- 易迪拓培训,专注于微波、射频、天线设计工程师的培养
电磁学系列3: 库仑定律
录入:edatop.com 点击:
本期我们给大家带来的是库仑定律的讲解!
公元前的人类已经掌握了摩擦生电,并且知道电荷分两种类型,到后来物理学家查理·库仑使用扭秤装置实验得电磁学最最基础的“库仑定律”
Q:周围在前面我们一直说“库仑”,那库仑到底是什么,他又有多大呢?
A: 物理学中,把电荷的多少叫做电荷量。电荷量用Q表示,它的单位是库仑,简称库,用符号C表示。(其实在历史中,电磁学中出现过各种各样的单位。像“长度”“质量”一样,现在仍有一些单位存在,但长度和重量单位的起源分别是地球的大小和水的重量)那么,如何决定电磁学的基本单位——“单位电荷量”才是最公平的呢?
基本定义:1库仑=1安培·秒
1库仑:1安培的电流一秒内通过的导线横截面积的电量。
那1安培又是多少?
定义:在真空中相距为一米的两根无限长的平行直导线,通过相等的恒等电流,当每米导线上受到作用力为2×10^-7N 时,各导线的电流为1安培。
由此可以看出库仑不是国际单位制基本单位,而是由“安培”这个国际单位导出的。
1库仑的大小到底是多少呢?
首先,将电荷1C,距离1m代入库仑定律
公元前的人类已经掌握了摩擦生电,并且知道电荷分两种类型,到后来物理学家查理·库仑使用扭秤装置实验得电磁学最最基础的“库仑定律”

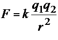
· 电荷和电荷间的作用力与两个电荷量的乘积成正比
· 电荷和电荷间的作用力与两个电荷间的距离的平方成反比
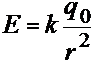
真空的电容率:
· 电荷和电荷间的作用力与两个电荷间的距离的平方成反比
真空的电容率:
k=1/4πε0=9×109[N㎡/C2]
无论是q1受到来自q2的作用力,还是q2受到来自q1的作用力,他们的大小相等、方向相反。这就是力学中作用与反作用定律。
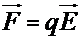
为了理解库仑力,人类发明了很多的概念来描述它,比如电场、电位、电场线、矢量场、标量场等等。
下面我们来讲解下上面的相关概念
Q:什么是电场呢?
A:电场是表现受电荷牵引的作用力的矢量场。
Q:电场和电场强度有什么关系?
A:电场力的表现就是电场强度了。q库仑的电荷受到来自电场
的作用力的情况
为了理解库仑力,人类发明了很多的概念来描述它,比如电场、电位、电场线、矢量场、标量场等等。
下面我们来讲解下上面的相关概念
Q:什么是电场呢?
A:电场是表现受电荷牵引的作用力的矢量场。
Q:电场和电场强度有什么关系?
A:电场力的表现就是电场强度了。q库仑的电荷受到来自电场
的作用力的情况
位又称电势,是指单位电荷在静电场中的在某一点所具有的电势能。电势大小取决于电势零点的选取,其数值只具有相对的意义

Q:如果正负电荷在一起电场什么情况
A:矢量场的箭头从正电荷射出,被负电荷吞没。
A:矢量场的箭头从正电荷射出,被负电荷吞没。

Q:周围在前面我们一直说“库仑”,那库仑到底是什么,他又有多大呢?
A: 物理学中,把电荷的多少叫做电荷量。电荷量用Q表示,它的单位是库仑,简称库,用符号C表示。(其实在历史中,电磁学中出现过各种各样的单位。像“长度”“质量”一样,现在仍有一些单位存在,但长度和重量单位的起源分别是地球的大小和水的重量)那么,如何决定电磁学的基本单位——“单位电荷量”才是最公平的呢?
基本定义:1库仑=1安培·秒
1库仑:1安培的电流一秒内通过的导线横截面积的电量。
那1安培又是多少?
定义:在真空中相距为一米的两根无限长的平行直导线,通过相等的恒等电流,当每米导线上受到作用力为2×10^-7N 时,各导线的电流为1安培。
由此可以看出库仑不是国际单位制基本单位,而是由“安培”这个国际单位导出的。
1库仑的大小到底是多少呢?
首先,将电荷1C,距离1m代入库仑定律

可以计算出电流间的相互作用力有9.0x109N。相当于90吨,但是我们在日常生活中是看不见如此强大的库仑力。这是因为正电荷和负电荷通常处于互相混杂的状态,这么多的电荷想要拉开距离是十分困难的。而1A的电流与流经100W的灯泡的电路一样,十分普遍。
最小的电荷是一个电子,其大小为1.6x10-19C。1C约相当于6.25×1018个电子的电量。
最小的电荷是一个电子,其大小为1.6x10-19C。1C约相当于6.25×1018个电子的电量。


