- 易迪拓培训,专注于微波、射频、天线设计工程师的培养
中频发电机对检测装置的干扰剖析及EMI滤波实现
录入:edatop.com 点击:
0 引言
随着电子信息技术的飞速发展及各类电气、电子、信息设备的日益广泛应用,电磁干扰(EMI)的交互作用使得电子设备中存在着越来越复杂的电磁环境,对各种仪器设备产生越来越大的危害。电子设备受电磁噪声干扰的作用会产生多种危害,在模拟电路中可以引起信号波形的畸变,信噪比降低,甚至信号会完全被EMI所淹没。噪声干扰也会使得数字电路系统中的误码率上升,逻辑电平紊乱,降低系统信息的可靠性,极端情况下导致失控或误操作的严重后果。尤其在一些特殊领域,与一般的电子信息系统相比,电子设备具有密集度高、电磁兼容环境恶劣和可靠性要求高等特点,使得电磁兼容(EMC)技术在该领域的应用具有特殊重要的意义。目前中频发发电机已广泛应用于舰船、飞机、电站等独立的供电系统中,对其EMC的研究逐渐受到关注。由于漏抗的存在,使得中频发电机产生共模干扰,本文针对中频发电机的噪声对某检测装置的影响,提出降低其干扰的技术措施,设计了EMI滤波电路,并对滤波效果进行了实际装载试验,其结果大大提高了该检测装置的性能。
1 发电机噪声对检测装置的危害
在实际装载工作时,检测装置处于恶劣环境下,具有严重的干扰背景,其自噪声是非平稳的和非高斯分布的,接收的信号背景中存在时间弥散、频率弥散、角度弥散以及严重的起伏。检测装置过高的噪声,严重制约了检测性能。然而在众多的动态干扰因素中查找影响检测装置的主要干扰源是一件困难的事情。可以说,确认噪声干扰源是提高检测性能的一个重要环节。
由于中频发电机的工作频率与检测装置的不同,并且其供电又经过检测装置接收机内部的二次电源转换,所以一般认为发电机不会对检测装置造成干扰,在设计时通常只对发电机输出的电压纹波电平提出要求,而对其输出的噪声并未关注。那么,中频发电机是如何影响检测装置的呢
1.1 发电机对检测装置的干扰原理
图1是检测装置的原理框图。检测装置的发射通道与收/发天线连接,发射大功率探测信号;另一方面收/发天线与接收通道连接,接收微弱信号进行滤波放大及信号处理。中频发电机产生高压供检测装置大功率发射用,产生低压供检测装置的其它电子器件以及系统的其它设备用。发电机对检测装置的干扰正是通过高压供电由发射通道耦合到接收通道的。

检测装置发射与接收分时工作,在接收期间,发射机不工作,但中频发电机始终给发射机供电。在发射通道中设计有隔离电路,在收发转换过程中起着至关重要的作用,必须保证在发射脉冲结束后可靠阻断发射通道的干扰。然而在实际电路中,这种"阻断"能力总是有限的,于是发电机的噪声按照中频发电机-发射通道-收发天线-接收通道的途径,泄漏到接收通道,形成干扰。接收机是一个敏感设备,所接收处理的信号是mV级的小信号,一点点微弱的噪声干扰都可能影响其工作。因此,中频发电机的干扰增加了检测装置接收机的噪声,相关试验证明,可使其自噪声级增加约10~20dB,成为检测装置的主要干扰源,严重影响了系统的检测性能。
1.2 共模干扰与差模干扰
根据文献[1]介绍,共模(Common mode)是指存在于两根或多根导线中,流经所有导线的电流都是同极性的,差模(Differential mode)是指在导线对上的电流极性是相反的。共模干扰的干扰电流在电缆中的所有导线上幅度/相位相同,它在电缆与大地之间形成回路流动,见图2(a)。差模干扰的干扰电流在信号线与信号地线之间流动,见图2(b)。

由于共模干扰与差模干扰的干扰电流在电缆上的流动方式不同,对这两种干扰电流的滤波方法也不相同。因此在进行滤波设计之前必须了解所面对的干扰电流的类型。
1.3 中频发电机产生的共模干扰分析
图3是中频发电机整流原理图,图4为三相全波整流电路,其中(a)为三相半波共阴极组,(b)为三相半波共阳极组,二者的串联即为图3的等效电路。


文献[2]对发电机整流模块产生干扰的机理进行了深入的研究。由于存在漏抗LT,使整流换相不能在瞬间完成,存在一个变化过程,在换相重叠角期间,u1和u2有跳变,从而使整流输出产生共模干扰。
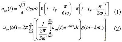
如果三相电源对称的情况下,中频发电机产生共模干扰电压的时域、频域表达式为[2]:

式中,U为电源相电压有效值;ω为电源角频率;γ为三相整流桥的换相重叠角,与中频发电机的漏抗有关;ε(t)为单位阶跃函数;t γ为换相重叠角γ对应的时间;δ(t)为单位脉冲函数;k为自然数。
2 E MI滤波器的设计与实现
为了提高检测装置的信噪比,必须设计合理的EMI滤波器,消除或减小发电机共模干扰对检测装置的影响。
2.1 EMI滤波器的基本结构和原理
在EMI抑制中,低通滤波器使用得最多。滤波电路通常采用由电感、电容构成的无源滤波器的形式。电容与电感的连接方式不同决定滤波器的Q值和衰减量。噪声滤波器不仅要考虑其基本结构,还要考虑其所连网络两端的阻抗大小,并根据源阻抗及负载阻抗的不同,依照阻抗最大失配原则来选择正确的接法,两者阻抗差别越大,滤波器的滤波效果也就越好。电路结构的选择原则规律是"电容对高阻、电感对低阻",如表1。

本系统对应的是低源阻抗、高负载阻抗,采用先串电感后并电容的反r型滤波电路。为了在阻带内获得最大衰减,滤波器输入端阻抗需与之连接的噪声源阻抗相反,即对中频发电机产生的低阻抗噪声源,滤波器需呈现高阻抗(大的串联电感)。在检测装置所关注的低频噪声频段,要增加滤波器对较低频率干扰的衰减,需要大的滤波电感和电容。
由于共模干扰和差模干扰具有不同的干扰特点,噪声滤波器设计需要采用不同的结构来对噪声干扰进行抑制。中频发电机产生的噪声以共模干扰为主,共模干扰滤波电路是在电源线的输入上均串入共模电感,即共模扼流圈。共模扼流圈是以铁氧体(或更高导磁率的超微晶磁材)为磁芯的共模干扰抑制器件,它由两个匝数相同并对称地绕制在同一个环形磁芯上的线圈构成,如图5所示,形成一个四端器件,要对于共模信号呈现出的大电感具有抑制作用,而对于差模信号呈现出的很小的漏电感几乎不起作用。

共模扼流圈的原理是流过共模电流时磁环中的磁通方向相同(磁通方向根据文献[4]判别),因而相互叠加(φ1+φ2),从而具有相当大的电感量,对共模电流起到抑制作用(图5(a)),而当两线圈流过差模电流时,磁环中的磁通方向相反,因而相互抵消(φ1-φ2),几乎没有电感量,所以差模电流可以无衰减地通过(图5(b))。因此共模电感在平衡线路中能有效地抑制共模干扰信号,而对线路正常传输的差模信号无影响。对于中频发电机输出来说,任何时候电源线之间的电流都是大小相等,方向相反的(图5(b)),磁芯中的磁通相互抵消,线圈不呈现阻抗,避免了检测装置发射机高压供电工作时因为滤波器的引入而在电源端产生附加的压降。由此分析得出,在中频发电机供电输出端接入共模扼流圈,能够抑制电源线上供电回路的共模干扰,而对供电电流不起任何阻碍作用,可以无损耗地传输。
共模电感在制作时应满足以下要求:a.绕制在线圈磁芯上的导线要相互绝缘,以保证在高压供电时线圈的匝间不发生击穿短路。b.线圈中的磁芯应与线圈绝缘,以防止在瞬时过电压作用下两者之间发生击穿。c.线圈应尽可能单层绕制,以减小线圈的寄生电容。
2.2 EMI滤波器的电路设计
为减小体积和重量,中频发电机滤波电路采用单级LC EMI滤波器,电路如图6所示。

对于抑制低频噪声,理论上发电机滤波器的电感和电容的参数选得越大,滤波效果越好。但在实际应用中,容量大的电容一般寄生电感也大,自谐振频率低,对高频噪声的去耦效果差,而电感值越大,电感的体积也越大,所以在设计时应权衡各种因素的影响,确定合适的参数。由于检测装置中本身带有几百mF的电容,因此在本系统中,仅在电容前增加一个共模扼流圈(约几十mH,取决于要滤除的干扰的频率,频率越低,需要的电感量越大),它与检测装置原有的电容一起构成了反T型滤波电路。滤波电路参数选定后,必须验证参数选取得是否合适,以保证发电机噪声滤波器的自谐振频率远小于所要滤除的噪声频率,否则发电机噪声滤波器不仅不能够起到抑制噪声干扰的作用,而且很有可能会放大噪声干扰。在EMI滤波器的设计中,起初考虑到除了要抑制中频发电机产生的共模干扰外,还应有抑制差模干扰的能力,但经过相关的实验证明,差模滤波器的使用,并未在需要的频段上增加滤波效果,因此最终仅采用了共模滤波器抑制发电机干扰。
3 发电机拖动试验及实际装载试验
3.1 发电机拖动试验
发电机拖动试验验证系统在中频发电机供电下,检测装置采取滤波措施前、后接收通道的噪声情况比较。试验框图见图7所示。

将中频发电机安装在中频发电机拖动台上,调压器平稳放置,通过转接电缆与检测装置及系统其它设备相连接。检测装置中,接收通道设计有增益控制电路,能够使噪声背景归一化[5],其增益控制电压UG可反映接收通道噪声的大小。
无滤波措施时,测量UG=3.0V,增加滤波措施时,测量UG=6.8V。经初步计算,采取了抗干扰措施后噪声降低了14dB左右。
3.2 实际装载试验
在无滤波措施的情况下,实际装载试验时检测装置工作在恶劣环境下。由于长期以来的认识误区,并没有意识到中频发电机的电噪声是检测装置的主要干扰源,导致检测距离严重不足。因而设法采取了其它各种降噪声措施,但收效甚微。图8是在发电机噪声干扰情况下,实际装载试验时目标出现在远距离的检测结果,横坐标为该距离下的频率点,纵坐标为检测值与门限值的幅度,信号应出现在140的频率点附近,由于噪声太大,信号完全被淹没在噪声中,检测装置不能够发现目标。
图9是发电机噪声干扰情况下,实际装载试验时目标已出现在较近距离时的检测结果。此时随着检测装置与目标之间的距离接近,信噪比逐渐增大,信号已超过了门限值,检测装置发现了目标。但是探测距离极为有限。
当采取了抗干扰措施之后再进行实际装载试验,系统内电噪声降低到与自噪声相比可以忽略不计的程度。由于降低噪声的效果非常显著,大大改善了系统的工作环境,使检测距离大幅度增长,达到了一个新的水平。图1O为实际装载工作时目标出现在远距离(与图8相同的距离)下的检测结果。从图10可以看出,信号已远远超出门限,检测装置能够在此距离甚至更远距离下发现目标。由于检测装置的探测距离受到检测周期的限制,图8和图10的距离已是检测装置的极限距离。从图10中信号超出门限的幅度看,检测能力还有余量,可利用加大检测周期长度进一步提高检测距离。
4 结语
检测装置工作于实际装载情况下。但是由于实际装载时干扰因素很多,自噪声与环境噪声叠加在一起无法区分,因此在本课题中,确定噪声源是一个难点,包括对检测装置噪声源的定位及中频发电机噪声对检测装置的干扰机理的分析。噪声源一旦确定,对检测装置来说是一个长足的进步,是提高其性能的关键。本研究针对具体情况作出具体分析,找出干扰源,并将抗干扰措施首次应用到检测装置中,取得了较好的噪声抑制效果,大幅度提高了检测装置的信噪比。
随着电子信息技术的飞速发展及各类电气、电子、信息设备的日益广泛应用,电磁干扰(EMI)的交互作用使得电子设备中存在着越来越复杂的电磁环境,对各种仪器设备产生越来越大的危害。电子设备受电磁噪声干扰的作用会产生多种危害,在模拟电路中可以引起信号波形的畸变,信噪比降低,甚至信号会完全被EMI所淹没。噪声干扰也会使得数字电路系统中的误码率上升,逻辑电平紊乱,降低系统信息的可靠性,极端情况下导致失控或误操作的严重后果。尤其在一些特殊领域,与一般的电子信息系统相比,电子设备具有密集度高、电磁兼容环境恶劣和可靠性要求高等特点,使得电磁兼容(EMC)技术在该领域的应用具有特殊重要的意义。目前中频发发电机已广泛应用于舰船、飞机、电站等独立的供电系统中,对其EMC的研究逐渐受到关注。由于漏抗的存在,使得中频发电机产生共模干扰,本文针对中频发电机的噪声对某检测装置的影响,提出降低其干扰的技术措施,设计了EMI滤波电路,并对滤波效果进行了实际装载试验,其结果大大提高了该检测装置的性能。
1 发电机噪声对检测装置的危害
在实际装载工作时,检测装置处于恶劣环境下,具有严重的干扰背景,其自噪声是非平稳的和非高斯分布的,接收的信号背景中存在时间弥散、频率弥散、角度弥散以及严重的起伏。检测装置过高的噪声,严重制约了检测性能。然而在众多的动态干扰因素中查找影响检测装置的主要干扰源是一件困难的事情。可以说,确认噪声干扰源是提高检测性能的一个重要环节。
由于中频发电机的工作频率与检测装置的不同,并且其供电又经过检测装置接收机内部的二次电源转换,所以一般认为发电机不会对检测装置造成干扰,在设计时通常只对发电机输出的电压纹波电平提出要求,而对其输出的噪声并未关注。那么,中频发电机是如何影响检测装置的呢
1.1 发电机对检测装置的干扰原理
图1是检测装置的原理框图。检测装置的发射通道与收/发天线连接,发射大功率探测信号;另一方面收/发天线与接收通道连接,接收微弱信号进行滤波放大及信号处理。中频发电机产生高压供检测装置大功率发射用,产生低压供检测装置的其它电子器件以及系统的其它设备用。发电机对检测装置的干扰正是通过高压供电由发射通道耦合到接收通道的。

检测装置发射与接收分时工作,在接收期间,发射机不工作,但中频发电机始终给发射机供电。在发射通道中设计有隔离电路,在收发转换过程中起着至关重要的作用,必须保证在发射脉冲结束后可靠阻断发射通道的干扰。然而在实际电路中,这种"阻断"能力总是有限的,于是发电机的噪声按照中频发电机-发射通道-收发天线-接收通道的途径,泄漏到接收通道,形成干扰。接收机是一个敏感设备,所接收处理的信号是mV级的小信号,一点点微弱的噪声干扰都可能影响其工作。因此,中频发电机的干扰增加了检测装置接收机的噪声,相关试验证明,可使其自噪声级增加约10~20dB,成为检测装置的主要干扰源,严重影响了系统的检测性能。
1.2 共模干扰与差模干扰
根据文献[1]介绍,共模(Common mode)是指存在于两根或多根导线中,流经所有导线的电流都是同极性的,差模(Differential mode)是指在导线对上的电流极性是相反的。共模干扰的干扰电流在电缆中的所有导线上幅度/相位相同,它在电缆与大地之间形成回路流动,见图2(a)。差模干扰的干扰电流在信号线与信号地线之间流动,见图2(b)。

由于共模干扰与差模干扰的干扰电流在电缆上的流动方式不同,对这两种干扰电流的滤波方法也不相同。因此在进行滤波设计之前必须了解所面对的干扰电流的类型。
1.3 中频发电机产生的共模干扰分析
图3是中频发电机整流原理图,图4为三相全波整流电路,其中(a)为三相半波共阴极组,(b)为三相半波共阳极组,二者的串联即为图3的等效电路。


文献[2]对发电机整流模块产生干扰的机理进行了深入的研究。由于存在漏抗LT,使整流换相不能在瞬间完成,存在一个变化过程,在换相重叠角期间,u1和u2有跳变,从而使整流输出产生共模干扰。
如果三相电源对称的情况下,中频发电机产生共模干扰电压的时域、频域表达式为[2]:

式中,U为电源相电压有效值;ω为电源角频率;γ为三相整流桥的换相重叠角,与中频发电机的漏抗有关;ε(t)为单位阶跃函数;t γ为换相重叠角γ对应的时间;δ(t)为单位脉冲函数;k为自然数。
2 E MI滤波器的设计与实现
为了提高检测装置的信噪比,必须设计合理的EMI滤波器,消除或减小发电机共模干扰对检测装置的影响。
2.1 EMI滤波器的基本结构和原理
在EMI抑制中,低通滤波器使用得最多。滤波电路通常采用由电感、电容构成的无源滤波器的形式。电容与电感的连接方式不同决定滤波器的Q值和衰减量。噪声滤波器不仅要考虑其基本结构,还要考虑其所连网络两端的阻抗大小,并根据源阻抗及负载阻抗的不同,依照阻抗最大失配原则来选择正确的接法,两者阻抗差别越大,滤波器的滤波效果也就越好。电路结构的选择原则规律是"电容对高阻、电感对低阻",如表1。

本系统对应的是低源阻抗、高负载阻抗,采用先串电感后并电容的反r型滤波电路。为了在阻带内获得最大衰减,滤波器输入端阻抗需与之连接的噪声源阻抗相反,即对中频发电机产生的低阻抗噪声源,滤波器需呈现高阻抗(大的串联电感)。在检测装置所关注的低频噪声频段,要增加滤波器对较低频率干扰的衰减,需要大的滤波电感和电容。
由于共模干扰和差模干扰具有不同的干扰特点,噪声滤波器设计需要采用不同的结构来对噪声干扰进行抑制。中频发电机产生的噪声以共模干扰为主,共模干扰滤波电路是在电源线的输入上均串入共模电感,即共模扼流圈。共模扼流圈是以铁氧体(或更高导磁率的超微晶磁材)为磁芯的共模干扰抑制器件,它由两个匝数相同并对称地绕制在同一个环形磁芯上的线圈构成,如图5所示,形成一个四端器件,要对于共模信号呈现出的大电感具有抑制作用,而对于差模信号呈现出的很小的漏电感几乎不起作用。

共模扼流圈的原理是流过共模电流时磁环中的磁通方向相同(磁通方向根据文献[4]判别),因而相互叠加(φ1+φ2),从而具有相当大的电感量,对共模电流起到抑制作用(图5(a)),而当两线圈流过差模电流时,磁环中的磁通方向相反,因而相互抵消(φ1-φ2),几乎没有电感量,所以差模电流可以无衰减地通过(图5(b))。因此共模电感在平衡线路中能有效地抑制共模干扰信号,而对线路正常传输的差模信号无影响。对于中频发电机输出来说,任何时候电源线之间的电流都是大小相等,方向相反的(图5(b)),磁芯中的磁通相互抵消,线圈不呈现阻抗,避免了检测装置发射机高压供电工作时因为滤波器的引入而在电源端产生附加的压降。由此分析得出,在中频发电机供电输出端接入共模扼流圈,能够抑制电源线上供电回路的共模干扰,而对供电电流不起任何阻碍作用,可以无损耗地传输。
共模电感在制作时应满足以下要求:a.绕制在线圈磁芯上的导线要相互绝缘,以保证在高压供电时线圈的匝间不发生击穿短路。b.线圈中的磁芯应与线圈绝缘,以防止在瞬时过电压作用下两者之间发生击穿。c.线圈应尽可能单层绕制,以减小线圈的寄生电容。
2.2 EMI滤波器的电路设计
为减小体积和重量,中频发电机滤波电路采用单级LC EMI滤波器,电路如图6所示。

对于抑制低频噪声,理论上发电机滤波器的电感和电容的参数选得越大,滤波效果越好。但在实际应用中,容量大的电容一般寄生电感也大,自谐振频率低,对高频噪声的去耦效果差,而电感值越大,电感的体积也越大,所以在设计时应权衡各种因素的影响,确定合适的参数。由于检测装置中本身带有几百mF的电容,因此在本系统中,仅在电容前增加一个共模扼流圈(约几十mH,取决于要滤除的干扰的频率,频率越低,需要的电感量越大),它与检测装置原有的电容一起构成了反T型滤波电路。滤波电路参数选定后,必须验证参数选取得是否合适,以保证发电机噪声滤波器的自谐振频率远小于所要滤除的噪声频率,否则发电机噪声滤波器不仅不能够起到抑制噪声干扰的作用,而且很有可能会放大噪声干扰。在EMI滤波器的设计中,起初考虑到除了要抑制中频发电机产生的共模干扰外,还应有抑制差模干扰的能力,但经过相关的实验证明,差模滤波器的使用,并未在需要的频段上增加滤波效果,因此最终仅采用了共模滤波器抑制发电机干扰。
3 发电机拖动试验及实际装载试验
3.1 发电机拖动试验
发电机拖动试验验证系统在中频发电机供电下,检测装置采取滤波措施前、后接收通道的噪声情况比较。试验框图见图7所示。

将中频发电机安装在中频发电机拖动台上,调压器平稳放置,通过转接电缆与检测装置及系统其它设备相连接。检测装置中,接收通道设计有增益控制电路,能够使噪声背景归一化[5],其增益控制电压UG可反映接收通道噪声的大小。
无滤波措施时,测量UG=3.0V,增加滤波措施时,测量UG=6.8V。经初步计算,采取了抗干扰措施后噪声降低了14dB左右。
3.2 实际装载试验
在无滤波措施的情况下,实际装载试验时检测装置工作在恶劣环境下。由于长期以来的认识误区,并没有意识到中频发电机的电噪声是检测装置的主要干扰源,导致检测距离严重不足。因而设法采取了其它各种降噪声措施,但收效甚微。图8是在发电机噪声干扰情况下,实际装载试验时目标出现在远距离的检测结果,横坐标为该距离下的频率点,纵坐标为检测值与门限值的幅度,信号应出现在140的频率点附近,由于噪声太大,信号完全被淹没在噪声中,检测装置不能够发现目标。
图9是发电机噪声干扰情况下,实际装载试验时目标已出现在较近距离时的检测结果。此时随着检测装置与目标之间的距离接近,信噪比逐渐增大,信号已超过了门限值,检测装置发现了目标。但是探测距离极为有限。
当采取了抗干扰措施之后再进行实际装载试验,系统内电噪声降低到与自噪声相比可以忽略不计的程度。由于降低噪声的效果非常显著,大大改善了系统的工作环境,使检测距离大幅度增长,达到了一个新的水平。图1O为实际装载工作时目标出现在远距离(与图8相同的距离)下的检测结果。从图10可以看出,信号已远远超出门限,检测装置能够在此距离甚至更远距离下发现目标。由于检测装置的探测距离受到检测周期的限制,图8和图10的距离已是检测装置的极限距离。从图10中信号超出门限的幅度看,检测能力还有余量,可利用加大检测周期长度进一步提高检测距离。
4 结语
检测装置工作于实际装载情况下。但是由于实际装载时干扰因素很多,自噪声与环境噪声叠加在一起无法区分,因此在本课题中,确定噪声源是一个难点,包括对检测装置噪声源的定位及中频发电机噪声对检测装置的干扰机理的分析。噪声源一旦确定,对检测装置来说是一个长足的进步,是提高其性能的关键。本研究针对具体情况作出具体分析,找出干扰源,并将抗干扰措施首次应用到检测装置中,取得了较好的噪声抑制效果,大幅度提高了检测装置的信噪比。
EMC电磁兼容设计培训套装,视频教程,让您系统学习EMC知识...

