- 易迪拓培训,专注于微波、射频、天线设计工程师的培养
由准远场距离上测得的方向图计算远场方向图的方法
一、研究背景
在微波暗室内对基站天线进行测试是一种常用的方法。由于暗室尺寸的限制,对增益较高的天线,往往不能满足远场测试条件。在这种情况下测试结果与远场情况下的测试结果有较大差异。本报告给出了一种由准远场距离上测得的方 向图计算远场方向图的方法。
二、修正算法的基本原理
如图1 所示的AUT为基站天线,天线沿着y轴方向的尺寸较小,容易满足远场条件,而x方向的尺寸较大,不满足远场条件。针对这类天线的方向图,可以采用该方法进行修正。

图1 天线坐标系
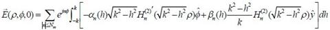
以oy为轴作一个能完全包围待测天线的最小柱面,设该柱面的半径为rmin。在该柱面之外,天线产生的电场可表示成矢量波函数
的加权和,即
(1)
令场点位于xoz平面(即y=0),且ρ较大时,式(1)可以表示为
(2)
其中:Nm=krmin+10
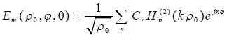
由于场点(ρ,φ,0)已经处于天线的准远区,且ρ相对于天线的垂直尺寸(y轴方向)已经很大了,对上式中的积分可以采用一维驻相法进行计算,并考虑到
,从而有
(3)
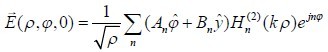
对于任意的线极化电场分量均可以表示为
(4)
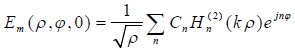
如果在ρ=ρo处测得电场为Em,则有
(5)
可以求出
(6)
将Cn代入公式(5),命ρ→∞,则得到天线远场为
(7)
其中,C为与角度无关的常数,可以略去。天线的远场方向图为
(8)
基于以上关系式,容易得到远场条件下天线增益与准远场条件下增益的差值为

三、数值仿真验证
为了验证该算法的正确性,进行数值仿真验证。选取一个工作频率为 900MHz,口径为2.6m 的阵列天线进行数值仿真分析,准远场测试距离为29m(该测试距离不满足远场条件)。数值仿真流程和数值仿真结果分别如图2 和图3 所示。

图2 数值仿真流程图

图3 数值仿真结果
由图3可知,测试结果(Measured Pattern)与理论结果(Theoretic Pattern) 差别较大,修正后的结果(Corected Pattern)与理论结果(Theoretic Pattern) 吻合很好。
四、实验验证
为了验证以上算法的正确性,对给定的天线分别按如下两种方法测试:准 远场测试和球面近场测试。通过修正算法对准远场测试结果进行修正,并将修 正得到的远场方向图与球面近场得到的方向图进行对比,结果如图4 所示。

图4 实验结果与修正结果
由图4 可知,准远场测试结果(Comba Finite Field)与球面近场测试结 果(Comba SG128)有较大差距,修正结果(Corrected Far Field)与球面近场 测试结果(Comba SG128)吻合良好。
五、结论
经过数值仿真分析和实验测试证明了上述算法的可行性与准确性。
作者:傅德民 西安电子科技大学 天线与微波技术国防科技实验室
上一篇:一种S波段宽带微带贴片天线阵列的设计
下一篇:对天线下倾角和方位角调整进行网络优化


