- 易迪拓培训,专注于微波、射频、天线设计工程师的培养
开关电源原理与设计(连载三十四)交流输出半桥式变压器开关电源
根据电磁感应定律可以对变压器初级线圈N1绕组回路列出方程:
e1 = N1*dΦ/dt =Uab —— K1接通期间 (1-156)
上式中,e1为变压器初级线圈产生的电动势, Uab为电源加于变压器初级线圈N1绕组两端的电压,Uab =Ui/2 , dΦ/dt为变压器铁心中磁通的变化率。这里我们假定电容器C1或C2两端的电压在K1接通期间基本保持不变,其两端电压正好等于输入电压Ui的二分之一。
同样,可以对变压器次级线圈N2绕组回路列出方程:
e2 = N2 *dΦ/dt =(Up)—— K1接通期间 (1-157)
上式中,(Up)为开关变压器次级线圈N2绕组正激输出电压的幅值,用括弧匡住来表示。由于流过开关变压器初级线圈N1绕组的励磁电流或开关变压器铁心中的磁通是线性变化的,所以我们可认为开关变压器次级线圈N2绕组正激输出电压是一个方波。方波的幅值Up与半波平均值Upa以及有效值Uo三者完全相等。
根据(1-156)式和(1-157)式可以求得:
(Up)= e2 =ne1 = nUi/2 —— K1接通期间 (1-158)
(1-158)式就是半桥式变压器开关电源正激输出时的电压关系式。上式中,(Up)为开关变压器次级线圈N2绕组正激输出电压的幅值;Ui为开关电源变压器初级线圈N1绕组的输入电压;n为变压器次、初级线圈的变压比,即:开关变压器次级线圈输出电压与初级线圈输入电压之比,n也可以看成是开关变压器次级线圈N2绕组与初级线圈N1绕组的匝数比,即:n = N2/N1。
由此可知,在控制开关K1接通期间,半桥式变压器开关电源变压器次级输出的正激电压幅值只与输入电压和变压器的次/初级变压比有关系。
同理我们也可以求得,当控制开关K2接通时,开关变压器N2线圈绕组输出的正激电压幅值(Up-)为:
(Up-)= -e2 =-ne1 = -nUi/2 —— K2接通期间 (1-159)
上式中的负号表示e2的符号与(1-158)中的符号相反,(Up-)表示与(Up)的极性相反,因为Uab =-Uba 。
这里还需指出,(1-158)式和(1-159)式列出的计算结果,并没有考虑控制开关K1或K2关断瞬间,励磁电流存储的能量产生反电动势的影响。当控制开关K1或K2关断瞬间,流过开关变压器初级线圈的励磁电流由最大值突然下降为零,使开关变压器铁心中的磁通量也要跟着产生变化;即:开关变压器的初、次级线圈中都会产生感应电动势,这种感应电动势是励磁电流存储于关变压器铁心中的磁能量产生的;这种感应电动势对于变压器次级线圈电压输出绕组来说,属于反激式输出。即:半桥式变压器开关电源同时存在正、反激电压输出。
反激式电压产生的原因是因为K1或K2接通瞬间变压器初级或次级线圈中的电流初始值不等于零,或磁通的初始值不等于零。
实际上,半桥式变压器开关电源的反激式输出电压部分是不能忽略的。半桥式变压器开关电源变压器次级线圈的输出电压应该同时包括两部分,正激输出电压和反激输出电压。
因此,图1-36中,当控制开关K1关断,K2接通瞬间,开关变压器次级线圈输出电压应该等于正激电压与反激电压之和。正激电压的计算可由(1-158)和(1-159)式给出,反激电压的计算可由(1-67)或(1-68)式给出。关于纯电阻负载反激式输出电压的计算,请参考前面《1-5-1.单激式变压器开关电源的工作原理》章节中的相关内容分析,这里不再赘述。
根据(1-67)式

上式中,[uo] 表示开关变压器次级线圈N2绕组输出的反激式电压,[i2] 表示开关变压器次级线圈N2绕组输出反激式电压对负载R产生的电流。
另外根据(1-159)式求得的结果,开关变压器次级线圈N2绕组产生的正激式输出电压为:
(uo)=-ne1 = -nUi/2 —— K2接通期间 (1-161)
上面两式中,[uo] 表示开关变压器次级线圈N2绕组产生的反激式输出电压,(uo)表示开关变压器次级线圈N2绕组产生的正激式输出电压。
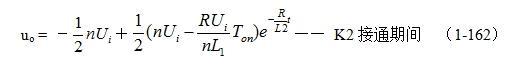
因此,开关变压器次级线圈输出电压uo等于正激电压(uo)与反激电压[uo]之和,即:

(1-162)式就是半桥式变压器开关电源在负载为纯电阻时,输出电压uo的表达式。由(1-162)式可以看出,当t = 0时,即:控制开关K1关断瞬间,输出电压有最大值:

从(1-163)式可以看出,在控制开关K1关断瞬间,当变压器次级线圈回路负载开路,或负载很轻的时候,变压器次级线圈回路会产生非常高的反电动势。
但在实际应用中,并不完全是这样。因为,当控制开关K1关断瞬间,控制开关K2也会同时接通,此时开关变压器初级线圈N1绕组同时也被接到另一个电路中,即:原来K1接通时,由C1电源(充满电后的电容可看成是一个电源)对开关变压器初级线圈N1绕组进行供电,现在K2接通后,转换成由C2电源对开关变压器初级线圈N1绕组进行供电。
当K2刚接通的瞬间,N1绕组产生的反电动势正好与C2电源电压的方向相反,因此,在K2接通瞬间,C2电源不是马上对开关变压器初级线圈N1绕组进行供电,而是N1绕组产生的反电动势首先对电容器C2进行充电;相当于在控制开关K2接通瞬间,开关变压器初级线圈N1绕组存储的磁能量有一部分要被电容器C2吸收,待反电动势的能量基本被吸收完后,电容器C2才开始对变压器初级线圈N1绕组供电。
射频工程师养成培训教程套装,助您快速成为一名优秀射频工程师...

