- 易迪拓培训,专注于微波、射频、天线设计工程师的培养
变换器型开关电源负载效应简析
1 前言
由市电供电的变换器型开关电源具有隔离功能。这类电源使用多了,就会发现:尽管它们电路结构不同,性能差异也大,然而它们的负载效应总是劣于源电压效应。本文对这一问题进行简析。
2 电压控制型变换器式开关电源
2.1 整体电路结构框图
通常的电压控制型变换器式开关电源的电路结构如图1所示。市电经整流滤波环节进入变换器后,再经高频整流滤波器至输出端负载。负载端电压经反馈误差放大器放大,回馈到PWM环节,进而调节变换器的输出脉宽,以稳定负载端电压。

2.2 负载调整率估算
2.2.1 梗概计算
由市电供电的变换器型开关电源,其源电压效应通常都优于负载效应。负载调整率可以用式(1)表示 。

(1)
式中:△Uoi—加额定负载电流时在输出端产生的电压降落(V);
Uo—开关电源空载时的额定输出电压(V);
K—误差放大器的电压放大倍数。
2.2.2 开关电源负载波动时整流滤波电压的波动
从开关电源负载电流由零到额定负载时,工频整流滤波直流电压E随之衰减,衰减值
△E的百分比与滤波电容容量和负载大小有关,可参照桥式整流输出电压E/Um与ωCRL关系曲线予以估算(见图2)。
图中: E —整流滤波电压平均值(V),E=Y1×1.4142Ui;
Y1—左边纵坐标数值;
Um—整流电压峰值(V), Um=1.4142Ui;
Ui—电网电压(V);
Y2—右边纵坐标数值;
Rn—包括电网和整流管正向压降等在内的整流滤波电路的总内阻(Ω);
Rl—实际负载电阻(Ω);
ω—电网角频率,ω=2πf(弧度);
f——电网频率,(Hz);
C—滤波电容容量(F)。
不难看出,总内阻Rn越大,实际输出的整流滤波电压E的衰减比例也越大,曲线也就越往下面移。

小功率变换器式开关电源在额定负载时,(Rn/Rl) ≈0.005;空载时(Rn/Rl) ≈0.002。查图2相应曲线,可得两种状态的E值之差△E≈E(2.0~3.0)%。
2.2.3 变换器中变压器原边电阻的影响
考虑到开关电源的效率和体积,变换器中的变压器尽量选择小型化,绕组漆包线也要相应细一些,因此绕组电阻也较大;当流过较大电流时,绕组就会产生较大压降(铜损),影响负载调整率。原边绕组的电阻值用Rw1表示。
2.2.4 变换器中功率MOSFET漏-源极间的电压降波动
小功率变换器中功率MOSFET的导通电阻RON较大,可达10Ω以上,当开关电源负载波动时,必然引发功率MOSFET的压降波动,这同样影响着负载调整率。
2.2.5 变压器副边绕组电阻和高频整流管压降随负载波动而波动
这是不言而喻的,副边绕组电阻用Rw3表示,高频整流管压降用VD表示。 [p]
2.2.6 输出电压的综合变化
将以上对负载调整率有明显影响的四项加起来,可列出通常变换器型开关电源开环状态下的输出电压变化

(2)
式中:△E—负载电流由零到额定负载时,工频整流滤波直流电压E衰减百分比,可按桥式整流电容滤波 输出电压E与ωRLC关系曲线估量(见图2);
N2/N1—变压器T1原边与副边绕组之变比;
IO—输出额定电流(A);
RON——-功率开关管的导通电阻(Ω);
RT1——-变压器的内阻(Ω);
VD——-输出端整流管的压降(V)。
变压器的内阻
(3)
式中: RW1—绕组W1反射到W3的电阻(Ω);
RW3—绕组W3的电阻(Ω)。
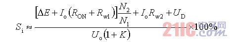
将式(3)分别带入式(2)和式(1),整理后得电流调整率

(4)
式中 K=10~100。按(4)式估算,可得出电流调整率Si至少大于1%,有时甚至可达10%以上。
2.3 电压调整率估算
电压调整率通常按负载不变情况下,源电压波动10%来测试。由于负载不变,源电压波动多少,输出电压也就同比例变化。设Ui变化10%时,输出直流电压Uo也会变化10%。
电压调整率可用式(5)表示。

(5)
若按K=50计算,得Su≈0.2%。
2.4 负载调整率与电压调整率的比较
计算与实践均表明,式(4)中的分子项目众多,其数值远大于(5)式中的分子,故有Si>>Su ,即负载调整率大大劣于电压调整率。在由市电供电的变换器型开关电源中,都存在这样的规律。
3 采用VIPer22A的电流控制型变换器的开关稳压电源
3.1 整体电路结构框图
采用VIPer22A的电流控制型变换器式开关电源的电路结构如图3所示。市电经整流滤波环节进入变压器和VIPer22A模块后,将直流电变换成脉宽可调的高频电,再经高频整流滤波器至输出端负载。负载端电压经反馈误差放大器放大,回馈到VIPer22A反馈端,进而调节变换器的输出脉宽,以稳定负载端电压。

图3 VIPer22A电流控制型功率变换器式开关稳压电源的电路结构框图
3.2 电压调整率极优
当市电AC220V出现波动时,变压器原边绕组中的电流幅值也会相应变化,立即显现到芯片内取样电阻RS上,过电流比较器即调节PWM脉宽,相应调节输出电压。该过程在整个稳压过程中,起着绝对主导作用。与此同时,外环的误差放大器也参与运作,使图4所示的VIPer22A芯片FB端(3脚)输入电流变化,调节功率MOSFET的栅极脉宽反向变化,从而将输出电压最大限度地恢复到外电压波动前的数值上。即源电压的波动,得到了增益很大的一阶电路电流控制模式的及时应对,就将源电压效应提升到优于0.01%的程度。 [p]

当然,图3外环的电压控制工作模式也参与应对市电的波动,但作用远小于电流控制模式,响应速度也较低。
3.3 负载调整率
3.3.1 VIPer22A电流控制,将负载波动所引起的E值波动影响平抑到可以忽略不计
虽然负载波动时,市电整流滤波后所得的直流电压E也会相应波动,但在VIPer22A内部有闭环的电流控制,不论是市电波动还是整流滤波后的直流电压波动,都会引发VIPer22A内部功率MOSFET的漏极电流的波动,采样电阻RS上的压降随之改变,并及时调节PWM脉宽,应对整流滤波后的直流电压波动,确保输出电压的稳定。这时的调节精度相当于VIPer22A的电压调整率,即0.01%。这样高的调节精度,近似于整流滤波后的直流电压没有波动。
3.3.2 VIPer22A电流控制将负载波动对高频变压器原边电流影响平抑到可以忽略不计
当市电电压不变,负载波动时,W1绕组电流相应波动,图2中过电流比较器的同相输入端电压也相应变化,并及时调节脉宽,同样保有优于0.01%稳定精度。
3.3.3 VIPer22A电流控制将负载波动对功率MOSFET上的电压影响降至可以忽略不计
功率MOSFET漏-源极间的导通电阻为15Ω,负载波动所引起的功率MOSFET漏-源极间的电压降波动,必然引发取样电阻RS上的电流和电压波动。VIPer22A内部的电流控制将这种波动反馈到过电流比较器的反相输入端,内环控制PWM,将影响降至最低,确保输出电压的稳定,调整精度也是优于0.01%。即VIPer22A内环的电流控制将变压器副边以前的所有电流波动所产生的影响降至微乎其微。
3.3.4 低负荷条件下的自动间歇工作模式进一步优化了负载调整率
VIPer22A芯片还具有低负荷条件下的自动间歇工作模式,当开关电源空载或是流过功率MOSFET的漏极电流小于或等于极限值的12%—约为85mA(峰值)时,芯片N1会自动进入间歇工作状态,既保证低负载时的正常运行,又可以降低整机功耗,抑制了轻载时的输出电压上升,其负载调整率得到进一步优化,显著地胜过电压控制型变换器式开关电源。
3.3.4 以上4项措施均封装在器件内部,将VIPer22A变换器型开关电源的负载调整率大大优化
(4)式中分子的第一大项重列于式(6),其数值很大,在分子中占据大的比例。

(6)
但在VIPer22A器件中,这个量通过内环的高精度调节,使其对负载调整率的总体影响降到很低,大大优于(4)式分子的后两项,即在估算负载调整率时,(6)式所得参数,在现在条件下可以不予考虑。故得出VIPer22A的变换器型开关电源的负载调整率的近似公式为

将实际数值带入(7)式,可得VIPer22A电源的负载调整率明显优于1%,仍大大劣于它自身的电压调整率0.01%。但却大大优于电压型调节的变换器式开关电源。
3.3.5 外环的电压控制模式也参与稳定负载变化所引起的输出电压波动
与此同时,负载波动时,W3绕组及其输出端电压也有波动,所以处于芯片外环的电压控制模式投入运行应对,这像一般电压控制型开关电源一样,也用以保持输出电压稳定,但精度与响应速度都劣于内环。 [p]
3.3.6 VIPer22A负载效应优于电压控制型开关电源,但仍劣于自身的源电压效应
市电供电的变换器型开关稳压器,其源电压效应优于负载效应是一规律。VIPer22A电源负载效应虽优于普通变换器电压控制型开关电源,但也劣于自身的源电压效应,未超越这一规律。
4 结论
从以上简析可以看出,在变换器型开关电源中,与电压控制型相比VIPer22A电流控制型开关电源,其电压调整率获得了数量级的优化。负载调整率也有显著改善,但仍大大劣于自身的电压调整率。在现有条件下,在不牺牲其它技术指标的情况下,要进一步优化负载调整率难度很大。但随着科学技术的进步,导电导磁材料和元器件性能不断提高,相信进一步优化负载调整率也是意料中的事。
参考文献
[1] 徐德高 金 刚 《脉宽调制变换器型稳压电压》 科学出版社 1983年
[2] 张乃国 《电子电源技术与应用》 机械工业出版社 2010年6月 第二版
[3] VIPer22ADIP/VIPer22AS LOW POWER OFF LINE SMPS PRIMARY SWITCHER
射频工程师养成培训教程套装,助您快速成为一名优秀射频工程师...
天线设计工程师培训课程套装,资深专家授课,让天线设计不再难...
上一篇:浅谈关于开关电源环路设计
下一篇:DC-DC开关电源管理芯片的设计

