- 易迪拓培训,专注于微波、射频、天线设计工程师的培养
CST2013: Farfield&Antenna / Diversity Gain and Correlation (from S-
Post Processing: Result Templates
Template Based Post Processing
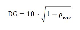
Antenna Diversity describes the case that more than one antenna is implemented in a device. To specify the benefit of multiple antennas, the correlation of two antennas or the diversity gain are evaluated. In this template both values are calculated from S-Parameters according to the formulas:
Correlation:

Diversity Gain:

Alternatively Correlation and Diversity Gain can be computed from farfield pattern, see Farfield&Antenna / Diversity Gain and Correlation (from Farfield)
CST微波工作室培训课程套装,专家讲解,视频教学,帮助您快速学习掌握CST设计应用
上一篇:CST2013: Farfield / Broadband Farfield Monitors
下一篇:CST2013: S-Parameters / Coil-Parameters (1- or 2-port)
最全面、最专业的CST微波工作室视频培训课程,可以帮助您从零开始,全面系统学习CST的设计应用【More..】
频道总排行
- CST2013: Mesh Problem Handling
- CST2013: Field Source Overview
- CST2013: Discrete Port Overview
- CST2013: Sources and Boundary C
- CST2013: Multipin Port Overview
- CST2013: Farfield Overview
- CST2013: Waveguide Port
- CST2013: Frequency Domain Solver
- CST2013: Import ODB++ Files
- CST2013: Settings for Floquet B
