- 易迪拓培训,专注于微波、射频、天线设计工程师的培养
UHF频段电子标签天线设计
1 引 言
射频识别(Radio Frequency Identification,RFID)技术是近年来兴起的一种自动识别技术。射频识别系统主要由读码系统和标签系统组成,通过无线射频信号传递信息,天线性能的好坏直接影响到整个系统的读写距离和识别率。RFID标签芯片阻抗一般具有电阻较小而容抗较大的特点,且每个芯片都有其特定阻抗,因此必须针对特定芯片设计与之匹配的标签天线。
目前,RFID没有全球统一的频率划分规范,在UHF频段,主要有欧洲的866~869 MHz及美国的902~928 MHz。中国刚刚公布的频率标准为840~845 MHz和920~925 MHz两个频段。2005年9月,Cho,C等提出一种双支弯折偶极子加双T形馈电网络的标签天线结构,带宽达到65 MHz(S11<-10 dB),实现了在867 MHz及915 MHz双频谐振,但是此天线结构复杂、阻抗匹配调整不便。H.Choo等提出另一种实现宽频的较简单的天线结构,即电磁耦合馈电结构,但是天线结构仍然较复杂,参数较多,阻抗调整不易。Li Yang等的文章中提出一种增益很高的双辐射边天线,但是全向性不好,标签使用范围受限制。
本文同样采用电磁耦合馈电结构,针对Philips公司的SL3S3001 FTT芯片设计了一种结构简单,阻抗匹配方便,在867 MHz和915 MHz均出现频率谐振点,具有较强的实用价值的标签天线。设计时采用Zeland公司的IE3D软件进行仿真实验,介质板采用工业上最常用、价格又低廉的FR4敷铜板,其厚度为1.6 mm,敷铜厚0.03 mm,介电常数4.7。
2 标签天线设计
标签芯片的阻抗一般呈现大的容性电抗和小的电阻,这样高Q值的芯片阻抗,使得匹配天线的设计变得很困难,并且限制了天线的阻抗带宽。但是由于成本和制造的要求,标签天线必须直接与芯片匹配。
以前常用的各种变形偶极子标签天线为了实现同芯片的阻抗匹配,其谐振频率与匹配的频率之间存在差异,致使阻抗带宽呈窄带特性。文献[3]中提出的电磁耦合馈电结构模型较好地解决了这个问题。此结构由一个独立的辐射主体和一个与之耦合的环形线圈组成,由文献[3]中的等效电路可知,在谐振频率处,天线的输入阻抗Z0各分量为:

其中Rrb,0为辐射主体在谐振频率附近的辐射电阻,M为辐射主体和馈电环之间的互感系数,Lloop为馈电环的自感系数。可见R0与X0可独立调整,便于实现天线电阻与任意芯片阻抗的匹配。利用此结构设计出如下对称结构的标签天线。其结构和阻抗变换特性如图1~图3所示。

仿真结果显示,此结构天线的谐振频率主要由辐射主体的有效电长度决定。由图2可见,辐射主体与耦合环的大小均不变,两者间距d增加时,输入阻抗的实部减小,虚部负斜率部分逐渐减弱消失,耦合减弱,但谐振频率基本不变。其他值保持不变,W1变化时天线输入阻抗变化规律与图3相似,可见辐射主体大小不变,辐射主体与耦合环间距也不变,耦合环的长度L1或宽度W1增加时,输入阻抗的实部和虚部均增加,耦合强度不变,谐振频率略为降低。
可见此结构的天线输入阻抗及谐振频率的调整十分方便,通过调节设计出一种覆盖欧洲和美国两种标准频带宽度的标签天线,其尺寸如表1所示,仿真结果如图4所示。

由图4可见天线输入阻抗的虚部在谐振频率附近比较平坦,使得天线和芯片阻抗在一个较宽的频段内共轭匹配,阻抗带宽达到77 MHz(S11<-10 dB)。在867 MHz和915 MHz附近有两个谐振峰,天线方向图满足全向性。
3 天线性能分析
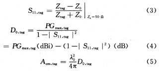
在实际制作天线前,我们先对仿真结果进行了评价分析。由于IE3D软件模拟分析得到的天线增益是建立在系统特征阻抗为50 Ω的系统上的,而本文所设计的标签天线是输入阻抗为与芯片阻抗共轭匹配,因此模拟分析结果需要对天线正规化才能得到正确的方向性(D0)与有效接收面积。

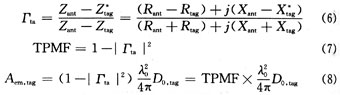
其中λ0=c/f本文天线设计主要针对阻抗做最大功率转移匹配,由式(6)标签芯片与标签天线阻抗介面的反射系数(Γta),定义功率不匹配因数(Tag Power Mismatch Factor,TPMF)为式(7),当阻抗为共轭匹配时,TPMF为1。

其中TPMF值预测了天线与芯片的阻抗匹配程度,而Aem,tag预测了天线有效接收面积。以PHILIPS公司的SL3S3001 FTT芯片的阻抗为参考,分析了上文设计的标签天线的特性,如表2所示。文献[8]中设计的四种标签天线的有效面积最大达到900多cm2,而本文设计的天线在867 MHz和915 MHz处的有效面积在1 300 cm2以上,TPMF也达到0.8左右,可见天线性能均比较理想。

4 试验测量
根据所设计的标签天线尺寸,制作了如图5所示的标签天线实物。

标签天线的大小为60 mm×44 mm,满足一般应用对标签面积的要求,标签使用的是Philips公司的SL3S3001FTT芯片,符合ISO18000标准。应用支持该标准的AWID公司的阅读器进行测量,在辐射功率为4 W,标签天线与阅读器天线面平行的测量条件下,中心频率为867 MHz时阅读距离为1.9 m;中心频率为915 MHz时阅读距离可达2.4 m,基本达到应用要求。由于实验室制作条件所限,我们采用蚀刻技术制作的标签天线精度不到±0.1 mm,而从仿真结果可见只有保证±0.05 mm的精度,制作公差的影响才可忽略不记,因此在保证制作精度的条件下,阅读距离应该可以进一步增加。
5 结语
耦合馈电结构的电子标签天线具有结构简单,阻抗实部虚部可单独调节,阻抗带宽较宽等优点,本文设计的电子标签结构非常简单,针对不同芯片的阻抗匹配方便,带宽达到77 MHz,在867 MHz和915 MHz处有两个谐振频率,可同时满足欧洲和美国的UHF射频频段标准。
NFC天线设计,13.56MHz RFID天线设计培训课程套装,让天线设计不再难
上一篇:RFID射频识别系统中的电子标签天线
下一篇:平面UWB天线的设计技巧


