效应问题。
d. 计算变压器初级绕组上的最大峰值电流

TOP250Y的标称电流为6A,所以设计是完全合理的。
e. 计算变压器磁芯的气隙长度
取Lg=0.12cm,在加工工艺上采用磨制气隙工艺,以保证加工的可靠性和可行性。
功率二极管的设计

UDR≥(5~6)Uo,在120~144V之间取值。
本例中V4 实际选用超快速二极管MUR3020(15A/200V),完全符合设计要求。
输出滤波电容的设计
输出滤波电容等效ESR 可用下列经验公式计算设计

依据上述计算参数及耐压要求,查手册实际选用四只35V/1000μF电容并联,其等效ESR 约为0.017Ω,满足设计要求。
尖峰吸收电路和环路控制频率补偿电路的设计
尖峰吸收电路和环路控制频率补偿电路的设计也可由相应公式得到,但由于电路元器件参数差别和加工工艺的影响,上述两种电路参数的设计还需要大量实验数据验证,因此仅给出本电源设计的参数,这里就不再赘述了。
试验结果
通过用LeCroy公司生产的电源专用示波器测试,得到本电源设计的主要试验结果如下:
Po = 290.402W;空载功耗≤1.48W; 线性调整率≤±0.97%;负载调整率≤±1.74%; 纹波≤0.95%;效率≥86.1%。
结 语
根据上述理论, 成功设计了一种新一代TOPSwitch控制的大功率开关电源。不仅证明了设计方法的正确,而且整个电路设计简洁,电源可靠性也得到很大提高。随着对TOPSwitch的进一步研究,由新一代TOPSwitch控制的大功率开关电源必将得到更加广泛的应用。
射频工程师养成培训教程套装,助您快速成为一名优秀射频工程师...
射频和天线工程师培训课程详情>>

