- 易迪拓培训,专注于微波、射频、天线设计工程师的培养
一种中小功率的高频开关式通信电源的设计
针对通信电源中DC/DC 变换器的移相全桥主电路进行了分析和研究,在此基础上提出了采用改进型倍流整流移相全桥电路,来克服传统ZVS PWM 全桥变换器存在的一些问题。
1 集中供电方式通信电源系统
为了保证稳定、可靠、安全供电,通信电源系统可采用集中供电、分散供电、混合供电或一体化供电方式。其中集中供电方式通信电源系统的组成框图如图1 所示。

图1 集中供电通信电源系统示意图
目前, 国内外通信电源仍然大都采用模拟和数字相结合的控制方式, 大量应用数字化技术的还主要是保护和监控电路以及与系统的通信,完成电源的起动、输入与输出的过、欠压保护,输出的过流与短路保护及过热保护等,通过特定的界面电路,也能完成与系统间的通信与显示, 但PWM 部分仍然采用专门的模拟芯片。如中兴和华为目前还是采用传统的模拟技术,艾默生已有部分产品采用了全数字的控制,但其EMC、环路稳定性等问题还有待于改善。
本文针对通信电源的特点及现状, 采用倍流整流的移相全桥变换器作为主电路,进行了关键参数的计算,并设计出样机进行分析仿真结果。
2 改进型倍流整流移相全桥变换器关键参数设计
倍流整流主电路结构如所图2 示。该电路由全桥逆变和倍流整流电路组成,根据负载大小的不同,该电路可工作在断续和连续模式,在断续状态下,副边二极管自然换流,没有反向恢复引起的电压尖峰, 也没有占空比丢失的情况发生, 但占空比较小,效率较低。

图2 倍流整流主电路
在连续模式下(如图3 所示),要从实现副边整流二极管的自然换流以及实现滞后管ZVS 两个方面着手。而实现这两点的关键在于阻断电容和输出滤波电感的优化设计。

图3 电路连续模式波形图
下面对这两个元件的选择作出分析。
[p] 2.1 阻断电容设计
阻断电容上的电压使得原边电流在零电平时快速下降,所以副边整流二极管在副边电压为零阶段能换流结束, 从而避免了二极管的反向恢复问题,并且二极管换流结束后,由于二极管的自然阻断能力,电感上的电流反向后可以流经副边,从而折射回原边给滞后管提供能量实现ZVS。从这个意义上来说,阻断电容越小越好。但是,在中的t6时刻,变压器原边绕组上的电压最大,即Vpmax=-(Vin-Vcbp),Vcbp是阻断电容上的最大电压,副边整流二极管上的电压应力为:
所以阻断电容越小,其上的电压也会越高,从而增大了副边整流二极管的电压应力。
从这个意义上来说,阻断电容不宜过小。所以,阻断电容的选取,是在可以保证二极管自然换流的前提下,越大越好。
从图3 中可以看到,二极管t3在时刻换流结束。最坏的情况是,在电压开始建立的时候,二极管刚好换流结束,也即t3=t4时。此时,ip减小到最小值:

而在t2时刻:

在t2~t3时间段内,原边电容和漏感谐振,阻断电容的电压、原边电流为:

所以二极管能够自然换流的条件是:

上式推出了二极管在t4时刻完成换流的条件, 它与阻断电容上的电压Vcb有关。
在t0~t2时间段内:

其中,k 为原副边匝比。I10、I20分别为iLf1、iLf2在t0时刻的值。
由式(2), 有I10=ILfmax,可以得出ip在[t0~t2]时间段内的表达式:

可以得出,在t2时刻,电容上的电压:

而从式(1)可得:

从上面分析可以推导出:

实际设计中,可以通过该式确定阻断电容Cb的值。 [p] 2.2 滤波电感设计
滤波电感有两个作用。一是滤波作用,减小输出纹波,从这个意义上说,电感值越大越好。二是为原边开关管的ZVS 提供能量,电感电流必须可以减小到零且有一定的负值,从这方面来说,电感必须小于一定值。所以设计电感的原则是,在满载能够实现滞后管软开关的前提下,电感取最大值。
3 基于Buck 变换器的小信号模型设计
Buck 变换器只有两种工作模态,即开关管导通和开关管截止状态。
首先为理想的Buck 变换器在一个开关周期内的两种不同工作状态建立状态方程和输出方程。这里取电感电流iL(t)和电容电压uc(t)作为状态变量,组成二维状态向量x(t)=[iL(t),uc(t)]T;取输入电压ui(t)为输入变量,组成一维输入向量u(t)=[ui(t)];取电压源的输出电流is(t),变换器的输出电压u0(t)作为输出变量,组成二维输出向量y(t)=[is(t),u0(t)]T。

图4 Buck 变换器拓扑图
4 基于倍流整流移相全桥变换器的小信号模型设计
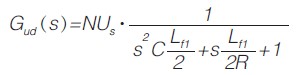
倍流整流移相全桥变换器是在BUCK 变换器的基础上推导出来的,两种变换器都是典型的二阶系统。由它的状态空间矩阵得到控制输出的传递函数为:

代入相关参数可得到该传递函数的波特图如图5 所示:

图5 倍流整流移相全桥变换器传递函数波特图
5 通信电源的实验研究
基于以上分析, 本文设计了一个输出电压和输出电流分别为48V 和15A 通信电源的样机,主电路由桥式逆变电路、高频变压器及阻断电容、输出整流滤波电路等组成。外围电路包括采样电路、驱动电路、过流保护电路等的设计。
5.1 采样电路设计
输入电压和输出电压采用线性光耦HCNR201 采样, 如图6 所示。输出电流和输入电流采样采用电流LEM,该方法精确可靠,实现了电隔离,但成本较高,且需要精确的±15V 直流电源。

图6 电压采样电路
5.2 驱动电路设计
MOS 型器件的理想驱动波形应有合理的脉冲上升沿和下降沿、足够大的驱动功率、合适的驱动正向电压和反向电压。本电源移相全桥拓扑的四路驱动信号占空比大小固定; 开关频率较高,为100K,要求有较强的抗干扰能力。
5.3 过流保护电路设计
电压型电流传感器(霍尔器件)检测到输出电流,经过RC 电路滤波后送到比较器的正相输入端,而设定的电压给定值接比较器的反向输入端,两个量进行比较,当大于给定值时,说明输出过流,此时比较器输出高电平,三极管导通,发光二极管发光提示过流,同时PDPINTA 为低电平,然后接入到DSP。GPIOA5 送出的是保护信号,当软件出现保护时,GPIOA5 为高电平,其相应的比较器输出为高电平,同样使得PDPINTA 为低电平。
5.4 软件设计
软件设计包括主程序、通信子程序、双环调节子程序、A/D 转换中断、PWM1 和PWM3 产生中断、PWM2 和PWM4 产生中断。
5.5 实验方法和结果分析
实验结果表明:采用积分分离的控制算法,超调量减小,调节时间减小,从而改善了动态性能。倍流整流电路较全波整流来说,占空比丢失小、没有二极管的反向恢复以及滞后管实现软开关更容易。
射频工程师养成培训教程套装,助您快速成为一名优秀射频工程师...

